| Issue |
A&A
Volume 633, January 2020
|
|
|---|---|---|
| Article Number | A18 | |
| Number of page(s) | 12 | |
| Section | Planets and planetary systems | |
| DOI | https://doi.org/10.1051/0004-6361/201936529 | |
| Published online | 03 January 2020 | |
Fourier series for eclipses on exoplanet binaries
Delft Institute of Applied Mathematics, Technical University Delft,
Van Mourik Broekmanweg 6,
2628 XE
Delft,
The Netherlands
e-mail: This email address is being protected from spambots. You need JavaScript enabled to view it.
Received:
20
August
2019
Accepted:
15
November
2019
Abstract
Context. A double planet system or planet binary undergoes eclipses that modify the reflective light curve. In the time domain, the eclipse events are fast and weak. This would make their signal difficult to find and recognize in the phase light curve, even for small inclinations when eclipses happen frequently. However, due to the quasiperiodic nature of the phenomenon, the Fourier transform of the direct reflection signal consists of a double sum of sharp peaks. These peaks can be resolved for large close binaries and sufficiently long observation times with a star coronagraph.
Aims. Eclipses modulate the phase curve, having an orbital period 2π∕ω, with a contribution from the relative motion in the binary plane of a period 2π∕Ω. This leads to a spectral structure with basis frequencies ω and Ω. We aim to characterize these spectra.
Methods. We studied the regime of short eclipses that occur when the planet radii are small compared to the planet separation. We derived formulas for the peak amplitudes applicable to homogeneous (Lambertian) planet binaries in circular orbit with small inclination.
Results. The effects of an eclipse and of double reflection appear as first- and second-order contributions (in planet radius over separation) in the reflection signal, respectively. Small peaks appear as observable side bands in the spectrum. Identical structures around mΩ are characteristic of short-duration eclipses. Deceasing side bands could indicate double reflection between companions.
Conclusions. Fourier analysis of the light curve of non-transiting planets can be used to find planets and their moons. Difficulties in interpreting the structures arise for small planet separation and when there are several moons in mean-motion resonance.
Key words: Moon / eclipses / planets and satellites: detection / methods: analytical / techniques: interferometric / techniques: photometric
© ESO 2019
1 Introduction
The discovery of extensive multi-planet systems around other stars (Lovis et al. 2011; Gillon et al. 2017; Shallue & Vanderburg 2018) shows that the Solar System is not unique. Therefore, we may expect exoplanets to also have their own satellites, like the Solar-System planets; Mercury and Venus being exceptions (Namouni 2010; Ogihara & Ida 2012; Barr 2016). Simulations show that in three-planet systems, two planets often cross orbit and then bond via tidal dissipation, forming a pair called a planet binary (Ochiai et al. 2014; Lewis et al. 2015). Knowledge of planet binaries and moons is important for our understanding of the origins and formation of planetary systems. A large moon can determine the stability of the planet’s spin, generate strong (ocean) tides, and lock its companion into a spin-orbital resonance. These effects in turn influence (geo)physical processes in the crust, oceans, and atmosphere of the planet companion.
Direct imaging of exoplanets is beginning to come within reach with a new generation of ground-based telescopes, that is, the Thirty Meter Telescope and the Extremely Large Telescope, and two dedicated space telescopes, the James Webb Space Telescope and the Wide Field Infrared Survey Telescope, which have star-occulting coronagraphs with an angular resolution of below 10−1 au ly−1 and contrast of 10−6 (Boccaletti et al. 2004; Krist et al. 2007; Douglas et al. 2018). However, the spatial resolution of an exomoon or exoplanet binary requires an angular resolution of much less than a milliarcsecond. This will not be possible in the foreseeable future, not even for the nearest stars. Therefore, astronomers will have to rely on a single time-dependent light signal, which is the sum of the light from the parent star, the infrared emission, and the total reflected light from all planets and their moons. Because the phases of the two companions (in orbit around their parent) are the same, their contributions to the modulated radial velocity of the star are equal, as are the contributions to the phase light curve. This makes their individual contribution to the signal indistinguishable. However, there do exist several effects that may reveal the presence of an exomoon: (i) the photocenter wobble, (ii) the Rossiter-MacLaurin effect during a transit, and (iii) the transit timing variation or transit timing duration, which can be detected using the methods of Kipping (2011) and Heller et al. (2016). Cabrera & Schneider (2007a,b) proposed the use of (iv) the planetary and lunar transits that occur when the two binary companions become precisely aligned with the observer, and (v) the eclipses that occur for alignments between the planets and the star.
During an eclipse, the shadow from the planet or moon temporarily reduces the reflection signal of the companion. This leads to a small reduction in the already weak phase light curve for the short duration of the event. Although small, the eclipses are actually the dominant effect from a moon in the reflective phase light curve. The close binary Jupiters found in the simulations by Ochiai et al. (2014) have separations of between four and eight times their radii. In such a system, the shadows would be large and eclipses would happen frequently.
2 Fourier series
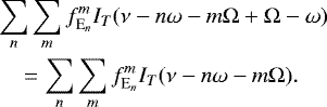
In all generality, the light signal at a time t from an exoplanet binary is a function of the geometric configuration at that time t. There are two phase angles involved: the orbital phase (mean anomaly) ϑ of the motion of the barycenter and the lunar phase φ of the relative motion between the two companions (see Fig. 1 and Table 1). Therefore, we may write the ideal reflection signal from a planet binary as

We denote with ω, Ω the mean motions: these are the angular frequencies of the respective barycenter motion and the relative motion. The sidereal month is then equal to 2π∕Ω and the synodic month is 2π∕(Ω − ω). Because the phase angles are periodic variables, f is a double periodic function when considered as a function of ϑ and φ, with periods of 2π. Substitution gives a quasiperiodic function of time, with the multi-Fourier series:
(1)
If the planets are inhomogeneous, the signal can also contain the diurnal period. In fact, the three-body system may have up to 15 basis frequencies, but these include the star’s spin as well as very slow precessions. Figure 2 shows an example of a phase curve with the two periods of an exoplanet binary.
The planets are illuminated by light from the host star that may have a variable intensity I(t). On orbital timescales the noise is caused by star spots and solar-type cycles. Therefore, the observed signal is the product F(t) = f(t)I(t) of the ideal quasiperiodic function from Eq. (1) with the intensity of the star. The Fourier transform (truncated to observation duration T) of a measured reflection signal from the two planets has the form
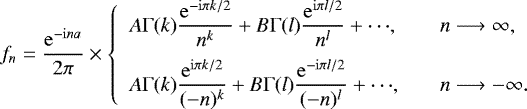
(2)
It has distinct peaks, as shown in Fig. 3. One sees from this expression that every coefficient in Eq. (1) is the amplitude of a peak in Eq. (2). The peak shape IT (ν) is the Fourier transform of the intensity spectrum of the source I(t). The peak height is I0T1∕2, if we call I0 the average of I(t). Expression (2) also shows that noise from the star spills over to the neighboring peaks in the spectrum: stellar noise around ω or Ω reduces the visibility of the peaks. Hence, the noise level in the power spectrum of the star at the orbital frequencies determines the visibility of the peaks.
Without coronagraph one receives the nett signal I(t) + F(t) and the spectrum is IT(ν) + FT(ν). The coefficients
that arise from an exoplanet are of the order of N1∕2s2∕R2 (s and R are the planet and orbital radii, N is the number of observed orbits) and their contribution must exceed the stellar noise in order to be visible. The famous light curves from the hot Jupiters found by Borucki et al. (2009) and Snellen et al. (2009) show that it is possible to observe phase curves without an occultor. Without the transit dip, these stars might have been discarded, while a Fourier transform would have shown huge peaks from the phase variation alone. One would however still need a close-in binary with a short inter-planet distance to detect the effect of an actual eclipse. Blocking the direct starlight with a coronagraph allows measurement of
and eases this severe restriction for the other peaks to the condition
as was shown in Visser & van de Bult (2015). In Table 2 we give estimates of the order of magnitude of the principal peak
. The calculation of the (intensity) spectrum FT(ν) for a N-fold orbit phase light curve allows (i) separation of individual planet contributions in a multi-planet system (Kane & Gelino 2013), (ii) removal of stellar noise, and (iii) amplification of the signal by N1∕2. Project Blue (Belikov et al. 2015; Morse et al. 2018) proposes to make a long and continuous observation of the Alpha-Centauri system with an occultor, obtaining a signal that would be ideal for Fourier analysis.
![]() |
Fig. 1 Geometry: the central star (yellow) is at the origin of the ijk-frame. Vector R points to the binary barycenter, and the vector r points from the planet to the moon (orange day sides). The orbital plane of the binary barycenter has normal k. The lunar plane has normal |
Parameters used in modeling.
![]() |
Fig. 2 Typical light curve in the time domain for a planet binary, as observed edge on. The system has zero inclination and the planet radii have ratio s1 ∕s2 = 2. The bottom horizontal axis shows two annual periods, the top horizontal axis shows the lunar periods. Orange: signal from the planet, light blue: signal from the moon, blue: nett signal. The frequencies have ratio Ω∕ω = 254∕19, as for Earth’s approximate Metonic cycle, so that the overall periodicity is actually 19 orbits. |
![]() |
Fig. 3 Left: light curve from Fig. 2 for one halve orbit. Right: corresponding signal in the Fourier domain. The bottom horizontal axis are in steps of the (fast) lunar frequency. The top horizontal scale are in steps of the (slow) orbital frequency. The side structures that appear due to the eclipses are centered around multiples of Ω − ω. They are nearly identical copies of each other. Since the eclipse magnitudes of the two types are comparable (and the albedos are equal), the structures at odd m have almost disappeared. Noise would wash out the dips in the time domain and broaden these ideal Fourier peaks. |
3 Peak pattern in the spectrum of binary eclipses
We decompose the reflective light curve of a double planet as:
(3)
where D, E, and S indicate the components for direct reflection, eclipses, and secondary reflections. The D term sums two individual planet contributions, where light is reflected off either planet directly towards the observer. It is the pure phase curve with the period 2π∕ω of the orbit. The E term describes eclipses. This term is negative: it subtracts the contributions of rays that are blocked by the companion. The third S term accounts for rays that are first scattered off one planet in the direction of the companion and are then scattered a second time into the observer direction. The measured Fourier spectrum (Eq. (2)) has a corresponding decomposition with coefficients of the form

Here, the Kronecker-delta is introduced to cancel the frequencies mΩ in the direct component, since these do not occur.
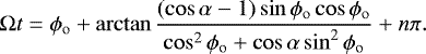
We assume the orbits of the barycenter and of the relative motion are circular. The longitude angles of the two motions (the true anomalies) are therefore equal to the orbital phases (the mean anomalies). Now we consider eclipses. The planet (number 1) is between the central star and the moon (planet number 2) for Ωt = ωt + 2πk, while the moon is between the star and the planet for Ωt = ωt + 2πk + π (here k is an integer), see Fig. 4. We denote the times for these events with
(4)
We consider first the case that the planet is very dark and that the moon is very bright; the albedos are a1 = 0 and a2 = 1, so in this case only the lunar eclipses at t = tk are observable. In the summary at the end of this paper, we put the albedo factors back in the equations. The separation between two (possible) successive eclipse events is the synodic month: tk+1 − tk = 2π∕(Ω − ω). The distance r between planet and moon will generally be large compared to the radii, s1 and s2. Because the velocity at which the shadow moves over a surface is equal to v = |Ω − ω|r, the duration of an eclipse is less than or equal to (2s1 + 2s2)∕v. Figure 2 shows that the eclipses are of comparatively short duration.
We now approximate the contribution from eclipses to the light curve as a sum of delta functions. In terms of the phase variables wewrite
(5)
As function of time, using Eq. (4) this becomes
(6)
The function g can be interpreted as the time integral of an eclipse occurring around phase ϑ = ωt. It is also periodic in ϑ. The approximation ignores the details of the peaks in the time domain.
It follows from Fourier theory that the continuous Fourier transform of the sum of equally spaced delta peaks (Eq. (6)) in the time-domain is a periodic function in the frequency domain, with periodicity Ω − ω. Hence, we have the identity

For the frequency behavior to be periodic in ν by Ω − ω, the coefficients must be related by
. However, this implies
. The overall Fourier transform (Eq. (2)) of a detected signal, neglecting double reflections for the moment, is therefore

and is characterized by the two sets of coefficients
,
. The effect of reflection between companions is discussed in Sect. 7.
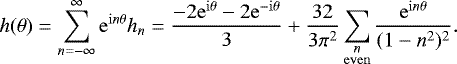
Figure 3 shows a spectrum of an eclipsing binary with two eclipses every month: one lunar and one planetary eclipse. The peaks at the frequencies nω that correspond to the annual motion are found near the origin. These peaks have values
,
,
, and
, and so on. They arise predominantly from direct reflection and have almost the same values as the spectrum of one planet. The structures around ν = mΩ for m≠ 0 are due to eclipses. They have peak amplitudes like
,
,
, and
. One has to compare these with the first side structure around ν = Ω. For a dark planet and a bright moon (or for a dark moon and a bright planet), the side bands at m = 1 and m = 2 are copies of one another, because the peak values are related by
,
,
, and so on. If both companions are bright there is destructive interference at the odd values for m. Because of the doubling of eclipses, the structure in the Fourier transform repeats after 2Ω − 2ω. This is the case in Fig. 3, where the even and odd side bands are comparable. This pattern of identical copies is repeated as long as |m|≪ r∕s1. The motion of a moon and planet around each other thus gives rise to side bands in the spectrum at the frequency Ω, with a smaller structure of peaks separated by the ω of the annual motion. The peak
at Ω − ω is the average of the (integrated) eclipse dips and should be negative (for a suitable choice of phase) and is the largest peak in the first side band. Retrograde relative motion has a negative Ω.
The short duration of the eclipse events results in frequency side bands that are approximately identical. An alternative derivation of this elementary result is the following. The Fourier coefficients of Eq. (1) can be expressed as the double integral:
(7)
We consider short eclipse duration. Consequently, the integrand in Eq. (7) from the eclipse contribution fE is only nonzero for times t near Eq. (4). This implies that the phase difference ϑ − φ is near an integer multiple of 2π; see Eq. (5). We may therefore replace the exponent e−inϑ−imφ in the integrand with e−inϑ−imϑ, so that a good approximation is obtained:

By integrating Eq. (5) over one period of the independent variable φ, one obtains the ϑ-periodic function g(ϑ):

which has Fourier coefficients gn. After using these results again in the combination of Eqs. (5) with (7), one obtains
(8)
The identical side-band structures in the spectrum are given by the coefficients of the periodic function g describing the time-integrated dips due to eclipses as a function of orbital phase, multiplied by the number of eclipses per unit time.
Estimates for orders of magnitude of Fourier-peak strengths.
4 Numerical and observational implementation
In this paper we implicitly assume that Ω and ω do not have a simple ratio, so that f is quasiperiodic. However, if the ratio of the frequencies is simple, that is, Ω∕ω = h∕k with h, k small coprime integers, the light curve is purely periodic, with an overall period 2πk∕ω. This situation would correspond to a peculiar type of orbital resonance. Due to the fact that now nω + mΩ = (nk + mh)ω∕k, many pairs n, m correspond to the same frequency, each contributing to the same spectral peak. It is no longer possible to find the individual coefficients
from the Fourier-transformed light curve.
We are interested in the case where Ω∕ω is not a simple ratio. However, in order to numerically simulate the system, we have to choose a smallest time-step dt and a total integration time T. Because we want our theoretical Fourier peaks to be sharp, we require an overall periodicity. The most accurate approach is to use two coprime multiples of dt for the two periods. This also allows the eclipse maxima tk,
and the maxima for the orbital phase to occur at exact data points. The fast Fourier transform cannot be used, since our domain size is not a power of two.
The Babylonians and ancient greek astronomers also wanted to approximate the ratio of the duration of a year to that of a month on Earth and they used Ω∕ω = 1 + 235∕19. The overall period of 19 yR is called the Metonic cycle; see Pannekoek (1947). In the numerical calculations for all figures in this paper, we also used this ratio. Obviously quasiperiodic motion is better approximated as the numbers h, k become larger.
For analysis of observational data we encounter the same problem because there is also a smallest observational time resolution dt and a total observation duration T. If ω is known in advance, it may help to consider an integral number of orbits, but the peaks mΩ will be displaced due to the random cutoff, roughly by ωN−1∕2. On the other hand, it could be that the relevant frequencies only appear after the Fourier transform has been made. In that situation, comparing FT with IT seems best.
For planets very close to an M-type star, it may be possible to obtain an uninterrupted signal for several orbits. Fourier peaks may be found even without spatially isolating the planets (as individual points) from the star. For planets near a bright G-type star, the direct light must be blocked with a coronagraph (Cash 2006; Mawet et al. 2010). When continuous observations are not available due to the length of the period, several short-duration observations along the orbit may be sufficient. For example, one could make four separate observations during intervals of equal length ΔT, along points that are 90° apart in orbital phase. If ΔT is several lunar periods but still small compared to the annual period, that is,
, an approximation for the peaks in Eq. (2) is

One could neglect
and higher n because these coefficients are small and decay fast with n. This method is analogous to combining several telescopes in astronomical interferometry. Now, peak height of the side bands scales as ΩΔT, not as Ω∕ω.
![]() |
Fig. 4 Top view of the system. For a lunar eclipse, the moon is in the shadow of the planet, and the orbital phases must be equal: ϑ = φ modulo 2π. For a planetary eclipse, with the planet in the shadow of the moon, the orbital phases are opposite: ϑ = φ + π modulo 2π. |
5 Eclipses in the time domain
5.1 Description of planet binary
Let the positions of the planet and its moon be the vectors R1 and R2 and let R be the coordinate vector from the star to the barycenter of the binary. The difference vector r = R2 −R1 is the relative coordinate (pointing from the larger planet to the smaller moon). The position vectors are given by
(9)
The ascending node is in direction i if the lunar plane is inclined with respect to the orbital plane. See Fig. 1 for the geometry. For the orbits to be stable, the planet separation distance r must be smaller than R. We assume that the bodies are spheres, with radii s1, s2 that are small compared to r, and that the stellar radius S is small compared to the distance R between the star and the barycenter of the binary. We thus consider the regime where
(10)
As L is the distance of the system to Earth, the system could be spatially resolved from the star for inner working angles below R∕L. One requires an unfeasible angular resolution below r∕L for separation of the planet and moon.
Now, when one planet moves between the star and its companion, an eclipse does occur when the shadow of the planet falls onto the companion. One instant of a lunar eclipse is found at t = 0, because at that moment R = Ri and r = ri and therefore ϑ = φ = 0. The eclipse is then at maximum, with the moon completely in the shadow of the planet.
Because S ≪ R, light rays are almost parallel when they hit the surface of the planet. In that case, the distance between the moon center and the axis of the shadow cylinder is
. We introduce the displacement l = lk as the minimal value of this distance. This is simply the minimal distance between the disk centers when the planets are projected on the plane normal to
, that is, from the viewpoint of the star. In general,
is minimal for

The minima indeed occur at the times given by Eq. (4). We refer to an eclipse as complete if the moon gets inside the shadow cylinder of the larger planet or if the planet fully intercepts the shadow cylinder of the moon. From the viewpoint of the central star, the disks of the two bodies overlap each other. In the parallel-ray approximation, the complete eclipses arise for
(11)
We refer to an eclipse as partial when the shadow cylinder of one planet just intersects the other planet. The condition is
(12)
There is no eclipse at tk if s1+ s2 < lk. Our distinction between complete and partial eclipse is the same as for lunar eclipses on Earth. However, in our approximation S ≪ R, on the surface, the penumbra is negligible compared to the umbra (Link 1969). Of course, the distinction between total and partial solar eclipse on Earth usually refers to different observer locations.
Exoplanet eclipses must occur frequently in order that they may be recognized. Therefore, inclination of the lunarplane with respect to the barycenter plane must be sufficiently small. We assume 0 ≤ α ≪ 1 and approximate the unit basis vectors in Eq. (9) by

The displacement for eclipse at time tk is now
(13)
The eclipses can occur frequently, but not necessarily every month. We consider three cases: (i) complete eclipses occur every month when lk is always less than the difference in the planet radii. Because ± lk oscillates between − αr and αr, this is the case where αr < s1 − s2. The Galilean satellites Io, Europa, and Ganymede fall in this case. (ii) Eclipses occur every month but are sometimes partial in cases where s1 − s2 < αr < s1 + s2. (iii) Eclipses do not always occur for s1 + s2 < αr, like for Jupiter-Callisto and the Saturn-Titan, Pluto-Charon, and Earth-Moon systems.
![]() |
Fig. 5 Eclipse magnitude ϒ, defined in Eq. (14), vs. displacement l of the shadow trace, for radii s1 = 2s2 (left) and s1 = 3s2 (right). The visuals show the viewpoint from the star: the eclipses (both types) trace out a nearly horizontal band. Blue and red: ϒ and |
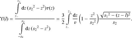
5.2 Eclipse duration and eclipse magnitude
As an eclipse happens on the moon (or the planet), the shadow of one body crosses the surface of its companion. It will be convenient to parametrize the surface vector s in cylindrical coordinates θ, z, as:

The surface element in cylindrical coordinates is d2A = sdθdz. From the viewpoint of the star, this shadow is a disk of radius s1 (or s2). The planet shadow traces out a nearly horizontal band along the surface; see insets in Fig. 5. This band for z is the intersection [z−, z+] = [−s2, s2] ∩ [l − s1, l + s1], or

The global eclipse duration, which is the time between first contact (of the shadow cylinders) and last contact, is equal to

The local duration of the eclipse for one fixed point on the moon (in a nonrotating frame) is the cord length at z divided by the shadow velocity:

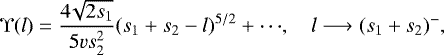
The following definition of a “magnitude”, as an average of the eclipse duration as a function of the displacement l, will prove useful:
(14)
The corresponding eclipse magnitude
is of the same form as Eq. (14) but with s1 and s2 interchanged. Graphs of ϒ and
are plotted in Fig. 5. Although the areas of intersection of the projected disks for the two types are equal, the magnitude of the lunar eclipse is only slightly different from the magnitude of the planetary eclipse.
5.3 General phase light curve
We now derive the standard phase light curve and the correction due to eclipses. The light output from the star that is directly intercepted by our telescope (without occultor) is equal to the solid angle fraction of the total luminosity
. Each element
of planet surface (with unit albedo) that intercepts starlight reflects the following luminosity into our telescope:
(15)
Here we use Lambert’s cosine law for reflection. The second factor for the reflected ray is properly normalized, because

The reflection signal is obtained by integrating Eq. (15). The light flux from the planet and from the star are both proportional to the small solid angle
. Because we consider the relative signal, we factor out
. The ideal phase light curve from a Lambertian moon orbiting a dark planet is found to be

The respective integration domains are

For the direct signal, fD, one must integrate over the spherical lune ☽ defined as the intersection of the illumination with the visibility. The (negative) surface integral for the eclipses, fE, is over the shadow region ⊙ cast by the planet onto the moon. The first condition in ⊙ states that the vector r points away from the star: the planet is nearest to the star. The second condition states that the distance between the point on the surface of the moon to the axis R is less than s1. These are the points in the shadow (cylinder) of the planet.
![]() |
Fig. 6 Numerical results for the simplest case: face-on observation of a binary with zero inclination. Shown are the signal and the Fourier transform (left and right, respectively) for s1 ∕s2 = 2 with axes as in Fig. 3. The signal has the lunar periodicity only. In contrast to the edge-on signal, the peak magnitudes for the planet and lunar eclipse differ if s1 ≠ s2, meaning that the peaks at odd m are not smallas compared to even m. |
5.4 Face-on observation
Let us start with the special case of face-on observation. For
, there are no observable phases, as the lune is permanently a quarter sphere. However, when the shadow falls on the northern hemisphere, the eclipses are visible. For the calculation of Eqs. (16) and (17) we require

After integration over z in [0, s2] and over θ, we find

The integration interval for z is the intersection of the eclipse band with the northern hemisphere: [z−, z+] = [l − s1, l + s1] ∩ [0, s2]. The boundary points are then

The simplest case of α = 0, l = 0 has recurring eclipses every month. The signal in time and Fourier domain is plotted in Fig. 6 for a1 = a2 = 1. Equation (8) for the lunar eclipses implies the relation
. The peak values are given by
(20)
This is plotted as a function of the radii in Fig. 7. Although the depth of the dips in the time domain can equal the intensity of the normal phase curve (namely for complete eclipses), a dip may be difficult to find due to the short duration of an event. The value of g0 decreases with decreasing τ, but the
remain constant. This is because for increasing Ω, eclipses occur more frequently, and the Fourier transform adds up all events in one peak.
For the planetary eclipses, we obtain the same expression (20), except for an overall factor s2 ∕s1 and with tk replaced by
. For face-on view, the planetary eclipses are weaker than the lunar eclipses, because the shadow domain on the planet is flatter than on the moon, and therefore it appears thinner as the view is from the side.
5.5 Edge-on observation
Now we consider the case of observation as nearly edge-on to the orbital plane. The condition for observer inclination angle θo will be
. Here, θo is preferably slightly less than 90°, so that the planet does not move behind the coronagraph or behind or in front of the star. The observer direction is approximated by

Conditions for observer inclination and azimuth θo, ϕo for obtaining uninterrupted phase curves, also prohibiting transits and occultations of the planets (where both planets and the observer are aligned), are given in Appendix A.
To facilitate the integration over the spherical lune (Eq. (18)), one often introduces the positive part c(θ)= max(0, cosθ), which is equal to cosθ when positive, and zero otherwise (Cowan & Agol 2008; Cowan et al. 2013; Fujii & Kawahara 2012). These can now replace the dot product in expressions (16) and (17) and we can extend the azimuth integration to the full range. This gives

Evaluating the integral for the direct signal gives the result
(23)
Here we used the normalized phase curve h for a single planet from the paper of van Hulst (1980), for phase angles θ = ωt − ϕo in the interval [−π, π]. The factor
in Eq. (23) is the fraction of intercepted light. Evaluating the integrals in Eq. (22) for the eclipses gives the result
(24)
Comparing this with the general Eq. (6), the contribution for an eclipse can be read off: g(ϑk) = −ϒ(lk)fD(tk), the product of the eclipse magnitude (Eq. (14)) with the value of the pure phase curve at the time of the event.
![]() |
Fig. 7 Eclipse-peak height for a double planet without inclination, when observed face on, as a function of the two planet radii, from formula (20). The radius sJ is of Jupiter and the level curves are for the values |
6 Eclipses in the Fourier domain
6.1 Coefficients for individual planets
Because the function c is periodic modulo 2π, it has a Fourier series. This is
(25)
Now we substitute this in Eq. (21). Since these integrals are convolutions of c with itself, the coefficient for the fD is essentially the square of cn. We find
(26)
and
(27)
Odd-numbered coefficients, except h1 and h−1, are zero. Here, h1 and h−1 are negative because for ωt = ϕo one has an inferior conjunction (binary between star and observer) and then the signal is minimal. The peaks with values
are found near the origin of the spectra in Figs. 2 and 8–10.
6.2 Case I: monthly eclipses
The first case is for αr < s1 − s2, where there is a complete lunar eclipse and a complete planetary eclipse every month: at t = tk the moon becomes fully covered by planet shadow and at
the moon shadow falls completely onto the planet. The planetary eclipses can happen when the planet is bright and the moon is dark. The corresponding eclipse magnitude
is given by Eq. (14) with z− = l − s2 and z+ = l + s2. With the substitution l = lk from Eq. (13), this gives
![Mathematical equation: \[ \bar\Upsilon(\alpha r\sin\vartheta) = 3\pi {s_2}^2 \frac{4s_1^2-s_2^2-4\alpha^2 r^2\sin^2\vartheta}{16vs_1^3} . \]](/articles/aa/full_html/2020/01/aa36529-19/aa36529-19-eq85.png)
There are three nonzero coefficients:
![Mathematical equation: \[ \bar\Upsilon_0 = 3\pi {s_2^2} \frac{4s_1^2-s_2^2-2\alpha^2 r^2}{16vs_1^3} , \quad \bar\Upsilon_{\pm 2} = -3\pi {s_2}^2 \frac{\alpha^2 r^2}{16vs_1^3} . \]](/articles/aa/full_html/2020/01/aa36529-19/aa36529-19-eq86.png)
We now use
and find peak amplitudes:
![Mathematical equation: \[ f_{\textrm{E}_{n}}^{0} = -\frac{v{s_1}^2}{8\pi R^2 r}(h_n \Upsilon_0 + h_{n-2} \Upsilon_2 + h_{n+2} \Upsilon_2) . \]](/articles/aa/full_html/2020/01/aa36529-19/aa36529-19-eq88.png)
If there is no inclination, then α = 0 and
and the side bands are small copies of the direct spectrum found at m = 0. This case was plotted in Fig. 3. The situation when the moon is bright and the planet is dark is very similar, because the eclipse magnitude function has a similar shape, only slightly larger in the center (see Fig. 5), however the equations are not as simple.
![]() |
Fig. 8 Signals and spectra for the eclipses in an inclined system. The inclination angle is α = (s1− s2)∕r = s1∕2r. This is the maximum value where complete eclipses always occur (case I). Same planet radii and axes as in Fig. 3. Top: observation direction is
|
6.3 Cases II and III: partial eclipses
When there are partial eclipses, these always occur in a specific range of orbital phases. For cases II and III, the eclipses are incomplete in the intervals ϑ1 < |ϑ| < π − ϑ1, modulo 2π. Here, ϑ1 is the (smallest) angle where the overlapping disks are touching at the poles: here, αr sinϑ1 = s1 − s2. There are four of these contact points along the orbit of the barycenter. Because the magnitude functions ϒ and
are not smooth here, these points determine the behavior of the Fourier tails of
for cases II and III. In Appendix B we derive these tails. For case III, new (sub)intervals ϑ2 < |ϑ| < π − ϑ2 modulo 2π appear, with ϑ2 being the smallest solution of αr sinϑ2 = s1 + s2. At the boundaries, four extra contact points along the orbit are found. Here the disks have no overlap and touch at the poles. These also turn up in the Fourier tails.
Figures 8 and 9 show the Fourier spectra for edge-on observation for two special values of inclination; these respectively show full eclipses occurring every month and partial eclipses every month. For observation along the nodes (
), the eclipse signal is strongest. The case where there is not always an eclipse is not plotted: then the side bands flatten out even more. Figure 10 shows the same situation as Fig. 9, but for different planet radii.
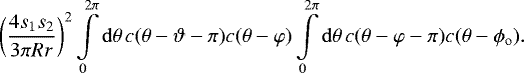
7 Double reflections
When both the planet and its moon have high albedo, light rays could bounce off one planet and then off its companion, before being reflected towards the observer. These secondary reflections also contribute to the monthly modulation in the light curve. We now show that the effect of double reflection in the Fourier spectrum could become comparable to eclipses at higher inclinations α when eclipses are rare.
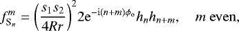
Consider the stellar light that is first reflected off the planet then off the moon. If we take unit albedos a1 = a2 = 1, the lowest-order contributionin s1∕r to the net signal is:
![Mathematical equation: \[ \frac{s_1^2}{\pi R^2} \left( \int\int_{\rightmoon} \mathrm{d}^2\hat{\boldsymbol s} (\hat{\boldsymbol R}\bullet\hat{\boldsymbol s}) (\hat{\boldsymbol s}\bullet\hat{\boldsymbol r}) \right) \frac{s_2^2}{\pi r^2} \left( \int\int_{\rightmoon} \mathrm{d}^2\hat{\boldsymbol s} (\hat{\boldsymbol r}\bullet\hat{\boldsymbol s}) (\hat{\boldsymbol s}\bullet\hat{\boldsymbol o}) \right) . \]](/articles/aa/full_html/2020/01/aa36529-19/aa36529-19-eq93.png)
The spherical lunes on the unit sphere are the same for both planet and moon. We find a factor of 4∕3 for the z integrals, and obtain
![Mathematical equation: \[ \bigg(\frac{4s_1s_2}{3\pi Rr}\bigg)^2 \int\limits_0^{2\pi} \mathrm{d}\theta\, c(\theta-\vartheta-\pi)c(\theta-\varphi) \int\limits_0^{2\pi} \mathrm{d}\theta\, c(\theta-\varphi-\pi) c(\theta-\phi_{\mathrm{o}}) . \]](/articles/aa/full_html/2020/01/aa36529-19/aa36529-19-eq94.png)
We now express both these integrals in terms of the single-planet phase curve h. When we add the contribution for light that is first scattered off the moon and then off the plane, we obtain the net double-reflection
![Mathematical equation: \[ f_{\mathrm{S}} = \bigg(\frac{s_1s_2}{4Rr}\bigg)^2 \Big[ h(\vartheta-\varphi)h(\varphi-\phi_{\mathrm{o}}) + h(\vartheta-\varphi-\pi)h(\varphi-\phi_{\mathrm{o}}+\pi) \Big] . \]](/articles/aa/full_html/2020/01/aa36529-19/aa36529-19-eq95.png)
For the Fourier coefficients, we can now use
![Mathematical equation: \[ \frac{1}{(2\pi)^2} \int\limits_0^{2\pi}\mathrm{d}\vartheta \int\limits_0^{2\pi}\mathrm{d}\varphi\, \mathrm{e}^{-\mathrm{i}n\vartheta-\mathrm{i}m\varphi} h(\vartheta-\varphi)h(\varphi-\phi_{\mathrm{o}}) = \mathrm{e}^{-\mathrm{i}(n+m)\phi_{\mathrm{o}}} h_n h_{n+m} . \]](/articles/aa/full_html/2020/01/aa36529-19/aa36529-19-eq96.png)
Hence
(28)
and
if m is odd. If one compares the first two side bands at m = 2 and m = 4, this pattern is characterized by
,
,
, being a copy of
,
,
but smaller. Similarly, the harmonic m = 6 from the monthly revolutions have the same relative sizes but again smaller. The amplitudes are all positive for ϕo = 0. The values are pretty low: even for unit albedo the dominant side peak
is a factor
weaker than the main peak in the direct reflection.
![]() |
Fig. 9 Signals and spectra for α = (s1 + s2)∕r = 3s1∕2r. This is the maximum value where (partial) eclipses always occur (case II); they appear strongest around ωtk = π. The side bands in the spectrum are broadened due to the diminishing strength of the eclipses around other times. Top and bottom: |
![]() |
Fig. 10 Signals and spectra for s1∕s2 = 3 and α = (s1 + s2)∕r = 4s1∕3r. This is again the maximum value where partial eclipses always occur. All other parameters are kept the same as Fig. 8. The eclipse contributions to the signals are weaker by roughly a factor of 4∕9 compared to Fig. 9. |
Asymptotic power-law behavior of the Fourier tails.
8 Conclusions
Because planets have very well-defined orbital periods, the Fourier transform of the phase light curve of an exoplanet system will consist of sharp peaks (but broadened by the intensity spectrum of the host star). Each planet contributes an equidistant set and the individual sets do not fall on top of each other because the periods of different planets are generally incommensurable. This allows the astronomer to separate contributions from different planets.
Here, we study the reflection signal from a planet with a moon. The signal is double-periodic of the form given in Eq. (1) with the basis frequencies ω and Ω. These frequencies now correspond to the annual (barycenter) motion and the lunar (relative) motion. We consider homogeneous companions, with unit (or zero) albedo for near edge-on observation and a small inclination α of the lunar plane. We show that if the radii s1, s2 are small compared to the planet separation r, the Fourier series has a unique form. According to Eqs. (23), (24), (26) and (28), now including albedo-factors a1 and a2, this form is:
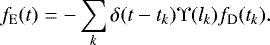
![Mathematical equation: \begin{align*} & f_{\mathrm{D}}(t) = \frac{s_1^2 a_1+s_2^2 a_2}{4R^2}\sum_n \mathrm{e}^{\mathrm{i}n\omega t} \mathrm{e}^{-\mathrm{i}n\phi_{\mathrm{o}}} h_n , \\ & f_{\mathrm{E}}(t) = {\frac{v}{2\pi r}} \sum_{nm} \mathrm{e}^{\mathrm{i}(n\omega + m\Omega) t} \mathrm{e}^{-\mathrm{i}(n+m)\phi_{\mathrm{o}}} \Big[ a_1 g_{n+m} + (-1)^m a_2 \bar g_{n+m} \Big] , \\ & f_{\mathrm{S}}(t) = \bigg(\frac{s_1s_2}{4Rr}\bigg)^2 a_1a_2 \sum_{nm} \mathrm{e}^{\mathrm{i}(n\omega + m\Omega) t} \mathrm{e}^{-\mathrm{i}(n+m)\phi_{\mathrm{o}}} \Big[ 1 + (-1)^m \Big] h_n h_{n+m} . \end{align*}](/articles/aa/full_html/2020/01/aa36529-19/aa36529-19-eq107.png)
The coefficients hn are for the phase light curve h of a single homogeneous Lambertian planet, given by Eq. (27).
Because two companions have the same orbital phase ϑ, the direct reflection fD cannot reveal a planet binary. The peaks that show the binary are found at multiples of Ω in the weaker terms fE and fS. These Fourier series have typical features. Small but repeated identical side bands arise from the eclipses on the planet binary. They do not diminish in strength for |m|≪ r∕s1. The coefficients
for eclipses are found from Eq. (8) in terms of the function g defined in Eq. (5). Partial eclipses give the characteristic power-law n−7∕2 tail, coming from the contact points. If many peaks can be resolved, this asymptotic behavior may be useful. The double reflection between companions also gives side bands that are identical in shape, but instead decay in strength with the m-value.
When the two planets are so close that s1 ≲ r, our analyticapproach breaks down. The three effects obtain comparable signal strength and the decomposition of Eq. (3) becomes problematic. It is no longer possible to attribute the m side bands to one effect.
Appendix A Condition for absence of transits
A transit happens if the starlight in the direction of the observer is blocked by a planet. The disk of the planet overlaps the disk of the host star in the (projected) plane of observation. Defining l to be the distance between the centers of the two disks, transits of planet 1 occur for

The plus sign is for the partial transit (planet disk is partially in front of the star disk) and the minus sign is for a complete transit (planet disk is inside the star disk). The component of R1 in the direction is positive when the planet has to be in between the observer and the star. An occultation of the planet by the star occurs for a negative dot product. If we assume that ω and Ω are incommensurable, the value of l is minimized for

These equations imply ωt = ϕo + nπ (see Fig. 1). The minimal value of the displacement is

with R1 = |R1 −R| = m2r∕(m1 + m2) and r2 = r − R1. The condition for transits never to occur is, for
and 0 ≾ α:

Because we are considering two planets, we have the two conditions for the observer inclination:

In this paper, we also assume that due to inclined observation the planet and moon also never block the direct reflected light towards the observer. We now derive the required condition for absence of these types of mutual events. Let l be the distance between the disk-centers of planet and moon projected onto the plane of observation (i.e., the celestial plane). It then follows that l is the length of the component of the distance vector r orthogonal to
. This is
. Hence, the planet disk is in front of the moon disk for

and the moon disk is in front of the planet disk for

With the plus sign in these expressions replaced by a minus sign, one obtains the condition for the larger disk completely overlapping the smaller disk. The lowest value of l occurs for a difference velocity perpendicular to the observation direction, or for

This implies, using our assumption in Eq. (9) that

or

For these phases, the minimal displacement is

The transits do not take place if we demand l > s1 + s2. For small inclinations α, the condition for observer inclination with respect to the orbital plane becomes

Appendix B Fourier tails for partial eclipses
It is well known that the Fourier coefficients fn of a periodic function f that is also an analytic function decay with n faster than any power law. Therefore, the behavior around the points where a function is not analytic determines the asymptotic behavior of the Fourier coefficients. The direct light curve fD of a planet is only not analytic for ϑ = ϕ0 when the planet is at inferior conjunction. Similarly, the periodic function g (describing fE) is not analytic at l = ±s1 ± s2. This is when an edge of the shadow band just touches its companion (at a pole). We here calculate the Fourier tail for fD and fE.
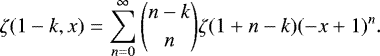
In order to study the behavior as x→0+ of a noninteger power xk−1 with k > 1, like
, we need the Hurwitz zeta function ζ(s, x). By isolating thebranch point at x = 0, the Hurwitz function can be written with the series (Vepštas 2008):
![Mathematical equation: \[ \zeta(1-k,x) = x^{k-1} + \sum_{n=0}^{\infty} \binom{n-k}{n}\zeta(1+n-k)(-x)^n . \]](/articles/aa/full_html/2020/01/aa36529-19/aa36529-19-eq126.png)
The analytic part of the Hurwitz function on [0, 1] has series coefficients determined by the Riemann zeta function ζ(s). This part is repeated at x = 1
![Mathematical equation: \[ \zeta(1-k,x) = \sum_{n=0}^{\infty} \binom{n-k}{n}\zeta(1+n-k)(-x+1)^n . \]](/articles/aa/full_html/2020/01/aa36529-19/aa36529-19-eq127.png)
For arguments on the x-interval [0, 1] and k > 1, the Fourier series of the above function is (Olver et al. 2010)
![Mathematical equation: \[ \zeta(1-k,x) = \frac{\Gamma(k)}{(2\pi)^k} \bigg( \mathrm{e}^{\mathrm{i}\pi k/2} \sum_{n=1}^{\infty}\frac{\mathrm{e}^{-2\pi\mathrm{i}nx}}{n^k} + \mathrm{e}^{-\mathrm{i}\pi k/2} \sum_{n=1}^{\infty}\frac{\mathrm{e}^{2\pi\mathrm{i}nx}}{n^k}\bigg) . \]](/articles/aa/full_html/2020/01/aa36529-19/aa36529-19-eq128.png)
This is Hurwitz’s formula. We note that the branch point determines the asymptotic behavior of the Fourier coefficients. For integer k, the Taylor series terminates and becomes the Bernoulli polynomial: ζ(1 − k, x) = −Bk(x)∕k. Although the coefficient for xk−1 is now
, its (k − 1)-th derivative still has a step-discontinuity of size (k − 1)!. The periodic continuation is then also given by the above Fourier series.
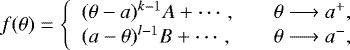
We now consider a periodic function f(θ), with period 2π and with nonanalytic behavior around one point, as in
![Mathematical equation: \[ f(\theta) = \left\{ \begin{array}{ll} (\theta-a)^{k-1}A + \cdots, & \quad \theta \longrightarrow a^+, \\ (a-\theta)^{l-1}B + \cdots, & \quad \theta \longrightarrow a^-, \end{array} \right. \]](/articles/aa/full_html/2020/01/aa36529-19/aa36529-19-eq130.png)
with k > 1, l > 1. By comparing with the Hurwitz function, we find that f(θ) has Fourier coefficients with tails
(B.1)
For integer k = l and
the expression vanishes, because then the function is analytic and Eq. (B.1) does not apply. For integer k = l ≥ 2 and
, the correspondence becomes
(B.2)
We illustrate the method with the direct phase curve (Eq. (23)). It is everywhere three times differentiable, except at θ = 0. Near θ = 0, it behaves as h(θ) ≈ 8|θ|3∕9π, so that its third derivative jumps. Equation (B.2) then provides the asymptote hn ≈ 16∕3π2n4. The value given by Eq. (27) is twice as large. However h(θ) − 4(cosθ)∕3 actually has periodicity π, not 2π. By taking into account that almost all the coefficients are even, one finds the correct asymptote.
For the eclipses, we shall need the asymptotes for the periodic function ϒ(αr sinϑ). We consider the case II of planets that always eclipse but the eclipses can be partial: s1 − s2 < αr < s1 + s2. The function ϒ is everywhere three times differentiable, except at l = ±(s1 − s2) where the third derivative becomes infinite. This occurs when the shadow of the planet touches a pole of the moon at the eclipse maximum, which happens for four values of ϑ. Let the orbital phase ϑ1 be defined by one solution of αr sinϑ1 = s1 − s2. According to Eq. (24), the peaks are determined by the Fourier transform of g(ϑ) = −fD(ϑ∕ω)ϒ(αr sinϑ). This function is nonanalytic where either of the functions fD or ϒ is not analytic. Although fD is nonanalytic with k = 4, the effect in ϒ has power k = 7∕2 which is dominant (for large n). We therefore approximate
(B.3)
with ϒn the Fourier coefficients of ϒ considered as periodic function of ϑ. For the lunar eclipses, the magnitude is given by Eq. (14). Approaching the contact point l = s2 − s1 from above, it behaves as
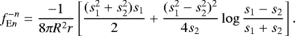
![Mathematical equation: \[ \Upsilon(l) = \frac{4\!\sqrt{2s_1}}{5vs_2^2} (l-s_2+s_1)^{5/2} + {\cdots}, \quad l\longrightarrow (s_2-s_1)^+. \]](/articles/aa/full_html/2020/01/aa36529-19/aa36529-19-eq136.png)
The dots now also contain the analytic part. The function has no fractional powers in the expansion for
. Of course, ϒ is an even function of l. Substitutingl = αr sinϑ, we now evaluate the coefficients in the tail:
(B.4)
and n even. The magnitude
for planetary eclipses also jumps at l = ± (s1 − s2). The jump discontinuity has the same expression, except with s1 and s2 interchanged. An interesting case occurs for planets of equal size and albedo. If s2 → s1, then ϑ1 → 0. For unit albedo, the combined spectrum for both planets eclipsing each other every halve month becomes, for both n and m even:

In the final case III without monthly eclipses: s1 + s2 < αr. The orbital phase ϑ2 above which eclipses do not occuris found from αr sinϑ2 = s1 + s2. The effect of the contact point at ϑ1 is still present, but the extra contact point at ϑ2 will introduce extra terms in the expression for the tail. We have

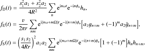
and ϒ(l) = 0 for l ≥ s1 + s2. The term that needs to be added to Eq. (B.4) has the same form. It can be obtained from Eq. (B.4) by the replacements ϑ1 → ϑ2 and s2 → − s2. The power-law behavior of the Fourier tails for the different types of eclipses I, II, and III is given in Table 3.
References
- Barr, A. 2016, Astron. Rev., 12, 24 [Google Scholar]
- Belikov, R., Bendek, E., Thomas, S., Males, J., & Lozi, J. 2015, Proc. SPIE, 9605, 960517 [CrossRef] [Google Scholar]
- Boccaletti, A., Baudoz, P., Baudrand, J., Reess, J., & Rouan, D. 2004, Adv. Space Res., 36, 1099 [NASA ADS] [CrossRef] [Google Scholar]
- Borucki, W. J., Koch, D., Jenkins, J., et al. 2009, Science, 325, 709 [NASA ADS] [CrossRef] [PubMed] [Google Scholar]
- Cabrera, J., & Schneider, J. 2007a, A&A, 464, 1133 [NASA ADS] [CrossRef] [EDP Sciences] [Google Scholar]
- Cabrera, J., & Schneider, J. 2007b, ASP Conf. Ser., 366, 242 [NASA ADS] [Google Scholar]
- Cash, W. 2006, Nature, 442, 51 [NASA ADS] [CrossRef] [PubMed] [Google Scholar]
- Cowan, N., & Agol, E. 2008, ApJ, 678, L129 [NASA ADS] [CrossRef] [Google Scholar]
- Cowan, N., Fuentes, P., & Haggard, H. 2013, MNRAS, 434, 2465 [NASA ADS] [CrossRef] [Google Scholar]
- Douglas, E., Carlton, A., Cahoy, K. L., et al. 2018, Proc. SPIE, 10705, 1070526 [Google Scholar]
- Fujii, Y., & Kawahara, H. 2012, ApJ, 755, 101 [NASA ADS] [CrossRef] [Google Scholar]
- Gillon, M., Triaud, A., Demory, B.-O., et al. 2017, Nature, 542, 456 [NASA ADS] [CrossRef] [PubMed] [Google Scholar]
- Heller, R., Hippke, M., Placek, B., Angerhausen, D., & Agol, E. 2016, A&A, 591, A67 [NASA ADS] [CrossRef] [EDP Sciences] [Google Scholar]
- Kane, S. R., & Gelino, D. M. 2013, ApJ, 762, 129 [NASA ADS] [CrossRef] [Google Scholar]
- Kipping, D. 2011, MNRAS, 416, 689 [NASA ADS] [Google Scholar]
- Krist, J., Beichman, C., Trauger, J., et al. 2007, Proc. SPIE, 6693, 6693OH1 [Google Scholar]
- Lewis, K., Ochiai, H., Nagasawa, M., & Ida, S. 2015, ApJ, 805, 27 [NASA ADS] [CrossRef] [Google Scholar]
- Link, F. 1969, Eclipse Phenomena in Astronomy, 1st edn. (Berlin: Springer-Verlag) [CrossRef] [Google Scholar]
- Lovis, C., Ségransan, D., Mayor, M., et al. 2011, A&A, 528, A112 [NASA ADS] [CrossRef] [EDP Sciences] [Google Scholar]
- Mawet, D., Serabyn, E., Liewer, K., et al. 2010, ApJ, 709, 53 [NASA ADS] [CrossRef] [Google Scholar]
- Morse, J., Bendek, E., Cabrol, N., et al. 2018, ArXiv e-prints [arXiv:1803.04872] [Google Scholar]
- Namouni, F. 2010, ApJ, 719, L145 [NASA ADS] [CrossRef] [Google Scholar]
- Ochiai, H., Nagasawa, M., & Ida, S. 2014, ApJ, 790, 92 [NASA ADS] [CrossRef] [Google Scholar]
- Ogihara, M., & Ida, S. 2012, AJ, 753, 60 [CrossRef] [Google Scholar]
- Olver, F., Lozier, D., Boisvert, R., & Clark, C. 2010, NIST Handbook of Mathematical Functions (Cambridge: Cambridge University Press) [Google Scholar]
- Pannekoek, A. 1947, Pop. Astron., 55, 422 [NASA ADS] [Google Scholar]
- Shallue, C., & Vanderburg, A. 2018, AJ, 155, 94 [NASA ADS] [CrossRef] [Google Scholar]
- Snellen, I., de Mooij, E., & Albrecht, S. 2009, Nature, 459, 543 [NASA ADS] [CrossRef] [PubMed] [Google Scholar]
- van Hulst, H. 1980, Multiple Light Scattering: Tables, Formulas, and Applications, (New York: Academic Press), 1, 2 [Google Scholar]
- Vepštas, L. 2008, Numer. Algorithms, 47, 211 [NASA ADS] [CrossRef] [Google Scholar]
- Visser, P., & van de Bult, F. 2015, A&A, 579, A21 [NASA ADS] [CrossRef] [EDP Sciences] [Google Scholar]
All Tables
All Figures
![]() |
Fig. 1 Geometry: the central star (yellow) is at the origin of the ijk-frame. Vector R points to the binary barycenter, and the vector r points from the planet to the moon (orange day sides). The orbital plane of the binary barycenter has normal k. The lunar plane has normal |
| In the text | |
![]() |
Fig. 2 Typical light curve in the time domain for a planet binary, as observed edge on. The system has zero inclination and the planet radii have ratio s1 ∕s2 = 2. The bottom horizontal axis shows two annual periods, the top horizontal axis shows the lunar periods. Orange: signal from the planet, light blue: signal from the moon, blue: nett signal. The frequencies have ratio Ω∕ω = 254∕19, as for Earth’s approximate Metonic cycle, so that the overall periodicity is actually 19 orbits. |
| In the text | |
![]() |
Fig. 3 Left: light curve from Fig. 2 for one halve orbit. Right: corresponding signal in the Fourier domain. The bottom horizontal axis are in steps of the (fast) lunar frequency. The top horizontal scale are in steps of the (slow) orbital frequency. The side structures that appear due to the eclipses are centered around multiples of Ω − ω. They are nearly identical copies of each other. Since the eclipse magnitudes of the two types are comparable (and the albedos are equal), the structures at odd m have almost disappeared. Noise would wash out the dips in the time domain and broaden these ideal Fourier peaks. |
| In the text | |
![]() |
Fig. 4 Top view of the system. For a lunar eclipse, the moon is in the shadow of the planet, and the orbital phases must be equal: ϑ = φ modulo 2π. For a planetary eclipse, with the planet in the shadow of the moon, the orbital phases are opposite: ϑ = φ + π modulo 2π. |
| In the text | |
![]() |
Fig. 5 Eclipse magnitude ϒ, defined in Eq. (14), vs. displacement l of the shadow trace, for radii s1 = 2s2 (left) and s1 = 3s2 (right). The visuals show the viewpoint from the star: the eclipses (both types) trace out a nearly horizontal band. Blue and red: ϒ and |
| In the text | |
![]() |
Fig. 6 Numerical results for the simplest case: face-on observation of a binary with zero inclination. Shown are the signal and the Fourier transform (left and right, respectively) for s1 ∕s2 = 2 with axes as in Fig. 3. The signal has the lunar periodicity only. In contrast to the edge-on signal, the peak magnitudes for the planet and lunar eclipse differ if s1 ≠ s2, meaning that the peaks at odd m are not smallas compared to even m. |
| In the text | |
![]() |
Fig. 7 Eclipse-peak height for a double planet without inclination, when observed face on, as a function of the two planet radii, from formula (20). The radius sJ is of Jupiter and the level curves are for the values |
| In the text | |
![]() |
Fig. 8 Signals and spectra for the eclipses in an inclined system. The inclination angle is α = (s1− s2)∕r = s1∕2r. This is the maximum value where complete eclipses always occur (case I). Same planet radii and axes as in Fig. 3. Top: observation direction is
|
| In the text | |
![]() |
Fig. 9 Signals and spectra for α = (s1 + s2)∕r = 3s1∕2r. This is the maximum value where (partial) eclipses always occur (case II); they appear strongest around ωtk = π. The side bands in the spectrum are broadened due to the diminishing strength of the eclipses around other times. Top and bottom: |
| In the text | |
![]() |
Fig. 10 Signals and spectra for s1∕s2 = 3 and α = (s1 + s2)∕r = 4s1∕3r. This is again the maximum value where partial eclipses always occur. All other parameters are kept the same as Fig. 8. The eclipse contributions to the signals are weaker by roughly a factor of 4∕9 compared to Fig. 9. |
| In the text | |
Current usage metrics show cumulative count of Article Views (full-text article views including HTML views, PDF and ePub downloads, according to the available data) and Abstracts Views on Vision4Press platform.
Data correspond to usage on the plateform after 2015. The current usage metrics is available 48-96 hours after online publication and is updated daily on week days.
Initial download of the metrics may take a while.
















