Open Access

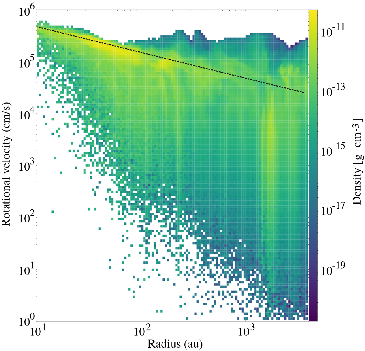
Fig. 4

image

Phase diagram illustrating cylindrically azimuthal velocity vϕ in cubical region of (8 × 103 au)3 around primary about 4 × 103 yr before formation of companion B. The rotational axis is chosen as the orientation of the angular momentum vector computed for a sphere around the primary A of radius 1000 au at this point in time.

Current usage metrics show cumulative count of Article Views (full-text article views including HTML views, PDF and ePub downloads, according to the available data) and Abstracts Views on Vision4Press platform.

Data correspond to usage on the plateform after 2015. The current usage metrics is available 48-96 hours after online publication and is updated daily on week days.

Initial download of the metrics may take a while.