Free Access

Fig. 3.

image

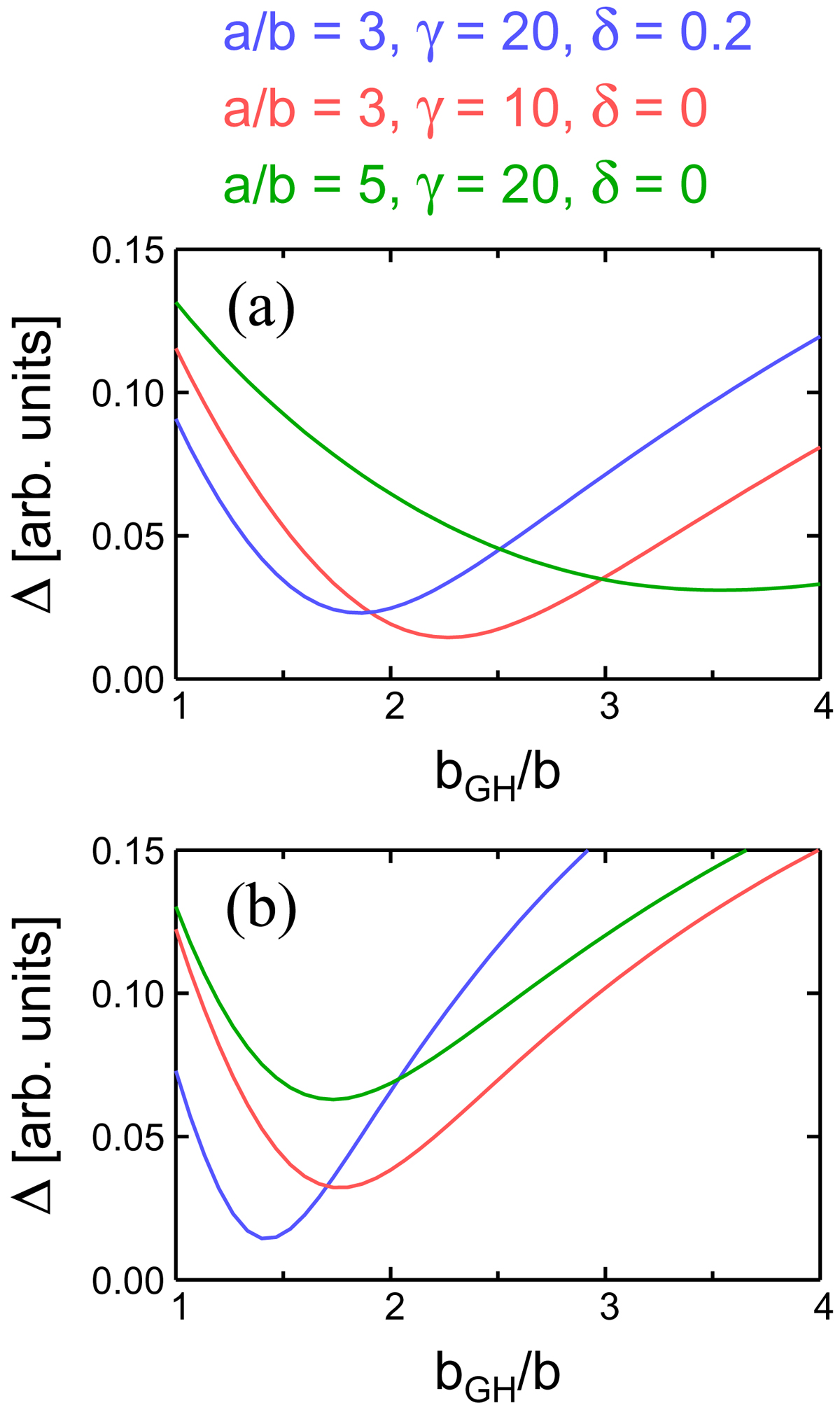
Value of Δ as a function of bGH of the Gold-Hoyle tube which fits a core-envelope flux rope, the parameters of which are kept constant. Δ characterizes deviations of the two field profiles scaled by their field-magnitude maxima, and it corresponds to the quantity χ used when real observations of magnetic clouds are compared to models (e.g., Lepping et al. 2006). Results for three sets of parameters of the core-envelope model, shown at the top, are plotted and indicated by color. Panel a is for a central crossing, while panel b is for a crossing in a distance of 0.2 r0 from the magnetic axis.

Current usage metrics show cumulative count of Article Views (full-text article views including HTML views, PDF and ePub downloads, according to the available data) and Abstracts Views on Vision4Press platform.

Data correspond to usage on the plateform after 2015. The current usage metrics is available 48-96 hours after online publication and is updated daily on week days.

Initial download of the metrics may take a while.