Open Access

Fig. 6.

image

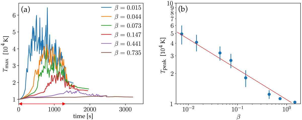
Temperature and plasma-β. Panel a: evolution of the maximum temperature Tmax in the vicinity of the reconnection region. The differently colored lines display the models with different plasma-β according to the legend. This is similar to the plots in Fig. 2. Panel b: peak temperature, Tpeak, (with the standard deviation of Tmax shown as bars) for each of the runs as a function of plasma-β. For illustrative purposes the red line in panel b indicates a power law Tpeak ∝ β  − 0.3. See Sect. 3.3 for a definition of Tpeak and a more general discussion.

Current usage metrics show cumulative count of Article Views (full-text article views including HTML views, PDF and ePub downloads, according to the available data) and Abstracts Views on Vision4Press platform.

Data correspond to usage on the plateform after 2015. The current usage metrics is available 48-96 hours after online publication and is updated daily on week days.

Initial download of the metrics may take a while.