Free Access

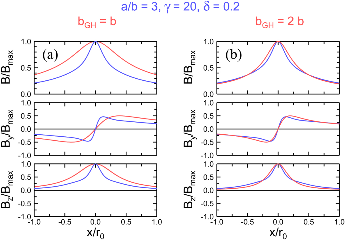
Fig. 2.

image

Magnetic field profiles along the x-axis for the core-envelope model (blue lines). They are supplemented (panel a) by the profiles of the Gold-Hoyle tube with the twist bGH = b, which is characteristic of the envelope, or (panel b) by the profiles of the Gold-Hoyle tube with the twist doubled, bGH = 2b. Bx = 0 for all cases, so it is not shown. The magnetic values are scaled by Bmax, which is the maximum field magnitude (the value at the flux-rope axis).

Current usage metrics show cumulative count of Article Views (full-text article views including HTML views, PDF and ePub downloads, according to the available data) and Abstracts Views on Vision4Press platform.

Data correspond to usage on the plateform after 2015. The current usage metrics is available 48-96 hours after online publication and is updated daily on week days.

Initial download of the metrics may take a while.