Open Access

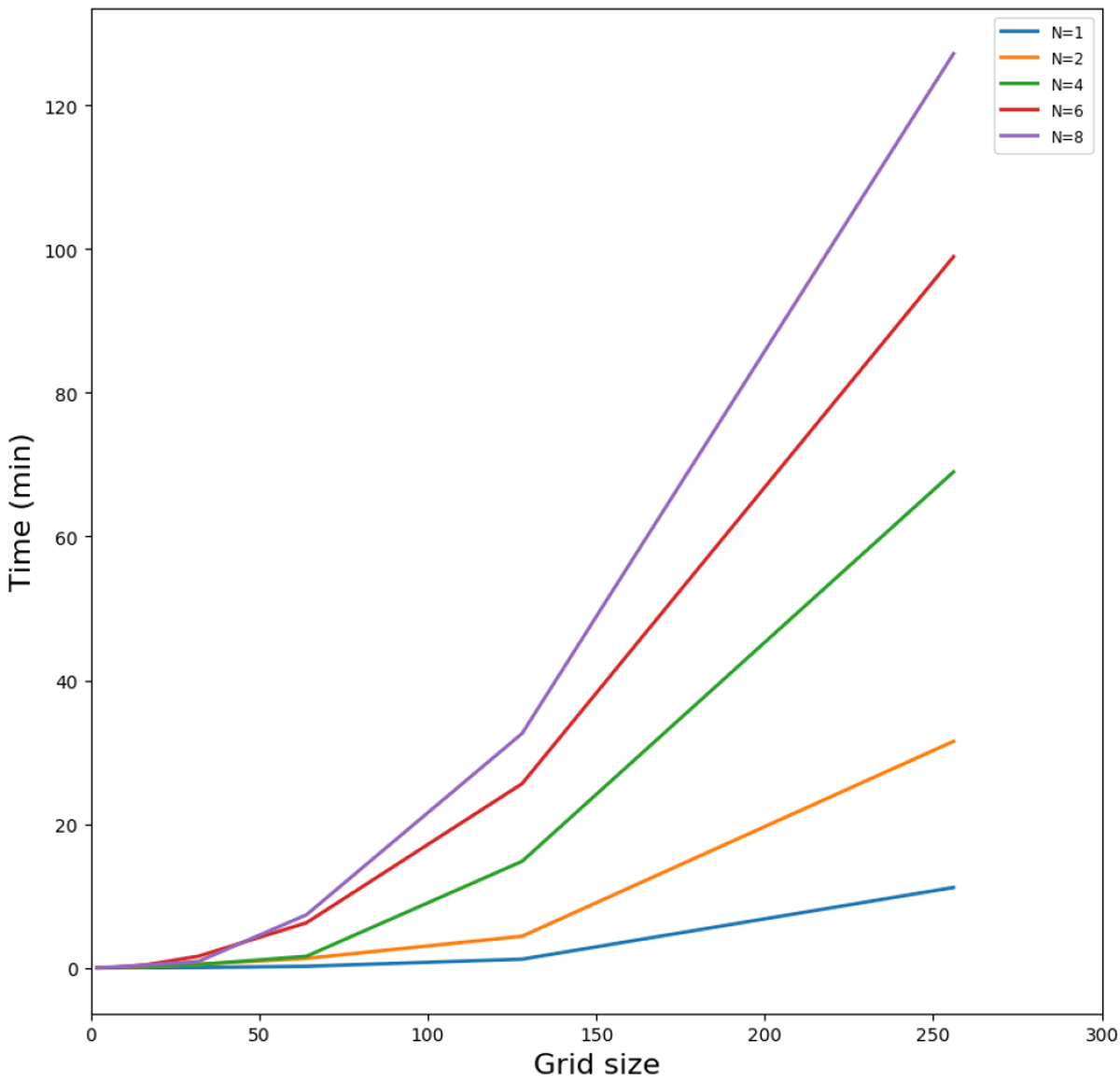
Fig. B.1

image

Computation time used by one CPU to perform the Gaussian decomposition of the simulated PPV cube used in Sect. 3, for N = 1, 2, 4, 6, and 8, as function of the size grid. The maximum number of iterations in each case has been set to 800.

Current usage metrics show cumulative count of Article Views (full-text article views including HTML views, PDF and ePub downloads, according to the available data) and Abstracts Views on Vision4Press platform.

Data correspond to usage on the plateform after 2015. The current usage metrics is available 48-96 hours after online publication and is updated daily on week days.

Initial download of the metrics may take a while.