Free Access

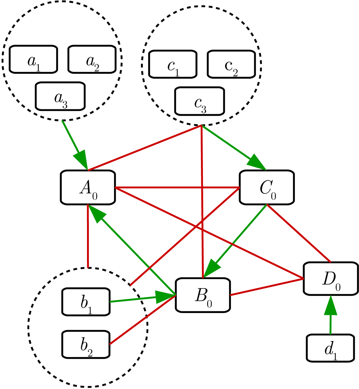
Fig. D.1.

image

Schematic representation of fringe-detections across a VLBI array to exemplify the exhaustive fringe-search algorithm implemented in rPICARD. A0, B0, C0,  and D0 represent prioritized reference stations, and all ai, bi, ci,  and di are other stations in the array. Green arrows indicate successful fringe-detections (with high enough S/N) to a specific reference station, and red lines indicate non-detections. Connecting lines to dashed circles around groups of stations represent fringes to each individual station within the circle. Not all possible lines are drawn; all omitted connections are considered nondetections. The intra-scan re-referencing of the exhaustive fringe-search is accomplished through the connection of fringe detections between the reference stations.

Current usage metrics show cumulative count of Article Views (full-text article views including HTML views, PDF and ePub downloads, according to the available data) and Abstracts Views on Vision4Press platform.

Data correspond to usage on the plateform after 2015. The current usage metrics is available 48-96 hours after online publication and is updated daily on week days.

Initial download of the metrics may take a while.