Free Access

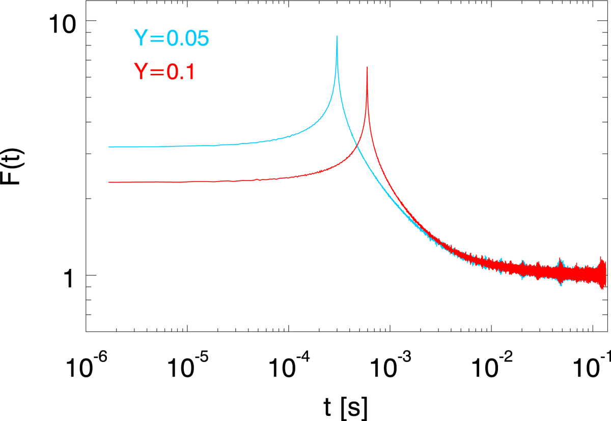
Fig. 3.

image

Function F(t) for an isolated point mass with 100 M and at a distance from the singular caustic Y = βE = 0.05 (blue solid line) and Y = 0.1 (red solid line). Both curves are normalized to 1 at large time delays.

Current usage metrics show cumulative count of Article Views (full-text article views including HTML views, PDF and ePub downloads, according to the available data) and Abstracts Views on Vision4Press platform.

Data correspond to usage on the plateform after 2015. The current usage metrics is available 48-96 hours after online publication and is updated daily on week days.

Initial download of the metrics may take a while.