| Issue |
A&A
Volume 630, October 2019
Rosetta mission full comet phase results
|
|
|---|---|---|
| Article Number | A35 | |
| Number of page(s) | 22 | |
| Section | Atomic, molecular, and nuclear data | |
| DOI | https://doi.org/10.1051/0004-6361/201834848 | |
| Published online | 20 September 2019 | |
Solar wind charge exchange in cometary atmospheres
I. Charge-changing and ionization cross sections for He and H particles in H2O
1
Department of Physics, University of Oslo,
PO Box 1048 Blindern, 0316 Oslo, Norway
e-mail: This email address is being protected from spambots. You need JavaScript enabled to view it.
2
Physics Department, Auburn University,
Auburn, AL 36849, USA
3
Department of Electronics and Nanoengineering, School of Electrical Engineering, Aalto University,
PO Box 15500, 00076 Aalto, Finland
4
Zernike Institute for Advanced Materials, University of Groningen,
Nijenborgh 4, 9747 AG, Groningen, The Netherlands
5
Swedish Institute of Space Physics,
PO Box 812, 981 28 Kiruna, Sweden
6
Luleå University of Technology, Department of Computer Science, Electrical and Space Engineering,
Kiruna 981 28, Sweden
7
Science directorate, Chemistry & Dynamics branch, NASA Langley Research Center,
Hampton, VA 23666 Virginia, USA
8
SSAI,
Hampton, VA 23666 Virginia, USA
9
Royal Belgian Institute for Space Aeronomy,
Avenue Circulaire 3, 1180 Brussels, Belgium
10
Department of Physics, Umeå University,
901 87 Umeå, Sweden
11
Department of Physics, Imperial College London,
Prince Consort Road, London SW7 2AZ, UK
Received:
13
December
2018
Accepted:
11
February
2019
Abstract
Context. Solar wind charge-changing reactions are of paramount importance to the physico-chemistry of the atmosphere of a comet, mass-loading the solar wind through an effective conversion of fast light solar wind ions into slow heavy cometary ions.
Aims. To understand these processes and place them in the context of a solar wind plasma interacting with a neutral atmosphere, numerical or analytical models are necessary. Inputs of these models, such as collision cross sections and chemistry, are crucial.
Methods. Book-keeping and fitting of experimentally measured charge-changing and ionization cross sections of hydrogen and helium particles in a water gas are discussed, with emphasis on the low-energy/low-velocity range that is characteristic of solar wind bulk speeds (<20 keV u−1/2000 km s−1).
Results. We provide polynomial fits for cross sections of charge-changing and ionization reactions, and list the experimental needs for future studies. To take into account the energy distribution of the solar wind, we calculated Maxwellian-averaged cross sections and fitted them with bivariate polynomials for solar wind temperatures ranging from 105 to 106 K (12–130 eV).
Conclusions. Single- and double-electron captures by He2+ dominate at typical solar wind speeds. Correspondingly, single-electron capture by H+ and single-electron loss by H− dominate at these speeds, resulting in the production of energetic neutral atoms (ENAs). Ionization cross sections all peak at energies above 20 keV and are expected to play a moderate role in the total ion production. However, the effect of solar wind Maxwellian temperatures is found to be maximum for cross sections peaking at higher energies, suggesting that local heating at shock structures in cometary and planetary environments may favor processes previously thought to be negligible. This study is the first part in a series of three on charge exchange and ionization processes at comets, with a specific application to comet 67P/Churyumov-Gerasimenko and the Rosetta mission.
Key words: comets: general / comets: individual: 67P/Churyumov-Gerasimenko / instrumentation: detectors / solar wind / methods: data analysis / plasmas
© ESO 2019
1 Introduction
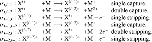
Over the past decades, evidence of charge-exchange reactions (CX) has been discovered in astrophysics environments, from cometary and planetary atmospheres to the heliosphere and to supernovae environments (Dennerl 2010). They consist of the transfer of one or several electrons from the outer shells of neutral atoms or molecules, denoted M, to an impinging ion, noted Xi+, where i is the initial charge number of species X. Electron capture of q electrons takes the form
(1)
From the point of view of the impinging ion, a reverse charge-changing process is the electron loss (or stripping); starting from species X(i−q)+, it results in the emissionof q electrons:
(2)
For q = 1, the processes are referred to as one-electron charge-changing reaction; for q = 2, two-electron or double charge-changing reactions, and so on. The qualifier “charge-changing” encompasses both capture and stripping reactions, whereas “charge exchange” or “charge transfer” denote electron capture reactions only. Moreover, “[M]” refers here to the possibility for compound M to undergo dissociation, excitation, and ionization, or a combination of these processes.
Charge exchange was initially studied as a diagnostic for man-made plasmas (Isler 1977; Hoekstra et al. 1998). The discovery by Lisse et al. (1996) of X-ray emissions at comet Hyakutake C/1996 B2 was first explained by Cravens (1997) as the result of charge-transfer reactions between highly charged solar wind oxygen ions and the cometary neutral atmosphere. Since this first discovery, cometary charge-exchange emission has successfully been used to remotely (i) measure the speed of the solar wind (Bodewits et al. 2004), (ii) measure its composition (Kharchenko et al. 2003), and thus the source region of the solar wind (Bodewits et al. 2007; Schwadron & Cravens 2000), (iii) map plasma interaction structures (Wegmann & Dennerl 2005), and more recently, (iv) to determine the bulk composition of cometary atmospheres (Mullen et al. 2017).
Observations of charge-exchanged helium, carbon and oxygen ions were made during the Giotto mission flyby of comet 1P/Halley and were reported by Fuselier et al. (1991), who used a simplified continuity equation (as in Ip 1989) to describe CX processes. Bodewits et al. (2004) reinterpreted their results with a new set of cross sections. More recently, the European Space Agency (ESA) Rosetta mission to comet 67P/Churyumov-Gerasimenko (67P) between August 2014 and September 2016 provided a unique opportunity for studying CX processes in situ for an extended period of time (Nilsson et al. 2015; Simon Wedlund et al. 2016). The observations need to be interpreted with the help of analytical and numerical models.
Charge state distributions and their evolution with respect to outgassing rate and cometocentric distance represent a proxy for the efficiency of charge-changing reactions at a comet such as 67P. The accurate determination of relevant charge-changing and total ionization cross sections is a pivotal preliminary step when these reactions are to be quantified and in situ observations are to be interpreted. Reviews of charge-changing cross sections exist, for example, for He2+ particle electron capture cross sections in a variety of molecular and atomic target gases (Hoekstra et al. 2006), or for track-structure biological applications at relatively high energies (Dingfelder et al. 2000; Uehara & Nikjoo 2002). However, no critical and recent survey of charge-changing and ionization cross sections of helium and hydrogen particles in a water gas at solar wind energies is currently available. The goal of this paper is hence a critical review of experimental He and H charge-changing collisions with H2O: in that, it complements the seminal study of Itikawa & Mason (2005) for electron collisions with water by providing experiment-based datasets that space plasma modelers can easily implement, but also by assessing what future experimental work is needed.
In this study (Paper I), we first discuss the method we used to critically evaluate CX and ionization cross sections. A review of existing experimental charge-changing and ionization cross sections of hydrogen and helium species in a water gas is then presented in Sects. 3 and 4, with a specific emphasis on low-energy values for typical solar wind energies. As H2O was the most abundant cometary neutral species during most of the Rosetta mission (Läuter et al. 2019), we consider this species only. We identify laboratory data needs that are required to bridge the gaps in the existing experimental results. Polynomial fits for the systems (H+, H, H−)–H2O and (He2+, He+, He)–H2O are proposed. Recommended values are also tabulated for ease of book-keeping. In order to take into account the effect of the thermal energy distribution of the solar wind, Maxwellian-averaged charge-changing and ionization cross sections are discussed with respectto solar wind temperatures in Sect. 5.
In a companion paper (Simon Wedlund et al. 2019a, hereafter Paper II), we then develop, based on these cross sections, an analytical model of solar wind charge-changing reactions in astrophysical environments, which we apply to solar wind-cometary atmosphere interactions. An interpretation of the Rosetta ion and neutral datasets using this model is given in a separate iteration, namely Simon Wedlund et al. (2019b), hereafter Paper III.
2 Method
We detail inthis section the method we used in selecting cross sections. In this work, we only consider experimental inelastic (ionization and charge exchange) cross sections. Elastic (scattering) cross sections may play an important role at low impacting energies (a few tens of eV), leading to energy losses of the projectile species and to local heating. However, as shown in Behar et al. (2017), solar wind ions, although highly deflected around the comet, do not display any significant slowing down at the position of Rosetta in the inner coma: to a first approximation, elastic collisions may thus be neglected.
Because H2O was the main neutral species around comet 67P during the span of the Rosetta mission, we only consider H2O molecules as targets. However, it is important to remember that cometary environments contain other abundant molecules (CO2, CO, and O2, see Läuter et al. 2019), and that parent molecules also photodissociate into H, O, C, H2, or OH fragments, which may in turn become dominant at very large cometocentric distances (typically more than 100 000 km for heliocentric distances below 2 AU, or astronomical units, see Combi et al. 2004). Because charge-transfer reactions are a cumulative process and depend on the column of atmosphere traversed (see Simon Wedlund et al. 2016) and because some of these reactions may be resonant, their effect on the charge state distribution can potentially be large. Estimates of these effects using an analytical model of charge exchange at comets are discussed in Paper II.
2.1 Approach
In selecting and choosing our chosen set of cross sections, our method consists of five steps:
Measurements. Survey of the currently published experimental cross sections σif in H2O vapor, with i and f the initial and final charge states of the projectile species considered. For example, σ21 is the cross section of electron capture reaction He2+ → He+.
Uncertainties. Associated experimental uncertainties reported by the experimental teams. Sometimes, as in the case of Greenwood et al. (2004), these uncertainties are statistical confidence intervals (2σ standard deviation).
Selection. Selection of the chosen cross-section set, with emphasis on filling the low- and high-energy parts of the data. When experimental results are missing, we use the so-called additive rule (sometimes referred to as the “Bragg rule”).
Fit and validity. Polynomial fits of the form
(3)
are applied in a least-squares sense on the selected datasets as a function of impact speed vi. Coefficients pj are the polynomial coefficients and n is the degree of the polynomial fit. The degree of the fit is chosen so that in the energy range of the measurements and for every energy channel, fit residuals never exceed 15% of the measurements. A descriptive confidence level for the fit is also given, based on the agreement between the collected datasets and their respective datasets. It ranges from low (> 75% uncertainty) to medium (25–75% uncertainty) and high (<25% uncertainty). Subscript i in speeds and energies refers to “impactor” or “initial state”, that is, the projectile speed or energy.
Further work. We give recommendations on the necessary experimental work to be performed, and the energy range most critical to investigate.
2.2 Extrapolations: the additive rule
In several cases, we used the “additive rule” (that we refer to as AR in the following) to reconstruct missing H2O datasets. First expressed by Bragg & Kleeman (1905) when investigating the stopping power of He2+ in various atoms and molecules, it states that the stopping power of a molecule is, in a first approximation, equal to the sum of its individual atomic stopping powers. The AR hence assumes no intra-molecular effects, which leads to low predictability at energies where inelastic processes take place (Thwaites 1983). For H2O targets, this translates as
(4)
At high impact energy, the AR for charge-changing cross sections has been well verified for protons and helium particles in many gases (Toburen et al. 1968; Dagnac et al. 1970; Sataka et al. 1990; Endo et al. 2002), both for electron capture (Itoh et al. 1980a) and for electron loss (Itoh et al. 1980b). However, since this description is only empirical and not physical, one must be careful in applying it too systematically. For instance, it is well known that the AR breaks down for heavy ion collisions on complex molecules (Wittkower & Betz 1971; Bissinger et al. 1982), for electron capture emission cross sections (Bryan et al. 1990), or at low energies (see Tolstikhina et al. 2018).
In the case of low-energy extrapolations, the AR is not expected to be fulfilled because the molecular electrons move much faster than the projectile ion, and thus may follow the motion of the ion and adjust to it. Such an effect can be seen, for instance, in the low-energy electron capture cross-section measurements of Bodewits et al. (2006) on CO and CO2 molecules, for which σ21 (CO) > σ21(CO2). When there were no experimental data, we used in this study the AR as an estimate for the cross sections at high energy and an indication of their magnitude at low energy, and always associated the retrieved cross sections with a high uncertainty. When we applied the AR, we used the most recent experimental results for other species such as H2, O2, or O and made a linear combination of their individual cross section to estimate that of H2O. In several cases, when H2O experimental results were available, the AR yielded results that are very different (e.g., for σ12 for the helium system, or for σ01 and σ0−1 for the hydrogen system), which lie typically within a multiplication factor 1– 3 of the H2O results. In others, the AR is in good agreement (e.g., for σ10 and σ12 for the helium system, or, apparently, σ−11 for the hydrogen system). Consequently, when necessary and possible, we scaled the added cross sections to existing H2O measurements to fill critical gaps in the datasets at either low or high energies.
Many charge-exchange and ionization cross sections for atoms and simple molecular targets are available as part of the charge-changing database maintained at the Lomonosov Moscow State University (Novikov & Teplova 2009). It is important to note that when available, cross sections for H2 targets were preferred to those for H, in order to avoid resonant effects between protons and hydrogen atoms.
2.3 Fitting of reconstructed cross sections
Polynomial fits are here preferred to semi-empirical or more theoretical fits (Dalgarno 1958; Green & McNeal 1971) for their simplicity, versatility in describing the different processes, and standard implementation in complex physical models of cometary and astrophysical environments. Two broad categories of charge-exchange processes may take place: resonant (or symmetric) and non-resonant charge exchange (Banks & Kockarts 1973). Resonant charge exchange, such as X+ + X → X + X+, with ion X+ impacting its neutral counterpart X, usually has large cross sections; it has been shown theoretically that they continue to increase with decreasing impacting energies down to zero energy, where they peak (Dalgarno 1958). For resonant capture at very high energies, where electron double-scattering dominates the interaction, Belkić et al. (1979) showed with theoretical considerations that the behavior of cross sections followed a vk power law, with k = 11. Conversely, non-resonant charge exchange peaks at non-zero velocity and is described by a more complex relation (Lindsay & Stebbings 2005), with typical values at low (high) energies increasing (decreasing) as power laws of the velocity. We were able to use a simple polynomial fit of order 2–6 to describe all charge-changing and ionization cross sections, which makes it easy to compare between them. The validity range of the fit was confined to the velocity range of available measurements. Where needed, smooth extrapolations of the fits were performed in power laws of the velocity down to 100 km s−1 and for very high energies; these extrapolations have large uncertainties and are only given for reference in the tables in the appendix.
We also note that in a cometary environment, resonant charge-exchange reactions such as H+ −H may take place (Bodewits et al. 2004). For example, H and O are both present in the solar wind and in the cometary coma; at large cometocentric distances, cometary H and O atoms dominate the neutral coma because H2O, CO2 or CO will be fully photodissociated. Moreover, resonant processes usually have large cross sections. However, for a relatively low-activity comet such as comet 67P (outgassing rate lower than 1028 s−1), and although the hydrogen cometo-corona extends millions of kilometers upstream, the solar wind proton densities will have diminished due to resonant charge exchange by less than 1% by the time it reaches a cometocentric distances of 10 000 km. This point is further discussed in Paper II.
3 Experimental charge-changing cross sections for (H, He) particles in H2O
Cross sections are given at typical solar wind speeds and are discussed in light of available laboratory measurements. Twelve cross sections, sixlisted in Sect. 3.1 for helium and six in Sect. 3.2 for hydrogen, are considered.
Starting with an incoming ion species Xi in an initial charge state i colliding with neutraltarget M, and three possible final charge states (i, i − 1, i − 2), the reactions can be written as

Figure 1 illustrates the six processes per impacting species (hydrogen, initial charge states i = 1, 0, −1, and helium, initial charge states i = 2, 1, 0), with the chosen nomenclature for the charge-changing cross sections.
A molecular target such as H2O may dissociate into atomic or molecular fragments through electron capture or stripping (see Luna et al. 2007; Alvarado et al. 2005, in H+ and He2+ –H2O collisions); similarly, the impacting species may become excited in the process (see Seredyuk et al. 2005, in He2+ −H2O collisions). For the remainder of this paper, only total charge-changing cross sections are considered, that is, the sum of all dissociation and excitation channels. In other words, we only consider the loss of solar wind ions, not the production of excited or dissociated ionospheric species.
![]() |
Fig. 1 Charge-changing reactions for helium and hydrogen in a gas. One-electron capture processes are depicted with a solid line, one-electron loss processes with a dotted line, and double charge-changing reactions with a dashed line. Cross sections σij from initial charged state i to final charged state j are indicated. |
3.1 Helium projectiles
The helium projectiles we considered are He2+, He+ and He0. Charge-changing cross sections for H2O are presented, and our choice for each cross section is given. We note that all impact energies for helium are quoted in keV per amu (abbreviated keV u−1), allowing us to compare the results of different experiments where sometimes 3He isotopes are used instead of the more common 4He.
Cross sections and their corresponding recommended fits are plotted in Fig. 2. Polynomial fitting coefficients are listed in Table 1.
Recommended charge-changing cross section polynomial fits for (He2+, He+, and He0) projectiles colliding with H2O vapor.
3.1.1 He2+ –H2O reactions
Reactions involving He2+ are the one-electron σ21 and two-electron σ20 captures. They are shown in Fig. 2 (left).
• Reaction σ21 (He2+ → He+)
Measurements. Measurements of the one-electron capture by He2+ in a water gas were reported by Greenwood et al. (2004) in the 0.35–4.67 keV u−1 energy range and by Rudd et al. (1985a) for Ei = 5–150 keV u−1 (for 3He isotopes). Greenwood et al. (2000) also made measurements up to 6.67 keV u−1): their values are in excellent agreement with the subsequent results from the same team, except at 0.67 keV u−1 (vi = 360 km s−1), where it is about 25% smaller. We note that Greenwood et al. (2004) provide recommended values that extend the valid range to 0.052–5.19 keV u−1 (100–1000 km s−1). At 5 and 7.5 keV u−1, Rudd et al. (1985a) appear to underestimate the cross section by about 35% with respect to that measured by Greenwood et al. (2000). Seredyuk et al. (2005) and Bodewits et al. (2006) measured state-selective charge-exchange cross sections between 0.025 keV u−1 and 12 keV using two complementary techniques (fragment ion spectroscopy, and translational energy spectrometry, or TES): below 0.25 keV u−1, capture into the He+(n = 1) state dominates, whereas capture into the He+(n = 2) state is dominant above this energy. Their total TES cross-section results were normalized to those of Greenwood et al. (2004), and display a matching energy-dependence with respect to the reference measurements.
Uncertainties. On average, uncertainties are about 10% at low energies (Greenwood et al. 2004; Seredyuk et al. 2005) (15– 25% below 0.3 keV u−1, 95% confidence interval) and 12% at high energies (Rudd et al. 1985a).
Selection. All datasets connect rather well at their common limit, if we discard the Rudd et al. (1985a) measurements below 8 keV u−1. We chose to use the values of Seredyuk et al. (2005) between 0.025 and 2 keV u−1, those of Greenwood et al. (2004) between 2 and 5.19 keV u−1 supplemented up to 6.67 keV u−1 by those of Greenwood et al. (2000), and we extend the set to energies above 10 keV u−1 with those of Rudd et al. (1985a).
Fit and validity. A least-squares polynomial fit of degree 3 in log10 of the He2+ speed vi was performed. Expected validity range vi = 75–5350 km s−1 (Ei = 0.03–150 keV u−1). Confidence: high. Further work. Need for very low-energy measurements, that is, for Ei < 0.02 keV u−1.
• Reaction σ20 (He2+ → He0)
Measurements. Cross sections for the two-electron capture by He2+ from water vapor were experimentally measured by Greenwood et al. (2004) for Ei = 0.35–4.67 keV u−1 and by Rudd et al. (1985a) between 5 and 150 keV u−1. As for σ21, Greenwood et al. (2004) gave fitted recommendations, extending their dataset to 0.052–5.19 keV u−1.
Uncertainties. Uncertainties range on average between 20% below 5 keV u−1 (30– 40% below 0.3 keV u−1; Greenwood et al. 2004) to 16% above it (Rudd et al. 1985a).
Selection. Although as previously, Rudd et al. (1985a) do seem to underestimate the cross section at 5 keV u−1 by about 30%, both datasets join together well if we discard this first data point. We chose to use the Greenwood et al. (2004) recommendation for Ei = 0.052–5.19 keV u−1 and Rudd et al. (1985a) for Ei > 5 keV u−1.
Fit and validity. A polynomial fit of order 5 best represents the datasets. Expected validity range: vi = 100–5350 km s−1 (Ei = 0.05–150 keV u−1). Confidence: high.
Further work. Need for very low-energy measurements, that is, for Ei < 0.1 keV u−1.
3.1.2 He+ –H2O reactions
Reactions involving He+ ions are the one-electron loss σ12 and the one-electron capture σ10. They are shown in Fig. 2 (middle).
• Reaction σ12 (He+ → He2+)
Measurements. Rudd et al. (1985b) measured the one-electron loss cross section for He+ in water in the 3.50– 112.5 keV u−1 (820–4640 km s−1) range. No measurements are available below or above these energies.
Uncertainties. Uncertainties are 21–33% on average (Rudd et al. 1985b).
Selection. We chose to use the measurements by Rudd et al. (1985b), and following the recommendation of Uehara & Nikjoo (2002), we used the additive rule with the cross sections of Sataka et al. (1990) in H2 and O2 at energies between 75 and 450 keV u−1 to define the peak of the cross section at high energies. At overlapping energies, the reconstructed cross section σ(H2) + σ(O2)∕2 is lower than that measured by Rudd et al. (1985b) in H2O: the latter measurements at 75 keV u−1 were used to calibrate the former, resulting in a constant multiplication factor of 1.64 for the H2O dataset at high energies reconstructed from Sataka et al. (1990).
Fit and validity. A polynomial fit in log10 of order 4 was used. Validity range: vi = 820–10 000 km s−1 (Ei = 3.5– 520 keV u−1). Confidence: high.
Further work. Need for low- (0.01 < Ei < 5 keV u−1) and high-energy (Ei > 100 keV u−1) measurements.
• Reaction σ10 (He+ → He0)
Measurements. Measurements of the one-electron capture cross section of fast He+ ions in water were made by Koopman (1968) between 0.2 and 1.4 keV u−1 energy (Rudd et al. 1985b), in the 1.25–112.5 keV u−1 (490–4640 km s−1) range and by Greenwood et al. (2000) for 0.3– 1.7 keV u−1 (253–565 km s−1). The results reported by Koopman (1968) are a factor 7.15 lower than those of Greenwood et al. (2000) at their closest common energy (0.33 keV u−1), but are nonetheless qualitatively similar in shape and energy behavior.
Uncertainties. Uncertainties are below 7% for Ei < 1.7 keV u−1 (Greenwood et al. 2000) and span 14–20% for Ei > 2 keV u−1 (Rudd et al. 1985b). Koopman (1968) claimed an uncertainty of 20%.
Selection. The three datasets significantly differ in their common energy range (> 30%, to almost an order of magnitude for Koopman 1968). Because the Greenwood et al. (2000) measurements have a higher accuracy, we chose this dataset below 1.7 keV u−1 and used Rudd et al. (1985b)’s for Ei ≥ 2.5 keV u−1. As remarked by Koopman (1968), the cross section is expected to continue to rise with diminishing energies, which may be due to a near-resonant process involving highly excited states of H2O+. This tendency is also seen with electron capture by He+ impinging on a O2 gas (Mahadevan & Magnuson 1968). We therefore supplemented our data at low energy with an adjustment of the Koopman (1968) measurement at 73 eV u−1 (118 km s−1) by multiplying by a calibrating factor of 7.15 (
m2), and placing less weight on this particular dataset because of the large uncertainties. We note that the additive rule using the results of Rudd et al. (1985c) for H2 and O2 agress well with the measurements made in H2O (within the experimental uncertainties).
Fit and validity. Polynomial fit of order 5 was performed. Validity range: vi = 120–5000 km s−1 (Ei = 0.08– 130 keV u−1). Confidence: high.
Further work. Need for measurements in the very low-energy range, that is, Ei < 0.5 keV u−1.
3.1.3 He0 –H2O reactions
The reactions involving the neutral atom He0 are the two-electron σ02 and one-electron σ01 losses. They are shown in Fig. 2 (right).
• Reaction σ02 (He0 → He2+)
Measurements. No measurement of the two-electron loss cross section for helium atoms in a water gas has been reported.
Uncertainties. N/A.
Selection. Because of the lack of measurements, we chose to use the additive rule so that σ02 (H2O) ~ σ02(H2) + σ02 (O2)∕2. For H2 and O2, and following Uehara & Nikjoo (2002), we used the measurements of Sataka et al. (1990; 75– 450 keV u−1), which were performed around the cross-section peak with an uncertainty below 7%. The composite fit of Uehara & Nikjoo (2002) is within a factor 2 and extends down in energies to about 8.5 keV.
Fit and validity. A polynomial fit of order 2 was performed. Validity range: vi = 3800–9300 km s−1 (Ei = 75– 450 keV u−1). Confidence: low.
Further work. Need of measurements at any energy, with priority for 0.05< Ei < 500 keV u−1.
• Reaction σ01 (He0 → He+)
Measurements. No measurement of the one-electron loss cross section for helium atoms in a water gas has been reported.
Uncertainties. N/A. Selection. Because of the lack of measurements, we chose to use the additive rule so that σ01 (H2O) ~ σ01(H2) + σ01 (O2)∕2. For H2, we used the recommendation of Barnett et al. (1990, who analyzed all measurements prior to 1990) in the 0.5– 103 keV u−1 energy range and supplemented them by the more recent measurements of Sataka et al. (1990; 75– 450 keV u−1), which are both in excellent agreement. For O2, we used the results of Allison (1958) between 1 and 50 keV u−1 and Sataka et al. (1990) between 75 and 450 keV u−1; these datasets connect very well around 60 keV u−1. Associated uncertainties of separate cross sections are better than 10%.
Fit and validity. A polynomial fit of order 2 was performed. Validity range: vi = 310–10 000 km s−1 (Ei = 0.50– 520 keV u−1). Confidence: low.
Further work. Need of measurements at any energy, with priority for 0.05 < Ei < 500 keV u−1.
3.1.4 Discussion
Figure 2 shows that all charge-changing cross sections peak at values around 10−19–10−20 m2. Except for the capture cross sections σ20 (He2+ → He) and σ10 (He+ → He), which display a peak at speeds below 100 km s−1, the main peak of all other cross sections is situated at speeds higher than 1000 km s−1. σ21 (He2+ → He+) is the largest cross section between 400 and 3500 km s−1 (peak at 1.5 × 10−19 m2), whereas at low speeds, both double- and single-electron captures σ20 and σ10 for He2+ and He+ impactors become dominant, reaching values of about 1 × 10−19 m2 at 100 km s−1. Comparatively, the electron-loss cross sections from atomic He and from He+ start to become significant at speeds above 3000 km s−1, where they reach a maximum and where electron capture cross sections start to decrease. The largest of these cross sections, stripping cross section σ01, reaches values of 3.5 × 10−20 m2 at its peak.
![]() |
Fig. 2 Experimental charge-changing cross sections for fast helium atoms and ions in a water gas as a function of impact speed. “AR” refers to the “additive rule”: when no experimental results for H2O are available, results for H2 and O2 are combined to give an estimate (see text for details); experimental uncertainties for these estimates are at least 25%. Recommended polynomial fits in thick continuous or dashed lines are also shown, whose coefficients are listed in Table 1. Smooth extrapolations at low and high energies are indicated as thin dotted lines. |
3.2 Hydrogen projectiles
The hydrogen projectiles we considered are H+, H0, and H−. Charge-changing cross sections for H2O are presented, and our choice for each cross section is given, following the template of Sect. 3.1.
The cross sections and their corresponding recommended fits are plotted in Fig. 3. Polynomial fit coefficients are listed in Table 2.
Recommended charge-changing cross-section polynomial fits for (H+, H0, H−) projectiles colliding with H2O vapor.
3.2.1 H+ –H2O
Reactions involving H+ are the one-electron σ10 and two-electron σ1−1 captures. They are shown in Fig. 3 (left).
• Reaction σ10 (H + → H0)
Measurements. Since the end of the 1960s, many investigators have measured the one-electron capture cross section for protons in water (Koopman 1968; Toburen et al. 1968; Berkner et al. 1970; Cable 1970; Coplan & Ogilvie 1970; Dagnac et al. 1970; Rudd et al. 1985d), concentrating on relatively high impact energies (Ei > 1 keV, see Barnett et al. 1977). Recently, the cross section was remeasured by Lindsay et al. (1997; Ei = 0.5–1.5 keV) and by Greenwood et al. (2000; 1.5– 7 keV). At high energies (15 < Ei < 150 keV), the recent measurements of Gobet et al. (2004) and Luna et al. (2007) agree well with those of Toburen et al. (1968). All measurements are in excellent agreement, except for those by Coplan & Ogilvie (1970), who seemed to overestimate their results by a factor 2–4, and Koopman (1968), who underestimate them by about one order of magnitude. Finally, Baribaud et al. (1971) and Baribaud (1972) reported a value of σ10 = (14 ± 8) × 10−20 m2 at 5 keV, in good agreement with the other measurements. It is interesting to remark that the additive rule estimates using data in H2 (Gealy & van Zyl 1987a) and O (Van Zyl & Stephen 2014) are 30% lower on average than the direct measurements in H2O.
Uncertainties. Measurement errors for the recent datasets are smaller than 10% on average (Lindsay et al. 1997; Greenwood et al. 2000).
Selection. To extrapolate at energies below 500 eV with a plausible energy dependence, we used the theoretical calculations of Mada et al. (2007; Fig. 6, total charge-transfer cross section including all molecular axis collision orientations) increased by a factor 2.2 to match Greenwood et al. (2000) and Lindsay et al. (1997) at 500 eV. At high energies, the results of Luna et al. (2007), combined with those of Gobet et al. (2004), were chosen.
Fit and validity. A least-squares polynomial fit of degree 6 in log10 of the proton speed vi was performed. Expected validity range vi = 100–2 × 104 km s−1 (Ei = 0.05–2100 keV). Confidence: high.
Further work. Measurements in the low-energy range 0.05 < Ei < 5 keV with good energy resolution are needed.
• Reaction σ1−1 (H + → H−)
Measurements. Only one measurement of the double-electron capture by protons in H2O has been reported (Toburen & Nakai 1969), and at high energies (75 < Ei < 250 keV). No low-energy measurements are available.
Uncertainties. Errors are reported to be 8% in this high energy range.
Selection. Lacking data, we used the additive rule for the double capture by H2, which is well documented (Allison 1958; McClure 1963; Kozlov & Bondar’ 1966; Williams 1966; Schryber 1967; Toburen & Nakai 1969; Salazar-Zepeda et al. 2010), and O2 (Allison 1958, given per atom of oxygen) at low proton impact energies. We supplement these estimates with the measurements in water by Toburen & Nakai (1969) at high energies. Since the measurements reported by Allison (1958) for O2 are only made around 10 keV, the behavior of H2O at energies below is unknown. We chose to reconstruct the H2O data around the peak with the additive rule and to multiply the H2 +O data at low energies by a factor
to connect smoothly with the peak H2O cross section. 1σ uncertainties for the AR dataset are indicated in the figure.
Fit and validity. A polynomial fit of order 6 in log10 was performed on the overall reconstructed cross section. Because of the reconstructed AR dataset, the fit underestimates the cross-section peak by about 50%, although uncertainties are likely much larger. Validity range vi = 100–7600 km s−1 (Ei = 0.05–300 keV). Confidence: low.
Further work. Need of measurements for 0.05 < Ei < 100 keV to confirm this estimate.
3.2.2 H0 –H2O
Reactions involving H0 are the one-electron loss σ01 and the one-electron capture σ0−1. They are shown in Fig. 3 (middle).
• Reaction σ01 (H 0 → H+)
Measurements. Dagnac et al. (1969, 1970) measured one-electron-loss cross sections for the hydrogen impact on H2O between 1.5 and 60 keV, which are in excellent agreement in their common range with the newer values given by Luna et al. (2007) in the 15 − 90 keV range, which include both reaction channels H → H+ + H2O+ + 2e and → H+ + H2O + e. Baribaud et al. (1971) and Baribaud (1972) reported a value of σ01 = (1.6 ± 0.8) × 10−20 m2 at 5 keV in good agreement. Gobet et al. (2006) reported cross sections between 20 and 150 keV, whereas Toburen et al. (1968) made measurements between 100 keV and 2500 keV, all in excellent agreement.
Uncertainties. Uncertainties range from 30% (1.5–5 keV) to 12–15% (> 5 keV) (Dagnac et al. 1970; Luna et al. 2007) and are on the order of 25% at very high energies (Gobet et al. 2006).
Selection. We used data from Dagnac et al. (1970) and Luna et al. (2007) between 1.5 and 90 keV. To extrapolate the behavior of the cross section at lower energies, we used the additive rule σ01 (H2) + σ01(O), using Gealy & van Zyl (1987b) for H impact on H2 paired with data reported by Van Zyl & Stephen (2014) for H impact on O (both with uncertainties of about 15– 25%) between 0.125 and 2 keV. At 2 keV energy, the AR values overestimate the measurements of Dagnac et al. (1970) by a factor 3.8 on average; we chose to use the scaled AR cross section to estimate the low-energy dependence below 1.5 keV.
Fit and validity. A polynomial fit of order 4 in log10 was performed on the chosen (H, H2O) electron-loss cross sections. The expected validity range is vi = 150 − 2 × 104 km s−1 (0.1–2100 keV). This simple fit compares well to that performed by Uehara et al. (2000). Confidence: medium.
Further work. Need for measurements for 0.05 < Ei < 5 keV.
• Reaction σ0−1 (H 0 → H−)
Measurements. State-selective time-of-flight measurements of the one-electron capture cross section for H in water were recently made by Luna et al. (2007) in the 8–100 keV range, which likely is above the cross-section peak.
Uncertainty. Uncertainties are on average 10%.
Selection. Between 8 and 100 keV, we adopted the summed cross section over all target product channels of Luna et al. (2007). To extend these measurements, we chose to use the additive rule for H2 and O, that is, at low energies, data from Gealy & van Zyl (1987b) for H on H2 paired with data from Van Zyl & Stephen (2014) for H on O. At high energies, we used the measurements of Hill et al. (1979) in H2 and those of Williams et al. (1984) in O. Finally, we scaled the overall reconstructed H2 +O data points to reach the magnitude of the Luna et al. (2007) data using a varying multiplication factor 1.3– 4.8 that depends on energy between 8 and 30 keV, and a constant × 4.8 factor below 8 keV.
Fit and validity. A polynomial fit of order 5 on the reconstructed dataset. Validity range vi = 100–4500 km s−1 (0.05–105 keV) Confidence: low (low below 8 keV, high above).
Further work. Need for measurements at energies below the peak, for 0.05 < Ei < 10 keV.
3.2.3 H− –H2O
The reactions involving the negative fast ion H− are the two-electron σ−11 and the one-electron σ−10 losses. Theyare shown in Fig. 3 (right).
• Reaction σ−11 (H − → H+)
Measurements. The only measurement found for the two-electron loss by H− in H2O is that of Baribaud et al. (1971; also in Baribaud 1972), who reported a single cross section at 5 keV for H2O, σ−11 = 0.7 × 10−20 m2.
Uncertainty. The reported error is about 30% at 5 keV.
Selection. Because of the lack of data, we adopted the additive rule σ−11(H2)+σ−11(O2)/2. For H2, we used data from Geddes et al. (1980) in the energy range 1–300 keV (dataset in excellent agreement for σ−10 with that of Gealy & van Zyl 1987b, thus giving good confidence on their σ−11 values). For O2, we used data reported by Williams et al. (1984) for 2.5 < Ei < 5 keV, Fogel et al. (1957) and by Lichtenberg et al. (1980) for Ei = 50–227 keV, which agree well in their common ranges.
Fit and validity. A polynomial fit of degree 4 in log10 on the reconstructed (H−, H2O) two-electron-loss cross section. At 5 keV, the additive rule fit is within 5% of the reported value for H2O (Baribaud et al. 1971). Validity range vi = 650–7600 km s−1 (2.2–300 keV). Confidence: low.
Further work. Need for measurements at any energy, in priority in the energy range 0.1– 100 keV.
• Reaction σ−10 (H − → H0)
Measurements. The only measurement found for the one-electron loss by H− in H2O is that of Baribaud et al. (1971; also in Baribaud 1972), who reported a unique value at 5 keV in H2O, σ−10 = 7.5 × 10−20 m2.
Uncertainty. The reported error is 13% at 5 keV.
Selection. Because of the lack of data, we chose to use the additive rule, σ−10(H2)+σ−10(O2)/2 and scaled it to the value of Baribaud et al. (1971) at 5 keV. For H2, the data from Geddes et al. (1980; 1–300 keV) and Hvelplund & Andersen (1982; 300–3500 keV) were joined. For O, data from Williams et al. (1984; 2.5–250 keV), which compare well with those from Lichtenberg et al. (1980; 50– 225 keV), and Rose et al. (1958; 400–1500 keV) were adopted. At very low collision velocity, the energy of the center of mass is different from that of the ion energy measured in the laboratory frame. Huq et al. (1983) and Risley & Geballe (1974), reported by Phelps (1990), measured H− total electron loss in H2 from a threshold at 2.38 to 200 eV (vi = 21–195 km s−1), and from 300 eV to 10 keV (240–1400 km s−1), respectively. We note that in this energy range, single charge transfer dominates so that neutral hydrogen and negative molecular hydrogen ions are simultaneously produced: H− +H2 → H+H
(Huq et al. 1983). Correspondingly, Bailey & Mahadevan (1970) made measurements in O2 in the range 0.007–0.34 keV (36– 81 km s−1), with values of about 10−19 m2/atom. Compared to the one reported value for H2O at 5 keV, the reconstructed additive rule cross section overestimates the efficiency of the electron detachment by a factor 2.3, which we chose as our scaling factor. The validity of such a scaling at one energy to extrapolate the values at other energies is likely subject to large uncertainties, which cannot be precisely assessed for lack of experimental or theoretical data.
Fit and validity. A polynomial fit of degree 5 in log10 on the reconstructed (H−, H2O) one-electron-loss cross section, scaled to the value of Baribaud et al. (1971) at 5 keV. Validity range vi = 100–20 000 km s−1 (Ei = 0.05–2100 keV). Confidence: low.
Further work. Need for measurements at any energy, in priority above threshold, so that 0.1 < Ei < 100 keV.
3.2.4 Discussion
Figure 3 shows the charge-changing cross sections for (H+, H, H−). The dominant process below about 2000 km s−1 solar wind speed is electron capture σ10 of H+, which reaches a maximum value of about 2 × 10−19 m2. A second process of importance is electron stripping σ−10 of H−, reaching 0.8 × 10−19 m2 at its peak at 400 km s−1. However, since only one measurement has been reported in water for this process, the additive rule is likely to give only a crude approximation at low speeds; that said, because H− anions are populated by two very inefficient processes, this will likely result in a very small overall effect in the charge-state distributions (see Paper II). Consequently, at typical solar wind speeds, single-electron captures by H+ and H are expected to drive the solar wind charge- state distribution in a water gas.
![]() |
Fig. 3 Experimental charge-changing cross sections for fast hydrogen atoms and ions in a water gas as a function of impact speed. “AR” refers to the “additive rule”: when no experimental results for H2O are available, results for H2 and O2 are combined to give an estimate (see text for details); experimental uncertainties for these estimates are at least 25%. Polynomial fits in thick continuous or dashed lines are also shown, whose coefficients are listed in Table 2. Smooth extrapolations at low and high energies are indicated as thin dotted lines. |
4 Experimental ionization cross sections for (H, He) in H2O
We present in this section the total ionization cross sections for the collisions of helium and hydrogen species with water molecules. Reviews at very high energies have been published over the past two decades with the development of Monte Carlo track-structure models describing how radiation interacts with biological tissues (Uehara & Nikjoo 2002; Nikjoo et al. 2012).
Ionization cross sections are noted σii, where the initial charge state i stays the same during the reaction (target ionization only). The reactions we consider in this section are thus
(5)
with q the number of electrons ejected from the neutral molecule M by a fast-incoming particle X. Because the initial solar wind ion distribution becomes fractionated on its path toward the inner cometary regions as a result of charge-transfer reactions, helium and hydrogen species are usually found in three charge states, namely Xi+, X(i−1)+ and X(i−2)+, with i the charge of the species. Because of the detection methods we used, experimentally reported cross sections are usually total electron production cross sections or positive-ion production cross sections (Rudd et al. 1985a; Gobet et al. 2006; Luna et al. 2007), which may contain contamination from transfer-ionization processes (as the overall charge is conserved). For protons in water, these charge-transfer processes are, for example,
![Mathematical equation: \begin{align*} \textrm{H}^{+} + \textrm{H}_2\textrm{O} \longrightarrow {\textrm{H}} + [\textrm{H}_2\textrm{O}]^{2+} + e^-. \end{align*}](/articles/aa/full_html/2019/10/aa34848-18/aa34848-18-eq10.png)
The contribution of charge-transfer processes to the measured cross section may become non-negligible at low energies. However, at typical solar wind energies, the total electron production cross sections decrease rapidly as power laws, making the transfer-ionization contribution small in comparison to any of the single or double charge-changing reactions considered in Sect. 3. When the total charge-exchange and ionization rates are calculated from these two sets of cross sections, counting these minor charge-exchange reactions twice (a first time in the charge-exchange cross section and second time in the ionization) will therefore be minimized.
In ionization processes, the molecular target species M can also be dissociated into ionized fragments: for H2O targets, ionization may lead to the formation of singly charged ions H+, H
, O+ and OH+ or even to that of doubly charged ions (e.g., O2+, as in Werner et al. 1995). In this section we only consider the total ionization cross section, which includes all dissociation paths of the target species, noted [M]q+.
4.1 Helium + H2O
Energies are given in keV per atomic mass unit (keV u−1). Ionization cross sections for helium species are shown in Fig. 4. Corresponding polynomial fit parameters are given in Table 3.
• Reaction σ22 (He2+ → He2+)
Measurements. Laboratory measurements were performed by Rudd et al. (1985a) between 10 and 300 keV u−1 (1400–7500 km s−1) for the total electron production, and by Toburen et al. (1980) between 75 and 500 keV u−1. The additive rule σ(H2) + σ(O) with the datasets of Rudd et al. (1985a) in the same energy range yields results in excellent agreement with the water measurements (no measurements in H2 and O2 below 10 keV were found).
Uncertainties. Uncertainties are 13% below 300 keV u−1 (Rudd et al. 1985a), and reach 20% above (Toburen et al. 1980).
Selection. Since the datasets are complementary in energy and agree well with each other, we used both water measurements.
Fit and validity. A polynomial fit of order 4 of the cross section as a function of the logarithm of the impact speed was performed. Expected validity range is vi = 1400–10 000 km s−1 (Ei = 10–520 keV u−1). Confidence: high. Further work. Need for low-energy (Ei < 10 keV u−1) and very high-energy (Ei > 500 keV u−1) measurements.
• Reaction σ11 (He+ → He+)
Measurements. Ionization cross sections have been measured by Rudd et al. (1985b) between 1.25 and 112.5 keV u−1 (490–4650 km s−1), and by Toburen et al. (1980) between 75 and 500 keV u−1. The additive rule using the measurements of Rudd et al. (1985c) in H2 and O2 agrees well at the cross-section peak and above (> 1 keV u−1) but increasingly diverges below (up to a factor 2).
Uncertainties. Uncertainties are 20% below 30 keV u−1 and lower than 8% in the 30– 450 keV u−1 range (Rudd et al. 1985b). At energies above 450 keV u−1, errors are onthe order of 20% (Toburen et al. 1980).
Selection. The two H2O datasets overlap with each other and are in excellent agreement. We therefore used both datasets.
Fit and validity. A polynomial fit of order 4 in log10vi was performed. Expected validity is 450–10 000 km s−1 (Ei = 1–520 keV u−1). Confidence: high.
Further work. Need for very low-energy (Ei < 1 keV u−1) and very high-energy (Ei > 500 keV u−1) measurements.
• Reaction σ00 (He0 → He0)
Measurements. No measurement of He0 impact ionization on water has been performed. Uncertainties. N/A.
Selection. To palliate the lack of measurements, Uehara & Nikjoo (2002; reported in Nikjoo et al. 2012 with no alterations) proceeded in two steps with their Monte Carlo track-structure numerical model: at low energies (below 100 keV u−1), where He0 atoms dominate the composition of the charge distribution as a result of charge exchange, the authors adjusted the total ionization cross sections of He0 +H2O to match the total electronic stopping powers of the helium system tabulated in report 49 of ICRU (Berger et al. 1993). At energies above 100 keV u−1, ionization cross sections of He0 were assumed to be equal to those of He+ measured by Toburen et al. (1980). Expected uncertainties according to Uehara & Nikjoo (2002) are of the order of 20%. These cross sections were chosen here. However, because no specific measurements have been made, we ascribe a low confidence level to this estimate, especially at typical solar wind energies.
Fit and validity. A polynomial fit in log10vi was performed. Expected validity range for such a composite estimate is 100–10 000 km s−1 (Ei = 0.05–520 keV u−1). Confidence: low.
Further work. Measurements at any energy (Ei > 0.05 keV u−1) is needed.
Recommended ionization cross-section polynomial fits for (He2+, He+, He0) projectiles colliding with H2O vapor.
4.2 Hydrogen + H2O
Ionization cross sections for hydrogen species are shown in Fig. 5. Corresponding polynomial fit parameters are given in Table 4.
• Reaction σ11 (H + → H+) σ11.
Measurements. Over the past three decades, many experiments have been carried out on the ionization of water by fast protons. Toburen et al. (1980) compared their results at high energies for helium particles to those of protons (Toburen & Wilson 1977) at 300 and 500 keV; proton cross sections were found to be about half those of He+. Rudd et al. (1985d) measured cross sections in the range 7–4000 keV and Bolorizadeh & Rudd (1986a) in the 15–150 keV range. These datasets are in good agreement with the more recent total ionization measurements by Werner et al. (1995) between 100 and 400 keV and those of Gobet et al. (2001, 2004), who focused on the production of dissociation fragments at 20–400 keV energies. Luna et al. (2007) reported total and partial ionization cross sections between 15– 100 and 500–3500 keV; in their lower energy range, and similar to Werner et al. (1995), their total ionization cross sections also include contributions from the transfer ionization reaction H+ + H2O → H + H2O2+ + e. When this is compared to the direct ionization measurements of Gobet et al. (2001, 2004), it appears that the total ionization cross section is probably not strongly affected by this additional contribution.
Uncertainties. Uncertainties are about 20% between 7 and 15 keV energy (Rudd et al. 1985d), and lower than 15% at energies above 15 keV (Luna et al. 2007).
Selection. We performed fits on all measurements listed above between 7 and 4000 keV. To extend the dataset to lower energies, the additive rule with the measurements of McNeal & Birely (1973) between 2 and 800 keV and Rudd et al. (1985e) between 1 and 5000 keV was used and scaled to match the results of Rudd et al. (1985d) at the cross-section peak; the composite σ(H2)+σ(O2)∕2 cross section is on average 25% smaller than the direct H2O measurements.
Fit and validity. Polynomial fit of degree 5 was performed on the reconstructed dataset. Expected validity range is 400–10 000 km s−1 (Ei = 0.8–520 keV u−1). Confidence: high.
Further work. Need of laboratory measurements at low energies to very low energies (0.05 < Ei < 10 keV).
• Reaction σ00 (H 0 → H0)
Measurements. Laboratory measurements for the ionization of H2O by fast hydrogen energetic neutral atoms (ENAs) were performed by Bolorizadeh & Rudd (1986b) between 20 and 150 keV. Electron loss to the continuum (ELC) cross sections were also concurrently calculated, which need to be subtracted from the total electron production cross sections (marked “σ−” in the terminology of Rudd’s team), as explained in detail in Gobet et al. (2006). Recently, the total target ionization cross section was measured by Gobet et al. (2006) using time-of-flight coincidence and imaging techniques and by Luna et al. (2007) using time-of-flight mass analysis, both above 15− 20 keV impact energy. As pointed out by Luna et al. (2007), the measurements of Gobet et al. (2006) at low collision energies are likely to have missed a portion of the proton beam scattered at high angles, suggesting an underestimation of their signal below about 30 keV. Consequently, the measurements of Gobet et al. (2006) and Luna et al. (2007) diverge by a factor 2– 3 below 30 keV, but they agree well above this limit. The ELC-corrected measurements of Bolorizadeh & Rudd (1986b) are larger by a factor 1.4– 2 above 50 keV.
Uncertainties. Uncertainties are quoted to be about 20% below 15 keV by Bolorizadeh & Rudd (1986b), whereas Luna et al. (2007) claimed errors of about 10% at all energies probed. Following Luna et al. (2007), we give the measurements by Gobet et al. (2006) a high uncertainty of 25% because of the uncertainty in their calibration.
Selection. We chose the datasets of Luna et al. (2007; 15– 150 keV) and that of Gobet et al. (2006), which is restricted to 50–100 keV energies. To approximate the low-energy and high-energy dependence of the cross section, we used the additive rule σ(H2)+σ(O2)∕2 with the datasets of McNeal & Birely (1973) between 0.1 and 10 keV, upscaled by 25%, as in the case of proton ionization cross sections (see σ11 case above). This results in a smooth decrease at low energy, a trend that cannot be extrapolated further, however.
Fit and validity. A polynomial fit of degree 4 was performed on the reconstructed dataset. Expected validity range: 140–9000 km s−1 (Ei = 0.1–420 keV u−1). Confidence: low (low at v < 1000 km s−1, medium above).
Further work. Need of laboratory measurements at any energy in the range 0.05–500 keV.
• Reaction σ−1−1 (H − → H−)
Measurements. No measurement of impact ionization cross sections in collisions of H− with H2O has been performed or studied, to our knowledge. Similarly, no measurement has been found of ionization of H and O, as separate entities. Because charge fractions at comets do not favor the presence of H− and because of the low expected fluxes, we avoid speculation. This species and its associated ionization cross section in water is left for further laboratory studies.
Recommended ionization cross-section polynomial fits for (H+, H0) projectiles colliding with H2O vapor.
4.3 Discussion
Figures 4 and 5 show the total ionization cross sections for (He2+, He+, He0) and (H+, H0). The ionization cross sections for helium species are on average 1.5– 2.5 times larger than those for the hydrogen system. They peak for helium at 1.5 × 10−19 m2 around 5000 km s−1 (0.8 × 10−19 m2, 2850 km s−1) for σ22 (σ11, respectively). For hydrogen, the cross sections peak at 0.5 × 10−19 m2 around 3450 km s−1 (0.6 × 10−19 m2, 1950 km s−1) for σ11 (σ00). Consequently, the largest cross sections are encountered for the higher charge states of each system of species. However, for all ionization cross sections, their low-energy dependence is subject to large uncertainties as a result of a lack of experimental results.
![]() |
Fig. 4 Experimental ionization cross sections for fast helium atoms and ions in a water gas as a function of impact speed. “AR” refers to the additive rule: when no experimental results for H2O are available, results for H2 and O2 are combined to give an estimate (see text for details); experimental uncertainties for these estimates are at least 25%. As no experimental data are available for He0, the composite recommendation of Uehara & Nikjoo (2002) was chosen (see text). Polynomial fits in thick continuous and dashed lines are also shown, and the coefficients are listed in Table 3. Smooth extrapolations in power laws at low and high energies are indicated as thin dotted lines. |
![]() |
Fig. 5 Experimental ionization cross sections for fast hydrogen atoms and protons in a water gas as a function of impact speed. “AR” refers to the additive rule: when no experimental results for H2O are available, results for H2 and O2 are combined to give an estimate (see text for details); experimental uncertainties for these estimates are at least 25%. No measurement for the ionization of H2O by H− is available. Polynomial fits in thick lines are also shown, and the coefficients are listed in Table 4. Smooth extrapolations in power laws at low and high energies are indicated as thin dotted lines. |
5 Recommended Maxwellian-averaged cross sections for solar wind-cometary interactions
In the interplanetary medium, solar wind ion velocity distributions may be approximated by a Maxwellian at a constant temperature Tp that typically is around 105 K (Meyer-Vernet 2012), or by a Kappa distribution in order to better take into account the tail of the velocity distribution (Livadiotis et al. 2018). For a Maxwellian distribution, which is a good first approximation, the temperature dependence with respect to heliocentric distance is such that
(Slavin & Holzer 1981), with RSun the heliocentric distance in AU. This corresponds to thermal speeds
of about 45 km s−1 at 1 AU for protons of mass mp, and half of that value for α particles: these values are much lower than the average “undisturbed” solar wind speed of 400 km s−1. However, at the interface between the undisturbed solar wind and the cometary plasma environment, for instance at bow shock-like structures, considerable heating of the ions and electrons may occur simultaneously to the slowing down of the solar wind flow (Koenders et al. 2013; Simon Wedlund et al. 2017). Solar wind proton and electron temperatures during planetary shocks can reach values up to several 106 K, for instance when interplanetary coronal mass ejections impact the induced magnetosphere of Venus (Tp increasing up to 100 eV, see Vech et al. 2015). Gunell et al. (2018) reported the first indication of a bow shock structure appearing for weak cometary outgassing rates at comet 67P: these structures were associated with a thermal spread of protons and α particles of a few 100 km s−1 (Tp ≳ 106 K). Deceleration and heating of the solar wind may in turn result in a spatially extended increase of the efficiency of the charge exchange and ionization (Bodewits et al. 2006). Bodewits and collaborators convolved a 3D drifting Maxwellian distribution with their He2+−H2O electron capture cross sections and found that for solar wind velocities below 400 km s−1 and a temperature above 106 K (vth ~ 80 km s−1), the cross section could be increased by a factor 2−10.
For low-activity comets such as comet 67P, Behar et al. (2017) calculated the velocity distributions of solar wind protons measured during the in-bound leg of the Rosetta mission. It is clear from their Fig. 2 that the velocity distribution functions cannot be approximated by a Maxwellian, which assumes dynamic and thermal equilibrium through collisions (ions thermalized at one temperature). Moreover, as CX reactions involve both the distribution of neutrals and ions, cross sections should be averaged over two velocity distributions, one for the neutrals, the other for the ions, with a reduced mass for the collision (Banks & Kockarts 1973). Therefore, the following development only gives an indicator of global effects for increased solar wind temperatures at a comet assuming a Maxwellian velocity distribution, without taking into account the measured angular and energy distributions of the solar wind ions.
5.1 Method
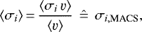
In order to take the effects of a Maxwellian velocity distribution for the solar wind into account, energy-dependent cross sections σi for solar wind impacting species i can be Maxwellian-averaged over all thermal velocities v following the descriptions of Banks & Kockarts (1973) and Bodewits et al. (2006):
(6)
defining the Maxwellian-averaged cross section (MACS), σi,MACS. The 3D drifting Maxwellian velocity distribution is defined as
(7)
with vd the drift velocity of the solar wind (directed along its streamlines so that vd = Usw, with Usw the solar wind velocity), mi the mass of the solar wind species considered, and Ti its corresponding temperature. The distribution can be expressed in terms of (v, θ), with θ the angle between the solar wind drift and thermal velocities, so that the term in the exponential becomes
. Because the undisturbed solar wind is in a first approximation axisymmetric around its direction of drift propagation, angles are integrated between 0 and π.
Consequently, the Maxwellian-averaged reaction rate ⟨σi v⟩ is (Bodewits et al. 2006)
(8)
whereas the average speed ⟨v⟩ is
(9)
Combining Eqs. (8) and (9), we can calculate the MACS. The double integrals are solved numerically using the fitted polynomial functions of Sects. 3 and 4 by summing small contiguous velocity intervals logarithmically spaced from 10 to 3000 km s−1 (three times the maximum thermal velocity considered). Because the shape at low velocities of the final MACS in turn depends on the velocity dependence of the original cross sections and their smooth extrapolation below 100 km s−1, the MACS are conservatively calculated in the restricted 100−800 km s−1 range. Extrapolations down to 10 km s−1 for the integration were made using power laws connecting at 120 km s−1.
5.2 Maxwellian-averaged charge-exchange cross sections
To illustratethe effect of the non-monochromaticity of the solar wind, we calculated the effect on the cross sections of increasingly higher temperatures (T = 105 K, 1.6 × 106 K, 10 × 106 K, and 40 × 106 K) corresponding to thermal velocities of 25 km s−1 (50 km s−1), 100 km s−1 (200 km s−1), 250 km s−1 (500 km s−1), and 500 km s−1 (1000 km s−1) for He2+ (H+, respectively). The three lowest temperatures are reasonably encountered in cometary environments, especially when the solar wind is heated following the formation of a shock-like structure upstream of the cometary nucleus.
Figure 6A shows the MACS for the two most important single-electron capture cross sections σ21 (for α particles) and σ10 (for protons). This illustrates that depending on which velocity the cross section peaks at, the Maxwellian-averaged cross section may be decreased or increased. This is easily understood because particles populating the tail of the Maxwellian at high velocities, where cross sections either peak or decrease in power law, will contribute to the averaged cross section. If the cross-section peak is located at high velocities, the MACS will be enhanced at low velocities (ratio of MACS to parent cross section higher than 1). Correspondingly, if the cross section peaks at low velocities, the MACS may become less than its initial cross section at low velocities (ratio lower than 1). This is demonstrated in Fig. 6B, where the MACS is divided by its parent (non-averaged) cross section. In the case of hydrogen (Fig. 6, right), the original σ10 cross section peaks at 200 km s−1: for any temperature of the solar wind, the MACS will thus be smaller than its parent cross section. Conversely, when the peak of the cross section is at higher velocities, as is the case for σ21 (peak at 1000 km s−1, Fig. 6, left), the effect of the Maxwellian will be maximized and the MACS can become much larger than its parent cross section, depending on the temperature.
The result for helium is in qualitative agreement with that of Bodewits et al. (2006): Maxwellian-induced effects start to become important at solar wind velocities below 400 km s−1 and for temperatures above 106 K. For 500 km s−1 thermal velocities, the cross section is multiplied by a factor 6.5 at a solar wind speed of 100 km s−1. For lower thermal velocities (250, 100 and 25 km s−1), this multiplication factor decreases to 3.7, 1.7, and 1.1 at the same solar wind speed. Differences with the results of Bodewits et al. (2006) are due to different adopted cross sections.
For hydrogen, the cross section is almost unchanged until thermal velocities reach 1000 km s−1, for which the MACS is minimum around 215 km s−1 solar wind speed (multiplication factor 0.7 with respect to its parent cross section). A moderate increase is observed at a solar wind speed of 100 km s−1, with factors ranging from 1.19 (vth = 1000 km s−1), 1.50 (vth = 500 km s−1), 1.38 (vth = 200 km s−1), and 1.06 (vth = 50 km s−1).
![]() |
Fig. 6 (A) Maxwellian-averaged cross section for single-electron capture by He2+ (left) and H+ (right) in H2O. (B) Multiplication factor for the reference non-averaged cross sections. Four solar wind temperatures were used: T = 0.1, 1.6, 10, and 40 MK, corresponding to varying thermal velocities. |
5.3 Maxwellian-averaged ionization cross sections
We present here the MACS for ionization of water vapor by solar wind particles. Because ionization cross sections peak at speeds above 1000 km s−1, the increase of the cross sections due to the tail of the Maxwellian distribution will be most important below 400 km s−1 for high solar wind temperatures. This is shown in Fig. 7, where Maxwellian-averaged ionization cross sections are calculated for He2+ (σ22) and H+ (σ11).
Cross sections are notably enhanced at typical solar wind speeds (< 1000 km s−1), with an increase of more than a factor 10 at a temperature T = 40 × 106 K (vth = 500 km s−1) and a solar wind speed of 100 km s−1 for He2+ (Fig. 7B, left). Correspondingly, the effect is even more drastic for H+ (Fig. 7B, right), with a factor 10 already reached at 400 km s−1 solar wind speed for a temperature of 40 × 106 K, increasing up to a factor 500 at 100 km s−1. At a solar wind speed of 100 km s−1, proton ionization cross sections are multiplied by a factor 16 and 135 at the more moderate temperatures of 1.6 × 106 K and 10 × 106 K, respectively.
![]() |
Fig. 7 (A) Maxwellian-averaged cross section σMACS for total ionization of H2O by impacting He2+ (left) and H+ (right). (B) Multiplication factor γ for the reference non-averaged cross sections, i.e., γ = σMACS∕σ, for He2+ (left) and H+ (right). Foursolar wind temperatures were used: T = 0.1, 1.6, 10, and 40 MK, corresponding to varying thermal velocities. |
5.4 Recommended MACS
Recommended Maxwellian-averaged cross-section bivariate polynomial fits were performed in the 2D solar wind temperature-speed (T,v) space. To constrain the fits, we restricted the temperature range to 0.1−6.4 × 106 K for helium particles (0.025−10 × 106 K for hydrogen particles) and set a common solar wind velocity range of 100−800 km s−1. We first used a moving average on the calculated MACS to smooth out the sometimes abrupt variations with respect to solar wind speed, which are due to the numerical integration.
Bivariate polynomials of degree (n, m) in temperature (degree n) and velocity (degree m) can be written for the MACS as σMACS(T, v) = ∑i,j pij Ti vj × 10−22 (m2). Least-absolute-residuals (LAR) bivariate polynomial fits of degree (4, 4) or (4, 5), with 15 or 20 coefficients, respectively, were performed so that the fits could apply to the maximum number of cases without losing in generality and fitting accuracy. The LAR method was preferred to least squares as it gives less weight to extreme values, which, despite smoothing, may appear and are usually connected to the velocity discretization used for the MACS integration. Appendix C presents our recommended bivariate least-squares polynomial fitting coefficients.
Figure 8 displays the comparison in the 2D (T, v) plane between the numerically calculated single-electron capture MACS for He2+ and H+ (as gray contours) and their corresponding polynomial fits (black dotted lines). Good agreement between contours is found for helium and hydrogen, despite the discretization issue around v = 500 km s−1 for T < 106 K. Residuals become important above 800 km s−1.
For helium particles, the error with respect to the calculated charge-changing MACS was kept below 10% on average for fits of degree (4, 4), and below 15% for fits of degree (4, 5), all within the experimental non-averaged cross-section uncertainties. Because of rapid variations of the cross sections at low solar wind speeds, the fitting error for ionization cross sections is only < 20%. For hydrogen particles, the fitting error is correspondingly below 10% for σ10, σ1−1 and σ01, but is about 20% for the other cross sections, including ionization.
![]() |
Fig. 8 Maxwellian-averaged cross sections in the (T, v) plane for one-electron capture He2+−H2O (left) and H+−H2O (right). Calculated MACS contours are plotted as gray solid lines, and the corresponding fits are shown as black dotted lines. |
6 Summary and conclusions
Figure 9 presents an overview of all fitted charge-changing and ionization cross sections for (He2+, He+, He) and (H+, H, H−) particles in a water gas, determined from a critical survey of experimental cross sections. The figure illustrates the complexity of ion-neutral interactions because the relative contribution of different reaction channels varies greatly with respect to the collision energy of the projectile. In general, electron capture (charge-exchange) reactions are the prime reactions at low velocities (< 1000 km s−1), whereas stripping, ionization, and/or fragmentation are dominant at higher velocities. We list our results below.
Helium system. At typical solar wind velocities, the double charge-transfer reaction σ20 and single-electron capture σ10 dominate at low impact speeds (below 220 km s−1). It is also interesting to note that their main peak is likely situated below 100 km s−1, which is the limit of currently available measurements, and which would point to a semi-resonant process taking place. The contribution of double-electron loss σ02 as a source of He2+ is negligible below 1000 km s−1. Ionization cross sections peak at solar wind speeds above 4000 km s−1 where they are larger than any charge-changing cross section; they are thus expected to play only a minor role in the production of new cometary ions. Electron stripping reactions, especially σ01 and to a lesser extentσ12, begin to play an important role at high impact speeds (above 2000 km s−1).
Hydrogen system. Electron capture cross sections (σ10, σ0−1) usually dominate for H+ and H0 species for solar wind speeds below 500 km s−1. For H−, even though the reconstruction of electron stripping cross sections is fraught with uncertainties because of the lack of data, σ−10 is expected to become the second-most important cross section after σ10 at typical solar wind speeds 100−1000 km s−1. In contrast to the case of He2+, double charge-changing reactions (red and green lines) are negligible at typical solar wind speeds; σ−11 becomes relatively important above 5000 km s−1, although it remains about six times lower at its peak than the other sink of H− (σ−10). Ionization cross sections, as in the case of the helium system, tend to peak at speeds above 2000 km s−1, where they constitute the main source of new ions, only rivalled there by σ−10 and σ01.
The velocity dependence of ion-molecule reactions implies that both the bulk velocity and the temperature of the ions need to be considered. At temperatures above 10 MK, the high-energy tail of the velocity distribution corresponds to the peak of the single-electron capture by He2+ and increases the rate of single-electron capture at low solar wind speeds by almost one order of magnitude. This is also seen for ionization cross sections: MACS are amplified with respect to their parent cross sections for He and even more so for H because of the additive effect of ionization cross sections peaking at high velocities and their rapid decrease at low solar wind speeds. When cross sections peak at low impact speeds, the effect of the distribution becomes small or negligible, as is the case for the single-electron capture by H. This remark also applies to the double- and single-electron captures by He2+ and to a lesser extent to the single-electron loss by H−. This implies that shock structures found around comets and planets, where heating can reach several 106 K, may change the balance of ion production and favor processes with cross sections that peak at high energies (ionization and several charge-changing reactions), which were previously thought to be of moderate or negligible importance.
To make the cross-section data more accurate, further experimental studies of helium and hydrogen particles in a H2O gas are needed for different energy regimes and the following reactions:
Low-energy regime (<100 eV). All 12 charge-changing reactions for He and H particles in water, and 6 corresponding ionization cross sections.
Medium-energy regime (100−104 eV). For He particles, σ12, σ02, σ01, σ22, and σ00. For H particles, all cross sections, either charge-exchange or ionization.
High-energy regime (104−105 eV). For He particles, σ02, σ01, and σ00. For H particles, σ1−1, σ−11, σ−10, σ00, and σ−1−1.
Very high-energy regime (>105 eV). For He particles, σ12, σ02, σ01, and ionization cross sections, especially above 500 keV. For H particles, σ−11, σ−10, σ00, and σ−1−1.
The critical experimental survey of cross sections presented in this work has multiple applications in astrophysics and space plasma physics (other solar system bodies, H2O-atmosphere exoplanets), as well as in biophysics as inputs to track-structure models (Uehara et al. 2000; Uehara & Nikjoo 2002). In parallel with this effort, a corresponding survey of existing theoretical approaches for the calculation of charge-changing and ionization cross sections, with their systematic comparison to experimental datasets, is also needed.
This article is the first part of a study on charge-exchange and ionization efficiency around comets. The second part, presented in Simon Wedlund et al. (2019a; Paper II), develops an analytical formulation of solar wind (H+, He2+) charge exchange in cometary atmospheres using our recommended set of H2O charge-exchange cross sections. The third part, presented in Simon Wedlund et al. (2019b; Paper III), applies this analytical model and its inversions to the Rosetta Plasma Consortium datasets, and in doing so, is aimed at quantifying charge-changing reactions and comparing them to other ionization processes during the Rosetta mission to comet 67P.
![]() |
Fig. 9 Recommended monochromatic charge-changing and ionization cross sections for (He2+, He+, He) and (H+, H, H−) in H2O as a function of impact speed. |
Acknowledgements
The work at University of Oslo was funded by the Norwegian Research Council grant No. 240 000. The work at NASA/SSAI was supported by NASA Astrobiology Institute grant NNX15AE05G and by the NASA HIDEE Program. Work at the Royal Belgian Institute for Space Aeronomy was supported by the Belgian Science Policy Office through the Solar-Terrestrial Centre of Excellence. Work at Umeå University was funded by SNSB grant 201/15 and SNSA grant 108/18. Work at Imperial College London was supported by STFC of UK under grant ST/N000692/1 and by ESA under contract No. 4000119035/16/ES/JD. C.S.W. is grateful to S. Barabash (IRF Kiruna, Sweden) for suggesting to investigate electron stripping processes at a comet. The authors thank the ISSI International Team “Plasma Environment of comet 67P after Rosetta” for fruitful discussions and collaborations. C.S.W. acknowledges the Cross sections in ion-atom collisions (http://cdfe.sinp.msu.ru/services/cccs/HTM/main.htm) database hosted by the Skobeltsyn Institute of Nuclear Physics, Lomonosov Moscow State University (Russia) and maintained by N.V. Novikov and Ya. A. Teplova, which was instrumental in finding cross-section datasets for H2, H, O2, and O targets. C.S.W. is indebted to M.S.W. and L.S.W. for cynosural advice throughout this obstinate quest for the best experimental cross sections. Datasets of the Rosetta mission can be freely accessed from ESA’s Planetary Science Archive (http://archives.esac.esa.int/psa).
Appendix A Recommended charge-changing cross sections in H2O
To facilitate the book-keeping, tables of the recommended fitted monochromatic charge-changing cross sections chosen in this study are given below for the helium (Table A.1) and hydrogen (Table A.2) systems. They are listed between 100 km s−1 and 5000 km s−1 (0.05−130 keV u−1) for all processes in numeric form, pending new experimental results. Extrapolations are indicated with an asterisk.
Recommended charge-changing cross sections for (He2+, He+, and He0) projectiles colliding with H2O vapor between 100 and 5000 km s−1 of impact speed.
Recommended charge-changing cross sections for (H+, H0, H−) projectiles colliding with H2O vapor between 100 and 5000 km s−1 of impact speed.
Appendix B Recommended ionization cross sections in H2O
We present in Table B.1 our recommended fitted total monochromatic ionization cross sections for helium (He2+, He+, and He0) and hydrogen (H+ and H0) particles colliding with H2O. This corresponds to reactions where the impacting species does not change its charge, and is thus complementary for the net production of positive ions to the charge-changing cross sections presented in Appendix A. Ionization cross sections are listed between 100 and 5000 km s−1 (0.05−130 keV u−1). Extrapolations are indicated with an asterisk.
Recommended total ionization cross sections for the (He2+, He+, He0) and (H+, H) systems in a H2O gas between 100 and 5000 km s−1 of impact speed.
Appendix C Recommended Maxwellian-averaged cross-section fits
Tables C.1 and C.2 present the recommended bivariate polynomial fit coefficients for all 12 charge-changing cross sections for helium and hydrogen particles in water, as well as the 5 total ionization cross sections for these two species.
Bivariate (T, v) polynomial fits for Maxwellian-averaged charge-changing and ionization cross sections for (He2+, He+, and He0) projectiles colliding with H2O vapor.
Bivariate (T, v) polynomial fits for Maxwellian-averaged charge-changing and ionization cross sections for (H+, H0, and H−) projectiles colliding with H2O vapor.
References
- Allison, S. K. 1958, Rev. Mod. Phys., 30, 1137 [NASA ADS] [CrossRef] [Google Scholar]
- Alvarado, F., Hoekstra, R., & Schlathölter, T. 2005, J. Phys. B At. Mol. Phys., 38, 4085 [NASA ADS] [CrossRef] [Google Scholar]
- Bailey, T. L., & Mahadevan, P. 1970, J. Chem. Phys., 52, 179 [NASA ADS] [CrossRef] [Google Scholar]
- Banks, P. M., & Kockarts, G. 1973, Aeronomy, Part A (New York: Academic Press) [Google Scholar]
- Baribaud, M. 1972, PhD Thesis, Université de Grenoble, France [Google Scholar]
- Baribaud, M., Monte, J., & Zadworny, F. 1971, C. R. Acad. Sci. Paris, 272, 457 [Google Scholar]
- Barnett, C. F., Ray, J. A., Ricci, E., et al. 1977, Atomic data for controlled fusion research, Tech. Rep., ORNL [Google Scholar]
- Barnett, C. F., Hunter, H. T., Fitzpatrick, M. I., et al. 1990, NASA STI/Recon Tech. Rep. N, 91, 13238 [NASA ADS] [Google Scholar]
- Behar, E., Nilsson, H., Alho, M., Goetz, C., & Tsurutani, B. 2017, MNRAS, 469, 396 [Google Scholar]
- Belkić, D., Gayet, R., & Salin, A. 1979, Phys. Rep., 56, 279 [NASA ADS] [CrossRef] [Google Scholar]
- Berger, M. J., Inokuti, M., Andersen, H. H., et al. 1993, J. Int. Comm. Rad. Units Meas., os25, NP [Google Scholar]
- Berkner, K., Pyle, R., & Stearns, J. 1970, Nucl. Fusion, 10, 145 [CrossRef] [Google Scholar]
- Bissinger, G., Joyce, J. M., Lapicki, G., Laubert, R., & Varghese, S. L. 1982, Phys. Rev. Lett., 49, 318 [NASA ADS] [CrossRef] [Google Scholar]
- Bodewits, D., Juhász, Z., Hoekstra, R., & Tielens, A. G. G. M. 2004, ApJ, 606, L81 [NASA ADS] [CrossRef] [Google Scholar]
- Bodewits, D., Hoekstra, R., Seredyuk, B., et al. 2006, ApJ, 642, 593 [NASA ADS] [CrossRef] [Google Scholar]
- Bodewits, D., Christian, D. J., Torney, M., et al. 2007, A&A, 469, 1183 [NASA ADS] [CrossRef] [EDP Sciences] [Google Scholar]
- Bolorizadeh, M. A., & Rudd, M. E. 1986a, Phys. Rev. A, 33, 888 [NASA ADS] [CrossRef] [PubMed] [Google Scholar]
- Bolorizadeh, M. A., & Rudd, M. E. 1986b, Phys. Rev. A, 33, 893 [NASA ADS] [CrossRef] [Google Scholar]
- Bragg, W. H., & Kleeman, R. 1905, Lond. Edinb. Dubl. Phil. Mag. J. Sci., 10, 318 [Google Scholar]
- Bryan, E. L., Freeman, E. J., & Monce, M. N. 1990, Phys. Rev. A, 42, 6423 [NASA ADS] [CrossRef] [Google Scholar]
- Cable, P. 1970, PhD Thesis, University of Maryland, USA [Google Scholar]
- Combi, M. R., Harris, W. M., & Smyth, W. H. 2004, in Comets II, eds. M. C. Festou, H. U. Keller, & H. A. Weaver (Tucson, AZ: The University of Arizona Press), 523 [Google Scholar]
- Coplan, M. A., & Ogilvie, K. W. 1970, J. Chem. Phys., 52, 4154 [NASA ADS] [CrossRef] [Google Scholar]
- Cravens, T. E. 1997, Geophys. Res. Lett., 24, 105 [NASA ADS] [CrossRef] [Google Scholar]
- Dagnac, R., Blanc, D., Kucuk, M., & Molina, D. 1969, C. R. Acad. Sci. Paris, 268, 676 [Google Scholar]
- Dagnac, R., Blanc, D., & Molina, D. 1970, J. Phys. B At. Mol. Phys., 3, 1239 [NASA ADS] [CrossRef] [Google Scholar]
- Dalgarno, A. 1958, Phil. Trans. R. Soc. London, Ser. A, 250, 426 [NASA ADS] [CrossRef] [Google Scholar]
- Dennerl, K. 2010, Space Sci. Rev., 157, 57 [NASA ADS] [CrossRef] [Google Scholar]
- Dingfelder, M., Inokuti, M., & Paretzke, H. G. 2000, Rad. Phys. Chem., 59, 255 [NASA ADS] [CrossRef] [Google Scholar]
- Endo, S., Yoshida, E., Nikjoo, H., et al. 2002, Nucl. Instr. Meth. Phys. Res. B, 194, 123 [NASA ADS] [CrossRef] [Google Scholar]
- Fogel, I. M., Ankudinov, V. A., & Slabospitskii, R. E. 1957, Sov. J. Exp. Theor. Phys., 5, 382 [Google Scholar]
- Fuselier, S. A., Shelley, E. G., Goldstein, B. E., et al. 1991, ApJ, 379, 734 [NASA ADS] [CrossRef] [Google Scholar]
- Gealy, M. W., & van Zyl, B. 1987a, Phys. Rev. A, 36, 3091 [NASA ADS] [CrossRef] [PubMed] [Google Scholar]
- Gealy, M. W., & van Zyl, B. 1987b, Phys. Rev. A, 36, 3100 [NASA ADS] [CrossRef] [Google Scholar]
- Geddes, J., Hill, J., Shah, M. B., Goffe, T. V., & Gilbody, H. B. 1980, J. Phys. B At. Mol. Phys., 13, 319 [NASA ADS] [CrossRef] [Google Scholar]
- Gobet, F., Farizon, B., Farizon, M., et al. 2001, Phys. Rev. Lett., 86, 3751 [NASA ADS] [CrossRef] [PubMed] [Google Scholar]
- Gobet, F., Eden, S., Coupier, B., et al. 2004, Phys. Rev. A, 70, 062716 [NASA ADS] [CrossRef] [Google Scholar]
- Gobet, F., Eden, S., Coupier, B., et al. 2006, Chem. Phys. Lett., 421, 68 [NASA ADS] [CrossRef] [Google Scholar]
- Green, A. E. S., & McNeal, R. J. 1971, J. Geophys. Res., 76, 133 [NASA ADS] [CrossRef] [Google Scholar]
- Greenwood, J. B., Chutjian, A., & Smith, S. J. 2000, ApJ, 529, 605 [NASA ADS] [CrossRef] [Google Scholar]
- Greenwood, J. B., Mawhorter, R. J., Cadez, I., et al. 2004, Phys. Scr. T, 110, 358 [NASA ADS] [CrossRef] [Google Scholar]
- Gunell, H., Goetz, C., Simon Wedlund, C., et al. 2018, A&A, 619, L2 [NASA ADS] [CrossRef] [EDP Sciences] [Google Scholar]
- Hill, J., Geddes, J., & Gilbody, H. B. 1979, J. Phys. B At. Mol. Phys., 12, 3341 [NASA ADS] [CrossRef] [Google Scholar]
- Hoekstra, R., Anderson, H., Bliek, F. W., et al. 1998, Plasma Phys. Control. Fusion, 40, 1541 [NASA ADS] [CrossRef] [Google Scholar]
- Hoekstra, R., Bodewits, D., Knoop, S., et al. 2006, IAEA Atomic Plasma-Material Interaction Data for Fusion (Vienna: International Atomic Energy Agency), 13, 8 [Google Scholar]
- Huq, M. S., Doverspike, L. D., & Champion, R. L. 1983, Phys. Rev. A, 27, 2831 [NASA ADS] [CrossRef] [Google Scholar]
- Hvelplund, P., & Andersen, A. 1982, Phys. Scr., 26, 370 [NASA ADS] [CrossRef] [Google Scholar]
- Ip, W.-H. 1989, ApJ, 343, 946 [NASA ADS] [CrossRef] [Google Scholar]
- Isler, R. C. 1977, Phys. Rev. Lett., 38, 1359 [NASA ADS] [CrossRef] [Google Scholar]
- Itikawa, Y., & Mason, N. 2005, J. Phys. Chem. Ref. Data, 34, 1 [NASA ADS] [CrossRef] [Google Scholar]
- Itoh, A., Asari, M., & Fukuzawa, F. 1980a, J. Phys. Soc. Jpn., 48, 943 [NASA ADS] [CrossRef] [Google Scholar]
- Itoh, A., Ohnishi, K., & Fukuzawa, F. 1980b, J. Phys. Soc. Jpn., 49, 1513 [NASA ADS] [CrossRef] [Google Scholar]
- Kharchenko, V., Rigazio, M., Dalgarno, A., & Krasnopolsky, V. A. 2003, ApJ, 585, L73 [NASA ADS] [CrossRef] [Google Scholar]
- Koenders, C., Glassmeier, K.-H., Richter, I., Motschmann, U., & Rubin, M. 2013, Planet. Space Sci., 87, 85 [NASA ADS] [CrossRef] [Google Scholar]
- Koopman, D. W. 1968, Phys. Rev., 166, 57 [NASA ADS] [CrossRef] [Google Scholar]
- Kozlov, V. F., & Bondar’, S. A. 1966, Sov. J. Exp. Theor. Phys., 23, 195 [NASA ADS] [Google Scholar]
- Läuter, M., Kramer, T., Rubin, M., & Altwegg, K. 2019, MNRAS, 483, 852 [Google Scholar]
- Lichtenberg, W. J., Bethge, K., & Schmidt-Bocking, H. 1980, J. Phys. B At. Mol. Phys., 13, 343 [NASA ADS] [CrossRef] [Google Scholar]
- Lindsay, B. G., & Stebbings, R. F. 2005, J. Geophys. Res., 110, A12213 [NASA ADS] [CrossRef] [Google Scholar]
- Lindsay, B. G., Sieglaff, D. R., Smith, K. A., & Stebbings, R. F. 1997, Phys. Rev. A, 55, 3945 [NASA ADS] [CrossRef] [Google Scholar]
- Lisse, C. M., Dennerl, K., Englhauser, J., et al. 1996, Science, 274, 205 [NASA ADS] [CrossRef] [EDP Sciences] [Google Scholar]
- Livadiotis, G., Desai, M. I., & Wilson, III, L. B. 2018, ApJ, 853, 142 [NASA ADS] [CrossRef] [Google Scholar]
- Luna, H., de Barros, A. L. F., Wyer, J. A., et al. 2007, Phys. Rev. A, 75, 042711 [NASA ADS] [CrossRef] [Google Scholar]
- Mada, S., Hida, K.-N., Kimura, M., et al. 2007, Phys. Rev. A, 75, 022706 [NASA ADS] [CrossRef] [Google Scholar]
- Mahadevan, P., & Magnuson, G. D. 1968, Phys. Rev., 171, 103 [NASA ADS] [CrossRef] [Google Scholar]
- McClure, G. W. 1963, Phys. Rev., 132, 1636 [NASA ADS] [CrossRef] [Google Scholar]
- McNeal, R. J., & Birely, J. H. 1973, Rev. Geophys. Space Phys., 11, 633 [NASA ADS] [CrossRef] [Google Scholar]
- Meyer-Vernet, N. 2012, Basics of the Solar Wind (Cambridge: Cambridge University Press) [Google Scholar]
- Mullen, P. D., Cumbee, R. S., Lyons, D., et al. 2017, ApJ, 844, 7 [NASA ADS] [CrossRef] [Google Scholar]
- Nikjoo, H., Uehara, S., & Emfietzoglou, D. 2012, Interaction of Radiation with Matter (Boca Raton: CRC Press) [Google Scholar]
- Nilsson, H., Stenberg Wieser, G., Behar, E., et al. 2015, Science, 347, 571 [Google Scholar]
- Novikov, N. V., & Teplova, Y. A. 2009, J. Phys. Conf. Ser., 194, 082032 [CrossRef] [Google Scholar]
- Phelps, A. V. 1990, J. Phys. Chem. Ref. Data, 19, 653 [NASA ADS] [CrossRef] [Google Scholar]
- Risley, J. S., & Geballe, R. 1974, Phys. Rev. A, 9, 2485 [NASA ADS] [CrossRef] [Google Scholar]
- Rose, P. H., Connor, R. J., & Bastide, R. P. 1958, Bull. Am. Phys. Soc., 11, 3 [Google Scholar]
- Rudd, M. E., Goffe, T. V., & Itoh, A. 1985a, Phys. Rev. A, 32, 2128 [NASA ADS] [CrossRef] [Google Scholar]
- Rudd, M. E., Itoh, A., & Goffe, T. V. 1985b, Phys. Rev. A, 32, 2499 [NASA ADS] [CrossRef] [PubMed] [Google Scholar]
- Rudd, M. E., Goffe, T. V., Itoh, A., & Dubois, R. D. 1985c, Phys. Rev. A, 32, 829 [NASA ADS] [CrossRef] [Google Scholar]
- Rudd, M. E., Goffe, T. V., DuBois, R. D., & Toburen, L. H. 1985d, Phys. Rev. A, 31, 492 [NASA ADS] [CrossRef] [PubMed] [Google Scholar]
- Rudd, M. E., Kim, Y.-K., Madison, D. H., & Gallagher, J. W. 1985e, Rev. Mod. Phys., 57, 965 [NASA ADS] [CrossRef] [Google Scholar]
- Salazar-Zepeda, M.-H., Gleason, C., González, E., González-Magaña, O., & Hinojosa, G. 2010, Nucl. Instr. Meth. Phys. Res. B, 268, 1558 [NASA ADS] [CrossRef] [Google Scholar]
- Sataka, M., Yagishita, A., & Nakai. 1990, J. Phys. B At. Mol. Phys., 23, 1225 [NASA ADS] [CrossRef] [Google Scholar]
- Schryber, U. 1967, Helv. Phys. Acta, 40, 1023 [Google Scholar]
- Schwadron, N. A., & Cravens, T. E. 2000, ApJ, 544, 558 [NASA ADS] [CrossRef] [Google Scholar]
- Seredyuk, B., McCullough, R. W., Tawara, H., et al. 2005, Phys. Rev. A, 71, 022705 [NASA ADS] [CrossRef] [Google Scholar]
- Simon Wedlund, C., Kallio, E., Alho, M., et al. 2016, A&A, 587, A154 [NASA ADS] [CrossRef] [EDP Sciences] [Google Scholar]
- Simon Wedlund, C., Alho, M., Gronoff, G., et al. 2017, A&A, 604, A73 [NASA ADS] [CrossRef] [EDP Sciences] [Google Scholar]
- Simon Wedlund, C., Behar, E., Kallio, E., et al. 2019a, A&A, 630, A36 (Rosetta 2 SI) [NASA ADS] [CrossRef] [EDP Sciences] [Google Scholar]
- Simon Wedlund, C., Behar, E., Nilsson, H., et al. 2019b, A&A, 630, A37 (Rosetta 2 SI) [NASA ADS] [CrossRef] [EDP Sciences] [Google Scholar]
- Slavin, J. A., & Holzer, R. E. 1981, J. Geophys. Res., 86, 11401 [NASA ADS] [CrossRef] [Google Scholar]
- Thwaites, D. I. 1983, Radiat. Res., 95, 495 [NASA ADS] [CrossRef] [Google Scholar]
- Toburen, L. H., & Nakai, M. Y. 1969, Phys. Rev., 177, 191 [NASA ADS] [CrossRef] [Google Scholar]
- Toburen, L. H., & Wilson, W. E. 1977, J. Chem. Phys., 66, 5202 [NASA ADS] [CrossRef] [Google Scholar]
- Toburen, L. H., Nakai, M. Y., & Langley, R. A. 1968, Phys. Rev., 171, 114 [NASA ADS] [CrossRef] [Google Scholar]
- Toburen, L. H., Wilson, W. E., & Popowich, R. J. 1980, Radiat. Res., 82, 27 [NASA ADS] [CrossRef] [Google Scholar]
- Tolstikhina, I., Imai, M., Winckler, N., & Shevelko, V. 2018, Basic Atomic Interactions of Accelerated Heavy Ions in Matter (New York: Springer International Publishing) [CrossRef] [Google Scholar]
- Uehara, S., & Nikjoo, H. 2002, J. Phys. Chem. B, 106, 11051 [CrossRef] [Google Scholar]
- Uehara, S., Toburen, L. H., Wilson, W. E., Goodhead, D. T., & Nikjoo, H. 2000, Radiat. Phys. Chem., 59, 1 [NASA ADS] [CrossRef] [Google Scholar]
- Van Zyl, B., & Stephen, T. M. 2014, J. Geophys. Res. Space Physics, 119, 6925 [NASA ADS] [CrossRef] [Google Scholar]
- Vech, D., Szego, K., Opitz, A., et al. 2015, J. Geophys. Res., 120, 4613 [NASA ADS] [CrossRef] [Google Scholar]
- Wegmann, R., & Dennerl, K. 2005, A&A, 430, L33 [NASA ADS] [CrossRef] [EDP Sciences] [Google Scholar]
- Werner, U., Beckord, K., Becker, J., & Lutz, H. O. 1995, Phys. Rev. Lett., 74, 1962 [NASA ADS] [CrossRef] [PubMed] [Google Scholar]
- Williams, J. F. 1966, Phys. Rev., 150, 7 [NASA ADS] [CrossRef] [Google Scholar]
- Williams, I. D., Geddes, J., & Gilbody, H. B. 1984, J. Phys. B At. Mol. Phys., 17, 1547 [NASA ADS] [CrossRef] [Google Scholar]
- Wittkower, A. B., & Betz, H. D. 1971, J. Phys. B At. Mol. Phys., 4, 1173 [NASA ADS] [CrossRef] [Google Scholar]
All Tables
Recommended charge-changing cross section polynomial fits for (He2+, He+, and He0) projectiles colliding with H2O vapor.
Recommended charge-changing cross-section polynomial fits for (H+, H0, H−) projectiles colliding with H2O vapor.
Recommended ionization cross-section polynomial fits for (He2+, He+, He0) projectiles colliding with H2O vapor.
Recommended ionization cross-section polynomial fits for (H+, H0) projectiles colliding with H2O vapor.
Recommended charge-changing cross sections for (He2+, He+, and He0) projectiles colliding with H2O vapor between 100 and 5000 km s−1 of impact speed.
Recommended charge-changing cross sections for (H+, H0, H−) projectiles colliding with H2O vapor between 100 and 5000 km s−1 of impact speed.
Recommended total ionization cross sections for the (He2+, He+, He0) and (H+, H) systems in a H2O gas between 100 and 5000 km s−1 of impact speed.
Bivariate (T, v) polynomial fits for Maxwellian-averaged charge-changing and ionization cross sections for (He2+, He+, and He0) projectiles colliding with H2O vapor.
Bivariate (T, v) polynomial fits for Maxwellian-averaged charge-changing and ionization cross sections for (H+, H0, and H−) projectiles colliding with H2O vapor.
All Figures
![]() |
Fig. 1 Charge-changing reactions for helium and hydrogen in a gas. One-electron capture processes are depicted with a solid line, one-electron loss processes with a dotted line, and double charge-changing reactions with a dashed line. Cross sections σij from initial charged state i to final charged state j are indicated. |
| In the text | |
![]() |
Fig. 2 Experimental charge-changing cross sections for fast helium atoms and ions in a water gas as a function of impact speed. “AR” refers to the “additive rule”: when no experimental results for H2O are available, results for H2 and O2 are combined to give an estimate (see text for details); experimental uncertainties for these estimates are at least 25%. Recommended polynomial fits in thick continuous or dashed lines are also shown, whose coefficients are listed in Table 1. Smooth extrapolations at low and high energies are indicated as thin dotted lines. |
| In the text | |
![]() |
Fig. 3 Experimental charge-changing cross sections for fast hydrogen atoms and ions in a water gas as a function of impact speed. “AR” refers to the “additive rule”: when no experimental results for H2O are available, results for H2 and O2 are combined to give an estimate (see text for details); experimental uncertainties for these estimates are at least 25%. Polynomial fits in thick continuous or dashed lines are also shown, whose coefficients are listed in Table 2. Smooth extrapolations at low and high energies are indicated as thin dotted lines. |
| In the text | |
![]() |
Fig. 4 Experimental ionization cross sections for fast helium atoms and ions in a water gas as a function of impact speed. “AR” refers to the additive rule: when no experimental results for H2O are available, results for H2 and O2 are combined to give an estimate (see text for details); experimental uncertainties for these estimates are at least 25%. As no experimental data are available for He0, the composite recommendation of Uehara & Nikjoo (2002) was chosen (see text). Polynomial fits in thick continuous and dashed lines are also shown, and the coefficients are listed in Table 3. Smooth extrapolations in power laws at low and high energies are indicated as thin dotted lines. |
| In the text | |
![]() |
Fig. 5 Experimental ionization cross sections for fast hydrogen atoms and protons in a water gas as a function of impact speed. “AR” refers to the additive rule: when no experimental results for H2O are available, results for H2 and O2 are combined to give an estimate (see text for details); experimental uncertainties for these estimates are at least 25%. No measurement for the ionization of H2O by H− is available. Polynomial fits in thick lines are also shown, and the coefficients are listed in Table 4. Smooth extrapolations in power laws at low and high energies are indicated as thin dotted lines. |
| In the text | |
![]() |
Fig. 6 (A) Maxwellian-averaged cross section for single-electron capture by He2+ (left) and H+ (right) in H2O. (B) Multiplication factor for the reference non-averaged cross sections. Four solar wind temperatures were used: T = 0.1, 1.6, 10, and 40 MK, corresponding to varying thermal velocities. |
| In the text | |
![]() |
Fig. 7 (A) Maxwellian-averaged cross section σMACS for total ionization of H2O by impacting He2+ (left) and H+ (right). (B) Multiplication factor γ for the reference non-averaged cross sections, i.e., γ = σMACS∕σ, for He2+ (left) and H+ (right). Foursolar wind temperatures were used: T = 0.1, 1.6, 10, and 40 MK, corresponding to varying thermal velocities. |
| In the text | |
![]() |
Fig. 8 Maxwellian-averaged cross sections in the (T, v) plane for one-electron capture He2+−H2O (left) and H+−H2O (right). Calculated MACS contours are plotted as gray solid lines, and the corresponding fits are shown as black dotted lines. |
| In the text | |
![]() |
Fig. 9 Recommended monochromatic charge-changing and ionization cross sections for (He2+, He+, He) and (H+, H, H−) in H2O as a function of impact speed. |
| In the text | |
Current usage metrics show cumulative count of Article Views (full-text article views including HTML views, PDF and ePub downloads, according to the available data) and Abstracts Views on Vision4Press platform.
Data correspond to usage on the plateform after 2015. The current usage metrics is available 48-96 hours after online publication and is updated daily on week days.
Initial download of the metrics may take a while.








