Open Access

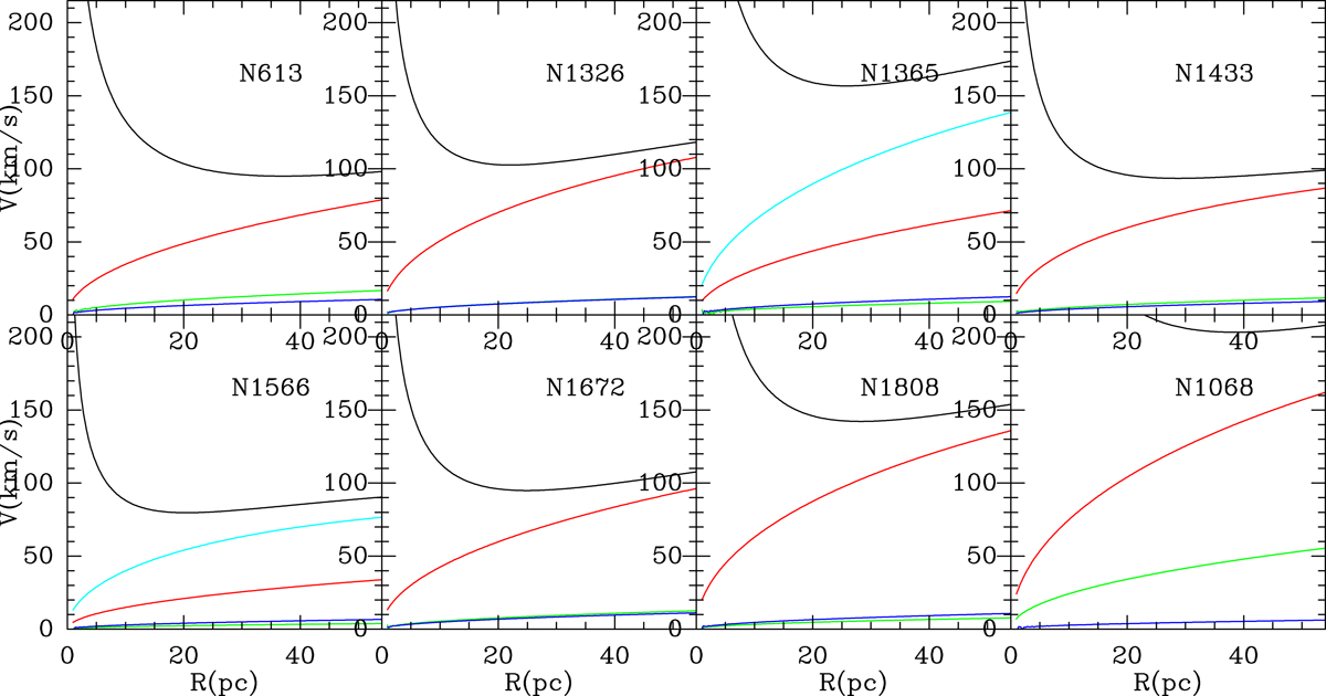
Fig. 9.

image

Corresponding rotation curves for the eight galaxies, derived from the mass models in Fig. 8. The contribution of the three or four components is color-coded as in Fig. 8. The contribution of the black holes is included, with masses derived from the MBH-σ relation (Table 6).

Current usage metrics show cumulative count of Article Views (full-text article views including HTML views, PDF and ePub downloads, according to the available data) and Abstracts Views on Vision4Press platform.

Data correspond to usage on the plateform after 2015. The current usage metrics is available 48-96 hours after online publication and is updated daily on week days.

Initial download of the metrics may take a while.