Free Access

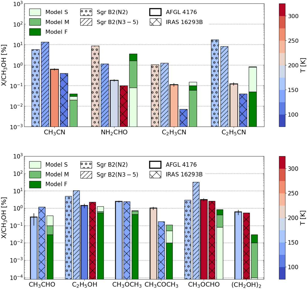
Fig. 5

image

Relative abundances of N-bearing species (top panel) and O-bearing species (bottom panel) predicted by models and detected towards AFGL 4176, Sgr B2(N), and IRAS 16293B. For AFGL 4176, Sgr B2(N), and IRAS 16293B the colours of bars indicate the excitation temperature derived for each species.

Current usage metrics show cumulative count of Article Views (full-text article views including HTML views, PDF and ePub downloads, according to the available data) and Abstracts Views on Vision4Press platform.

Data correspond to usage on the plateform after 2015. The current usage metrics is available 48-96 hours after online publication and is updated daily on week days.

Initial download of the metrics may take a while.