Open Access
| Issue |
A&A
Volume 628, August 2019
|
|
|---|---|---|
| Article Number | A8 | |
| Number of page(s) | 12 | |
| Section | The Sun | |
| DOI | https://doi.org/10.1051/0004-6361/201935820 | |
| Published online | 25 July 2019 | |
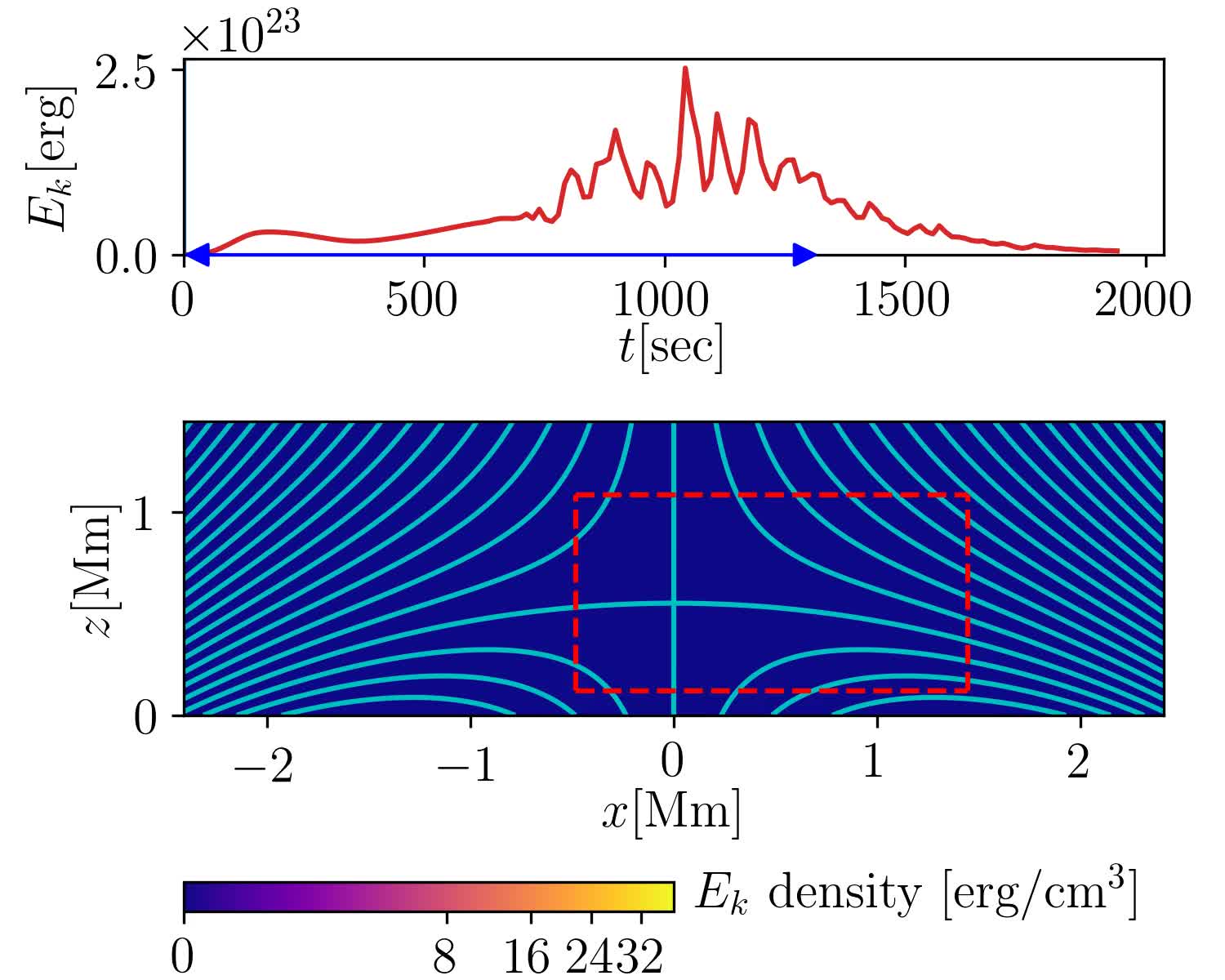
Movie
Movie of Fig. 2
Download Video: Formats: mp4 (1.9 MB) | webm (683.0 KB) | ogg (6.4 MB) | Original mp4 (1.9 MB)
© H. Peter et al. 2019
Current usage metrics show cumulative count of Article Views (full-text article views including HTML views, PDF and ePub downloads, according to the available data) and Abstracts Views on Vision4Press platform.
Data correspond to usage on the plateform after 2015. The current usage metrics is available 48-96 hours after online publication and is updated daily on week days.
Initial download of the metrics may take a while.