Open Access
Erratum
This article is an erratum for:
[https://doi.org/10.1051/0004-6361/201322042]


Issue
A&A
Volume 632, December 2019
Article Number C2
Number of page(s) 1
Section Interstellar and circumstellar matter
DOI https://doi.org/10.1051/0004-6361/201322042e
Published online 11 December 2019

The original article contains three typos, which are corrected below.

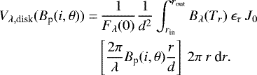
Section 4.2: a factor 1d2Mathematical equation: $\frac{1}{d^2}$ is missing in the expression (2) of the visibility. The correct expression for the visibility to consider is: Vλ,disk(Bp(i,θ))=1Fλ(0)1d2rinroutBλ (Tr)ϵτJ0[ 2πλBp(i,θ)rd ]2πrdr. Mathematical equation: \begin{align*} V_{\lambda, \textrm{disk}\rm}(B_{\textrm{p}}(i,\theta))=&\,\frac{1}{F_{\lambda}(0)}\frac{1}{d^2}\int_{r_{\textrm{in}}}^{r_{\textrm{out}}}B_{\lambda}(T_r)\:\epsilon_{\tau}\:J_0\nonumber\\ &\left[\frac{2\pi}{\lambda}B_{\textrm{p}}(i,\theta)\frac{r}{d}\right]\:2\pi\:r\:\textrm{d}r. \end{align*}(2)

Section 4.2.1: a modulus symbol is missing at the numerator of the expression (6) of the visibility. The correct expression for the visibility to consider is: Vtot,1=| F*(λ)+Fλ,disk(i)Vλ,disk(Bp(i,θ)) |F*(λ)+Fλ,disk(i).Mathematical equation: \begin{align*} V_{\textrm{tot,1}}=\frac{\left|F_*(\lambda)+F_{\lambda, \textrm{disk}}(i)\: V_{\lambda, \textrm{disk}}(B_{\textrm{p}}(i,\theta))\right|}{F_*(\lambda)+F_{\lambda, \textrm{disk}}(i)}. \end{align*}(6)

Section 4.2.2: a modulus symbol is missing at the numerator of the expression (11) of the visibility. The correct expression for the visibility to consider is: Vtot,2=| F*(λ)+Fλ,diskh(i)Vλ,diskh(Bp(i,θ))+Fλ,disk(i)Vλ,disk(Bp(i,θ)) |F*(λ)+Fλ,diskh(i)+Fλ,disk(i).Mathematical equation: \begin{align*} & V_{\textrm{tot,2}}=\nonumber\\[3pt] &\ \frac{\left|F_*(\lambda)+F_{\lambda, \textrm{disk}_{\textrm{h}}}(i)\: V_{\lambda, \textrm{disk}_{\textrm{h}}}(B_{\textrm{p}}(i,\theta))+F_{\lambda, \textrm{disk}}(i)\: V_{\lambda, \textrm{disk}}(B_{\textrm{p}}(i,\theta))\right|}{F_*(\lambda)+F_{\lambda, \textrm{disk}_{\textrm{h}}}(i)+F_{\lambda, \textrm{disk}}(i)}. \end{align*}(11)

All the visibility calculations presented in the original article were based on the correct expressions above.


© A. Matter et al. 2019

Licence Creative CommonsOpen Access article, published by EDP Sciences, under the terms of the Creative Commons Attribution License (http://creativecommons.org/licenses/by/4.0), which permits unrestricted use, distribution, and reproduction in any medium, provided the original work is properly cited.

Current usage metrics show cumulative count of Article Views (full-text article views including HTML views, PDF and ePub downloads, according to the available data) and Abstracts Views on Vision4Press platform.

Data correspond to usage on the plateform after 2015. The current usage metrics is available 48-96 hours after online publication and is updated daily on week days.

Initial download of the metrics may take a while.