Free Access
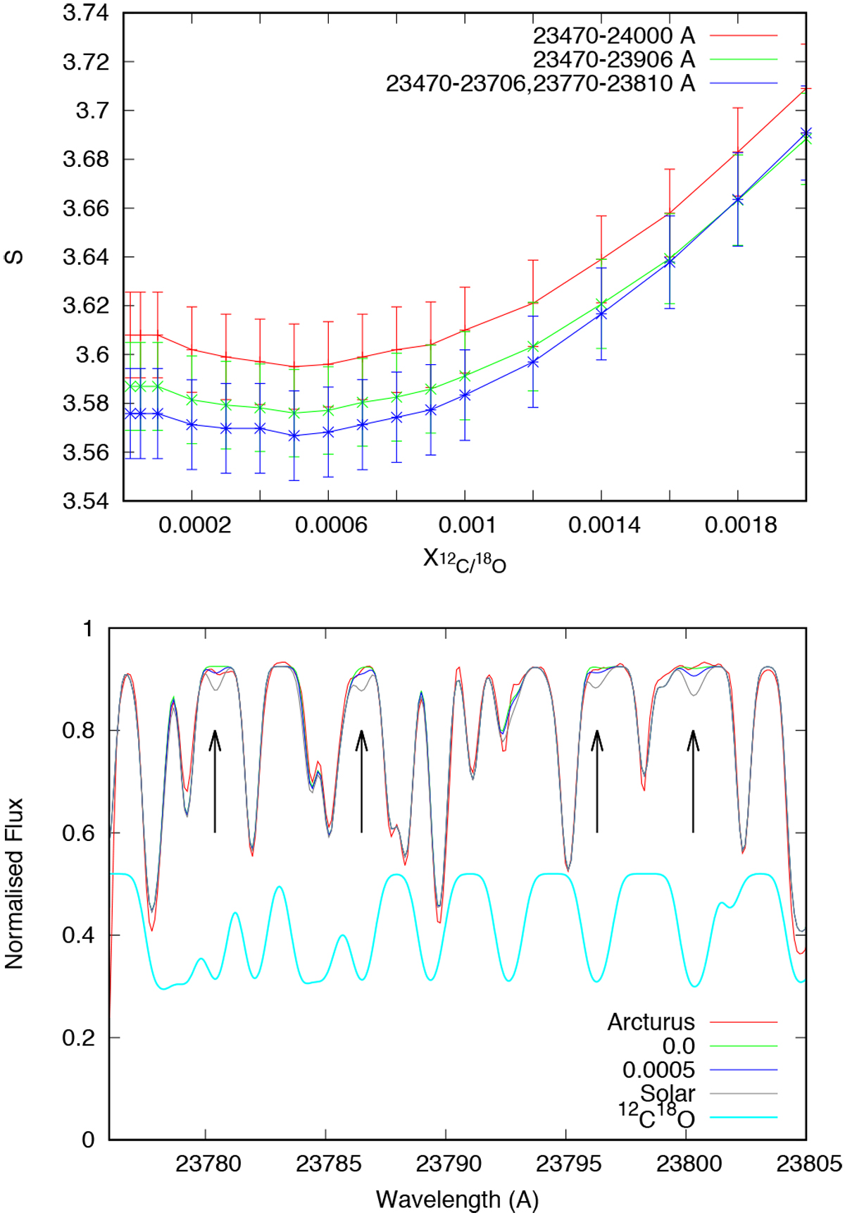
Fig. 3

Upper panel: dependence of the minimisation parameter computed for different spectral ranges on
.
Lower panel:best fit to the observed spectrum computed for
= 0.0001. Profile of the 12C18O band is shown, in arbitrary units, by a thick cyan line. Vertical arrows mark the
12C18O features in the computed and observed spectrum.
Current usage metrics show cumulative count of Article Views (full-text article views including HTML views, PDF and ePub downloads, according to the available data) and Abstracts Views on Vision4Press platform.
Data correspond to usage on the plateform after 2015. The current usage metrics is available 48-96 hours after online publication and is updated daily on week days.
Initial download of the metrics may take a while.