Free Access

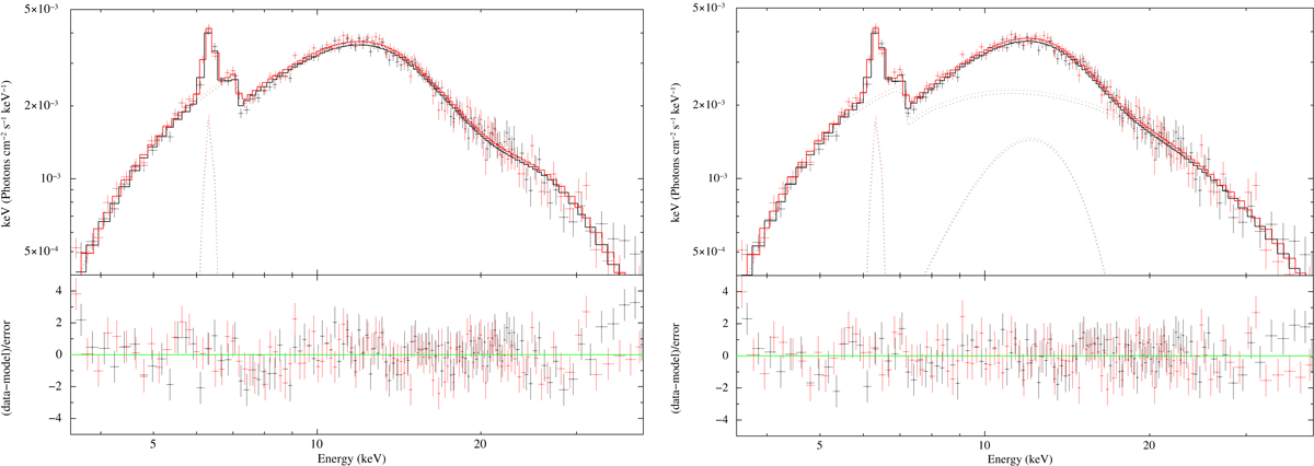
Fig. 5.

image

Unfolded FMPA (black) and FMPB (red) spectra of IGR J17503–2636 extracted using the entire exposure time available within the observation ID 90401333002. Right panel: results for the fit obtained with the model TBabs*(highecut*pegpwrlaw + Gaussian + Gaussian), while left panel corresponds to the case where the model TBabs*(highecut*pegpwrlaw*gabs + Gaussian) was used. In both cases, the residuals from the fits are shown in the bottom panels.

Current usage metrics show cumulative count of Article Views (full-text article views including HTML views, PDF and ePub downloads, according to the available data) and Abstracts Views on Vision4Press platform.

Data correspond to usage on the plateform after 2015. The current usage metrics is available 48-96 hours after online publication and is updated daily on week days.

Initial download of the metrics may take a while.