| Issue |
A&A
Volume 633, January 2020
|
|
|---|---|---|
| Article Number | A52 | |
| Number of page(s) | 8 | |
| Section | Stellar atmospheres | |
| DOI | https://doi.org/10.1051/0004-6361/201936811 | |
| Published online | 10 January 2020 | |
Analysis of the first overtone bands of isotopologues of CO and SiO in stellar spectra
1
Main Astronomical Observatory of NAS Ukraine,
27 Zabolotnoho,
Kyiv,
01137,
Ukraine
e-mail: This email address is being protected from spambots. You need JavaScript enabled to view it.
2
Department of Physics and Astronomy, University College London,
London
WC1E 6BT,
UK
3
Centre for Astrophysics Research, University of Hertfordshire,
College Lane,
Hatfield
AL10 9AB,
UK
Received:
30
September
2019
Accepted:
26
November
2019
Abstract
Context. This study is based on models of the first overtone (Δv = 2) bands of the monosubstituted isotopologues of CO at 2.3 μm in the spectrum of Arcturus (K2 III) and of the monosubstituted isotopologues of SiO at 4 μm in the spectrum of the red giant HD 196610 (M6 III).
Aims. We aim to investigate problems involving the computation of the first overtone bands of isotopologues of CO and SiO in the spectra of late-type stars and to determine isotopic abundances.
Methods. We used fits of theoretical synthetic spectra to the observed stellar molecular bands of CO and SiO for determining the abundances for isotopes of C, O, and Si.
Results. Fits of synthetic spectra of the 12C16O first overtone bands at 2.3 μm computed with three available line lists to the observed spectrum of Arcturus provide the same carbon abundance [C] = − 0.6 and isotopic ratio of carbon 12C/13C = 10 ± 2. However, the quality of fits to the observed spectrum differ for three line lists used. Furthermore, the derived oxygen isotopic ratio 16O/18O = 2000 ± 500 is larger than that known in the solar system, where 16O/18O = 500. The silicon isotopic ratio in the atmosphere of the red giant HD 196610 has been revised. Using the ExoMol SiO line list with appropriate statistical weights for the SiO isotopologues, the “non-solar” ratio 28Si:29Si:30Si = 0.86 ± 0.03:0.12 ± 0.02:0.02 ± 0.01 is obtained.
Conclusions. We find that: (a) the computed isotopic carbon and silicon ratios determined by the fits to the observed spectrum depend on the adopted abundance of C and Si, respectively; and (b) Correct treatment of the nuclear spin degeneracies parameter is of crucial importance for today’s application of HITRAN and ExoMol line lists in the astrophysical computations.
Key words: stars: abundances / stars: late-type / line: identification / molecular data
© ESO 2020
1 Introduction
Carbon has 15 known isotopes, ranging from 8C to 22C, of which 12C and 13C are stable. When a main-sequence star enters the red-giant branch, some convective mixing processes occur in its interiors, carrying nuclei affected by CN cycling from the internal layers to the surface. For more, see (Sneden 1991; Charbonnel & Zahn 2007). The theory predicts a decrease in the 12C/13C ratio with respect to the main sequence value (~89 in the case of the Sun) down to values in the range of 15–30, depending on the initial mass and metallicity of the star, see (Charbonnel & Zahn 2007). Subsequently, the carbon abundance in the outer layers of red giants drops and nitrogen increases.
There are three known stable isotopes of oxygen: 16O, 17O, and 18O. Radioactive isotopes ranging from 11O to 26O have also been characterized and all are short-lived. If the stellar mass of a red giant does not exceed 1.3 M⊙, the 16O abundance remains unaltered, while that of 18O is mildly reduced; (see Palmerini et al. 2011). In higher-mass stars, the dominant energy production process is the CNO cycle, which is a catalytic cycle that uses nuclei of carbon, nitrogen, and oxygen as intermediaries, ultimately producing a helium nucleus as with the proton–proton chain (Böhm-Vitense 1992). However, in all cases, the carbon and oxygen isotopic ratios depend on the initial stellar masses and abundances (Charbonnel & Zahn 2007) so these parameters are of crutial importance for understanding stellar evolution.
Silicon has 23 known isotopes, with mass numbers ranging from 22 to 44. 28Si (the most abundant isotope), 29Si, and 30Si are stable. All three stable isotopes of silicon are produced in stars through the oxygen-burning process, with the most abundant 28Si produced as part of the α-process. Oxygen-burning in massive stars larger than 10.3 M⊙ is preceded by the neon-burning process, although 16O is lighter than neon; oxygen in stars of lower masses cannot ignite. After completing the oxygen-burning processes; the core of a star is primarily composed of silicon and sulfur; (see Clayton 1983; Hirschi 2014; Caughlan & Fowler 1988), and references therein. At advanced stages of massive star evolution the core oxygen-burning process is succeeded by the fusion of 28Si with α-particles prior to a violent type II supernova event (see Nakamura et al. 1999).
It is worth noting that carbon, oxygen, and silicon isotopes form in very specific and different nuclear reactions. Knowledge of the isotopic composition of stars is, therefore, important for our understanding of how the Universe works (see Romano et al. 2017). Unfortunately, the determination of isotopic abundances of C, O, and Si based on the analysis of their absorption lines in the optical spectral region is complicated by the small wavelength shifts of the corresponding lines and the effects of blending, which increase significantly with lower effective stellar temperatures. Fortunately, molecular line positions shift significantly with isotopic substitution and the infrared bands of different isotopologues in stellar spectra can provide input for the analysis of isotopic abundances.
The vibrational bands of CO and SiO isotopologues can be observed in spectra of late-type stars with the first overtone (Δv = 2) bands having similar shapes. However, due to the larger mass of the SiO molecule, its fundamental rovibrational spectrum is redder at 4 μm with respect to the bands of CO located at 2.3 μm.
Furthermore, because of its large dissociation energy and the relatively high abundance of its constituent atoms, carbon monoxide in its several isotopic forms is observed in a variety of astrophysical sources, including erupting supernovae, stellar photospheres, comets, and the interstellar medium (see, e.g. (Romano et al. 2017; Iwagami et al. 2015; Banerjee et al. 2018), and references therein).
Silicon monoxide, SiO, is an important constituent of these astrophysical environments. The millimetre-range maser lines of SiO have been extensively used in the astrophysical applications. See Tobin et al. (2019), Vlemmings et al. (2011), and Yoon et al. (2014) for more details. The thermal lines of SiO in the sub-mm and mm spectral ranges have also been studied extensively in the context of probing circumstellar dust formation, conspicuous axial symmetry, and bipolar dynamics. See González Delgado et al. (2003) for more on AGB stars and de Vicente et al. (2016) for a variety of evolved stars, as well as references therein.
The fundamental band of SiO was identified in the spectra of M supergiants a long time ago (Knacke et al. 1969; Rinsland & Wing 1982; Wollman et al. 1973). The strong 4 μm band of SiO appears in the spectra of cooler stars, at least up to the spectral type M6. The first overtone band of SiO forms notable structures in the observed spectra of late-type stars. See Evans et al. (2019), and Pavlenko (2019) for more details. Furthermore, some recent theoretical studies of hot and dense atmospheres of exoplanets suggest the possible presence of significant amounts of SiO and other silicates (Schaefer et al. 2012; Tinetti et al. 2018).
In this work, we obtain isotopic ratios for carbon, oxygen and silicon by analysing the spectra of two cool stars, namely, Arcturus(K2 III) and HD 196610 (M6 III). Strictly speaking, we use Arcturus as a template star with known fundamental parameter to fit our synthetic spectra computed with the different line lists of various isotopologues of CO to the observed stellar spectra. In other words, a secondary aim of this paper is to compare different CO and SiO line lists for the analysis of the isotopic abundance of stellar atmospheres and to demonstrate the importance of the consistent treatment of the molecular statistical weights when computing molecular opacity and partition functions.
2 Line lists
In the following, we analyse different line lists for monosubstituted isotopologues of CO and SiO from the literature: three line lists for CO by Goorvitch (1994), HITEMP2010 (Rothman et al. 2010), and HITRAN2018 by Li et al. (2015), respectively, as well as an SiO line list by Barton et al. (2013).
2.1 CO by Goorvitch (1994)
Goorvitch (1994) computed carbon monoxide line lists for seven isotopologues, namely 12C16O, 13C16O, 12C17O, 12C18O, 13C18O, 14C16O, and 13C17O, containing rotation-vibration transitions of the fundamental, first, and second overtone bands up to v = 20 and J = 149, as well as pure rotational transitions for up to v = 5 and J = 60 of the ground electronic state X 1Σ+. The transitions dataset provided by Goorvitch (1994) comes with the transition frequencies, the lower state energies, the Einstein A-values, the R-values, the expectation value of the effective dipole moment operator, and the quantum numbers of each transition.
2.2 CO in HITEMP2010
The HITEMP2010 list list for CO isotopologues (Rothman et al. 2010) is, in fact, the modified CO line list from HITEMP1995 in which the data were assembled from the line list of Goorvitch (1994). These changes are described by Rothman et al. (2010) as “updates to the line parameters in HITRAN for carbon monoxide after 1995” that feature improved values for the HITEMP2010 compilation. Nevertheless, we were interested to see whether these updates of the CO line list would change the results of the carbon isotope determination.
2.3 CO by Li et al. (2015)
Li et al. (2015) computed new extensive rovibrational line lists for nine isotopologues 12C16O, 13C16O, 12C17O, 14C16O, 13C17O, 13C18O, 14C16O, 14C17O, and 14C18O in the ground electronic state with v < 42, Δv < 12, and J < 151. These line lists were subsequently included in HITRAN2016 (Gordon et al. 2017). The line intensity and position calculations were computed using a newly determined piece-wise dipole moment function (DMF) in conjunction with wavefunctions calculated using an empirically determined potential energy function by Coxon & Hajigeorgiou (2013). A direct fit method that simultaneously fits all the reliable experimental rovibrational intensities was used to construct the DMF of COat internuclear distances near equilibrium. Li et al. (2015) claimed that molecular constants used to construct their line list, including those generated by Coxon & Hajigeorgiou (2004), are accurate enough to reproduce all relevant spectroscopic line positions to the same degree of precision as that achieved in the direct potential fit.
2.4 SiO by Barton et al. (2013)
The EBJT line lists for silicon monoxide were computed by Barton et al. (2013) as part of the ExoMol project (Tennyson & Yurchenko 2012) for the main isotopologue, 28Si16O, and for four monosubstituted isotopologues (29Si16O, 30Si16O, 28Si18O and 28Si17O) in their ground electronic states. These line lists are suitable for high temperatures (up to 9000 K), including those relevant to exoplanetary atmospheres, cool stars and sunspots. Barton et al. (2013) used a combination of empirical and ab initio methods: the potential energy curves were determined to high accuracy by fitting to extensive data from the analysis of both laboratory and sunspot spectra; high-quality ab initio dipole moment curves were calculated at the large basis set, with an accounting of multireference configuration interactions.
2.5 “Physics” and “astrophysics” conventions of the nuclear statistical weights and partition functions
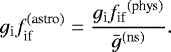
Two main conventions for definition of the nuclear statistical weights and associated partition functions Q exist: the “physics” and “astrophysics” conventions. Their use requires special care when using line lists for astrophysical applications. Let us consider an absorption coefficient (line intensity) If ←i for a transition from an initial i to a final state f as given in SI units, see (Bernath 2015):
(1)
where fif is an oscillator strength, for the transition from the state i with energy Ei, in thermal equilibrium at the temperature T, to the state f with energy Ef,
as the transition wavenumber,
, me is the electron mass, e is the electron charge, k is the Boltzmann constant, gi is the degeneracy of the (lower) state i, ε0 is the permittivity of free space and, finally, Q is the partition function, given by
(2)
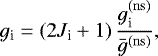
The statistical factor gi according tothe “astrophysics” convention, commonly adopted by astronomers, is given by
(3)
where
is the nuclear spin degeneracy of the state in question and ḡ(ns) is the “total” nuclear spin factor. Examples of the partition functions Q computed using this convention include works by Irwin (1981) and Sauval & Tatum (1984). According to the “physics” convention, the statistical weight gi is the total degeneracy of the state i:
(4)
This definition is adopted by major databases such as HITRAN (Gamache et al. 2017), ExoMol (Tennyson et al. 2016) and JANAF (Chase et al. 1985). As one can see from Eqs. (2) and (3), the factor ḡ (ns) appears both in the numerator and denominator of Eq. (1) and, thus, cancels out, meaning that both conventions give identical intensities, providing their consistent usage both in Q and I(f ←i). However, this difference is a common source of errors when the conventions used for the intensities (oscillator strength) and partition functions are mixed up, leading to non-physical results.
To convert between conventions:
(5)
As a very typical illustration, the nuclear spin degeneracies of the ortho and para states of water are
3 and
1. Thus, the corresponding “astrophysics” spin factors are 3/4 and 1/4 respectively (4 is the sum of
and
), while the “physics” spin factors coincide with the nuclear spin degeneracies
and
. Hence, the “astrophysics” and “physics” partition functions are related as

The wrong usage of the conventions can lead to the intensities being too strong or too weak by a factor of 4.
The nuclear spin degeneracy of a heteronuclear diatomic molecule AB molecule, g ≡ gif, is the same for all states and is given by
(6)
where I(X) is the nuclear spin of isotope X.
Turning to CO, 12C16O has zero nuclear spin degeneracy so in this case the factor is unity, meaning that “physics” and “astronomy” conventions are the same. The nuclear spin degeneracy factor of 13C16O is 2 and, therefore, mixing different conventions in partition functions and oscillator strength would lead to a factor of two difference.
For CO, the Goorvitch (1994) line lists were computed in the framework of the “astrophysics” convention while those of Li et al. (2015) and HITEMP (Rothman et al. 2010), as well as the SiO line lists of Barton et al. (2013), used the “physics” convention. To remain within one system of definitions we recomputed the gf provided by Li et al. (2015), HITEMP2010 and Barton et al. (2013) using the “astrophysics” convention.
3 Spectral models
3.1 Observed spectra
For the analysis, the infrared spectrum of Arcturus obtained by Hinkle et al. (1995) was used. The resolution of the spectrum is of order 100 000 with the spectral lines broadened by the rotation (v sin i = 1.5–3 km s−1) and macroturbulent motions in its atmosphere (Vmacro ~ 4–6 km s−1).
The HD196610 spectrum, taken from the IRTF stellar spectra library (Rayner et al. 2009), also contains SiO bands. Despite their much lower resolution (R ~ 2000), the structure of the first overtone bands is very evident.
3.2 Opacities, model atmospheres
For Arcturus, we adopt Teff = 4200 K, log g = 1.5, and a set of abundance determinations from Peterson et al. (1993), with log N(Fe) = − 4.87, log N(C) = − 3.78, log N(O) = − 3.21, log N(Si) = − 4.59.
For HD 196610, the computations were performed for Teff = 3500 K. McDonald et al. (2016) found from analysis of CO and Na equivalent widths the metallicity [Fe/H] = − 0.3 to − 0.26; however, in their analysis they used lower Teff by ~250 K determined by Cesetti et al. (2013) and McDonald et al. (2012). Furthermore, they determined for the star log g = 0.39, see Table 3 in McDonald et al. (2016). To show the possible effects of metallicity and gravity uncertainties on the results of Si abundance and isotopic ratio determination, we carried out our analysis for the cases of [Fe/H] = 0 and − 0.3, gravities log g = 1.0 and 0.5. In this paper we adopt the “solar” scale of abundances from Anders & Grevesse (1989): log N(C) = − 3.48, log N(O) = − 3.11, log N(Si) = − 4.49, but for iron we adopt logN(Fe) = − 4.54 from Asplund et al. (2009).
Atomic lines from VALD3 (Ryabchikova et al. 2015), as well as molecular lines of H2 O, TiO, CrH, VO, CaH, 12C16O and 13C16O were accounted in the 1D model atmosphere computations by SAM12, see more details in Pavlenko (2003). Synthetic spectra were computed for a 1D model atmosphere using the WITA6 program (Pavlenko 1997) assuming Local Thermal Equilibrium (LTE). Our model atmosphere and synthetic spectra were computed for the microturbulent velocity of Vt = 1.7 km s−1.
3.3 Synthetic spectra
The synthetic spectra were computed using the WITA6 programme within a classical framework, for example, LTE, hydro-static equilibrium, and a one-dimensional model atmosphere without sources and sinks of energy. Theoretical synthetic spectra were computed across the first overtone bands of CO (22 500–22 500 Å) and SiO (39 000–42 000 Å) with a wavelength step 0.05 Å, opacities due to absorption by atoms, and H2 O were also accounted for.
3.4 Fits to the observed spectra
The best fit to the observed spectra was achieved by the χ2 procedure described elsewhere (Pavlenko 2014). We give a few details here to aid in the understanding of the procedure. As part of the fit, the function,

is minimised, where
;
and
are the observed and computed fluxes, respectively, and N is the number of the wavelengths points used in the minimisation procedure. In our analysis we omit some spectral ranges which contain artifacts provided by strong noise, telluric absorption, bad pixels, etc. The minimisation factor S is computed on a 3D grid of radial velocity sets, normalisation factors, and broadening parameters. The errors of the fit is evaluated as δ = ∑ si∕N. In some of the plots, the errors δ are indicated as error bars for S.
4 Results
4.1 Identification of isotopic CO bands
The CO first overtone bands system covers a wide spectral range. Here we restrict our analysis at 22 360–25 000 Å. To verify the consistency of our results with Pavlenko (2008), the carbon abundance and carbon 12C/13C isotopic ratio were determined for a narrower spectral range of 23 600–23 800 Å, which contains several molecular bands of the CO monosubstituted isotopologues.
The positions of the first overtone bands of the CO isopologues in the observed spectrum of Arcturus are shown in Fig. 1. We note the distinct wavelength differences in the locations of 12C16O, 12C18O, 13C16O, and 14C16O band heads, with the 12C17O and 12C16O band headsoverlapping. All molecular lists, except for 14C16O, were taken from the HITEMP database, while the line list for 14C16O was taken from Li et al. (2015).
4.2 Carbon abundance and 12C/13C in Arcturus
It is worth noting that CO absorption dominates the spectrum of Arcturus across the fitted spectral region, and that absorption by H2 O is very weak in this region. We therefore exclude H2O from our analysis for the Arcturus data.
The carbon abundance and the carbon isotopic ratio were determined iteratively, using line lists by Goorvitch (1994); Rothman et al. (2010); Li et al. (2015). For any new carbon abundance model the atmosphere of Arcturus was recomputed, resulting in log N(C) = − 3.78 ± 0.1 and 12C/13C = 10 ± 2, respectively, for all three line lists. Our fitting procedure ignores the “bad” spectral features, likely created by telluric absorption lines; (see Hinkle et al. 1995). These features are marked by thick blue lines in Fig. 2 where the results of the fits to the observed spectrum are shown. We note that our carbon abundance log N(C) = − 3.78 agrees within the error bar with the values found using a different procedure by Peterson et al. (1993), Ryde et al. (2009), and Abia et al. (2012).
4.3 18O/16O in Arcturus
Molecular bands of 12C18O could be observed in the modelled spectral region. We estimated the ratio 18O/16O from a comparison of the relative strength of 12C16O and 12C18O isotopologues. To estimate the abundance of a given isotopologue we determine the relative number density of the given species:
, where Ntotal(CO) is the total number density of all CO isotopologues. For the solar case,
= 0.989,
= 0.011, and
= 0.99762,
= 0.00200 (see De Bievre & Taylor 1993).
Our value of
= 0.0005 ± 0.0004 was obtained at the min S computed for different spectral ranges in the observed spectrum listed in the upper panel of Fig. 3. On the other hand, a synthetic spectrum generated with the “solar”
gives features which are notably absent from or too weak to be seen in the observed spectrum; see the 12C18O features marked by arrows at lower panel of Fig. 3, which provides an estimation “by eye” of the lower abundance of 18O in the atmosphere of Arcturus compared to the Sun.
![]() |
Fig. 1 Positions of the CO isotopologue bands in the observed spectrum of Arcturus attributed to Hinkle et al. (1995). Atomic absorption lines from VALD (Ryabchikova et al. 2015) across the spectral region are also shown. |
![]() |
Fig. 2 Upper panel: dependence of the minimisation parameter S computed for different line lists on the carbon abundance in the atmosphere of Arcturus. The adopted carbon abundance is shown above the correspondent curve. Lower panel: best fit to the observed spectrum computed with log N(C) = − 3.78 and 12C/13C = 10. Spectral ranges containing artefacts which were missed by minimisation procedure are marked by thick blue lines. |
![]() |
Fig. 3 Upper panel: dependence of the minimisation parameter computed for different spectral ranges on
|
4.4 17O/16O in Arcturus
A similar procedure was used to estimate the ratio 17O/16O in the atmosphere of Arcturus, see Fig. 4; for the Sun we have
= 0.00038 (De Bievre & Taylor 1993). We have some evidence that the fraction of 17O is also lower in the Arcturus. However, this estimation is harder than that of 18O as the determination of the abundance of 17O in stellar atmospheres by fitting to observed spectra is hindered by the coincidence between the wavelengths of the band heads of the first overtone of 12C17O band headswith those of the abundant 12C16O; see Fig. 1. Differences in these spectra increase with the wavelength, however, at the longer wavelength, we observe more complex spectral features created by a large number of CO bands. The pollution by telluric lines also increases to the red spectral region. Taking into account all these factors, we may assume that
0.0002; see upper panel of Fig. 4. However, the formal error here is large ±0.0004.
![]() |
Fig. 4 Upper panel: dependence of the minimisation parameter computed for different spectral ranges on
|
4.5 14C/12C in Arcturus
Goorvitch (1994) and Li et al. (2015) both computed line lists for the radioactive carbon monoxide isopologues 14C16O, 14C17O and 14C18O. Radioactive carbon’s isotope 14C can be formed in thermonuclear events on the stellar surface. 14C has a half-life of 5700 ± 40 yr1, and decays by emitting an electron and an electron antineutrino while one of the neutrons in the 14C atom decays to a proton into a stable (non-radioactive) isotope 14N atom. Unfortunately, 14C16O bands are shifted redwards with respect to other CO isotopologues, which complicates their analysis due to stronger blending by lines of other bands in this region, see Fig. 1.
Naturally, most 14C in the atmosphere of the star should be in the form of the molecule 14C16O. We searched for 14C16O in the spectrum of Arcturus across 23 900–24 000 Å, in the spectral range containing the head of v′ = 0 band of the molecule with negative result, no lines of 14C16O in the spectrum were found. From our modelling, we may conclude that
; see the upper panel of Fig. 5 where the position of the 14C16O band head computed for
is marked by the arrow in the lower panel of Fig. 5, where we show the theoretical spectrum computed with
. The abundance of
seems to be lower than our detectable limit or the molecule is completely absent in the atmosphere of Arcturus.
![]() |
Fig. 5 Upper panel: minimisation parameter S computed for different |
4.6 SiO first overtone bands in spectrum HD 196610
HD 196610 is a variable red giant of Teff = 3500 ± 30 K, see more details in Pavlenko (2019). In a recent paper Pavlenko (2019) performed an initial fit to the observed first overtone bands of SiO in the spectrum of the red giant HD 196610 to determine isotopic ratios of silicon in its atmosphere. Unfortunately, Pavlenko (2019) uses an inconsistent convention for the nuclear spin statistical weights. We note that the factor gs = 2I + 1 = 1 for the isotopologous 28Si16O and 30Si16O, while for 29Si16O gs = 2 (see Table 1). In this paper we revise the isotopic ratios of Si in the atmosphere of HD 196610 by consistently using the “astrophysics” convention.
Furthermore, here we use a more sophisticated procedure than in Pavlenko (2019) to determine the silicon isotopic ratios; the same as wasused for the analysis of the CO isotopolgues, see Sect. 4.2. Here the minimisation of S was performed on a 2D grid of
and
, at each point of the grid
=
. In this way we were able to determine the ratios for all three isotopologues of SiO.
It is worth noting that the determination of the min of S was carried out iteratively, by varying the total abundance of silicon in the atmosphere of the star, which represents another improvement on the procedure of Pavlenko (2019).
A comparison of results is shown in Table 2. The upper panel of Fig. 6 shows the best fit to the observed spectrum containing the first overtone bands of SiO obtained with the parameters listed in Table 2.
Interestingly, in the case of determination of silicon abundance together with isotopic ratio, we obtain similar results for fits that start with different Si abundances (and gravities). Namely, we obtained [Si] = − 0.3± 0.1, see Table 2. We thus confirm the result of McDonald et al. (2016). Accuracy of 28Si 16O abundance determination
= 0.86 ± 0.03 is naturally limited by the low resolution of the observed spectra. Nevertheless, we obtained here non-solar isotopic ratios for Si for all input parameters tested.
As we see from a comparison with the results of Pavlenko (2019), the isotopic ratio computed with a consistent convention for the statistical weights and partition functions changes the SiO isotopologue abundances significantly.
Carbon, oxygen, and silicon atom nuclear spin degeneracy parameters.
5 Conclusion
There are several line lists for the CO isotopologues available in the literature computed by different authors. In this paper, we apply these line lists to analyse the observed spectrum of the red giant Arcturus and show that all provide very similar results. However, the minimisation factor S is lower for the line lists of Goorvitch (1994) and HITEMP2010 than for the newer Li et al. (2015) line list which has been adopted by HITRAN, despite a more sophisticated approach used to generate the latter line list. The detailed analysis of the differences is beyond the scope of this paper. Here we only note that the difference in the minimisation parameters S obtained in the framework of the same procedure is clearly caused by the use of the different line lists. On the other hand, the 12C/13C ratios determined by the best fit to the observed spectrum are the same for all three line lists.
In other words, a consistent usage of the statistical weight convention leads to the perfect agreement for the carbon abundance and isotopic ratios between HITEMP2010 (Rothman et al. 2010) and the line lists of Goorvitch (1994). However, the minimisation factor S determined from the χ2 fit to observed spectrum for the cases of the Goorvitch (1994) and Rothman et al. (2010) lists is notably smaller in comparison with the case of Li et al. (2015) line list.
The result of our carbon isotopic determination from fits to the observed spectrum of Arcturus agrees, at least within the error bars, with the previous results by Briley et al. (1994), Pavlenko (2003), and Abia et al. (2012). However, we find that the actual isotopologue abundance determined in the atmosphere of Arcturus depends on the carbon abundance adopted, see Fig. 2. We obtained the isotopic ratio 12C/13C = 10 ± 2 and the carbon abundance logN(C) = − 3.78 in the framework of our self-consistent approach, in which both 12C/13C and log N(C) vary in the process of finding the solution.
We find that the abundance of 12C17O
= 0.0004 inthe atmosphere of Arcturus is lower than that in the Sun, that is,
= 0.002 (see De Bievre & Taylor 1993). Arcturus is an older star than the Sun so this may be interpreted as the evidence of a lower production of 18O at early epochs; see discussion in Abia et al. (2012) for more details.
Using the fit of our synthetic spectra computed for the set of input parameters of HD 196610, for example, silicon abundances and gravities, we determined isotopic ratios in the atmosphere of the star. The abundances and isotopicratios were determined in the framework of self-consistent approach, when isotopic ratios and abundance of Si vary in the process of determination of the best solution. In that way we found [Si] = − 0.3 ± 0.1, a resultthat agrees with recent estimation of McDonald et al. (2016) which was obtained using very different procedure. Furthermore, we showed that (a) the Si abundance determination shows a rather marginal dependence on the input parameters, for example, abundances and gravity of the star, adopted in our work; (b) we obtained “non-solar” isotopic ratio of Si in atmosphere of HD 196610; and (c) our estimations of
= 0.86 ± 0.03 and
= 0.86 ± 0.01 (see Table 2) shows rather marginal dependence on the adopted abundances and gravities as well.
However, we should note that these estimations were obtained by fits of our synthetic spectra to the spectra of the first overtone SiO bands obtained with rather low resolution. Naturally, more confidence in any analysis of the isotope ratios could be obtained using spectra of better quality and a more refined analysis should be followed by a detailed abundance analysis to reduce the number of free parameters.
Nevertheless, we demonstrate the importance of the consistent usage of spectroscopic data via a critical revision of the recent results by Pavlenko (2019) for the Si isotopic ratios. This leads to the difference of by a factor more than 2 for 29Si16O from the nearly solar ratio 28Si:29Si:30Si = 0.92:0.05:0.03 to the “non-solar” ratio 0.83:0.13:0.03. In this paper we also used a more advanced procedure to determine the silicon abundance and its isotopic ratios in the framework of our self-consistent approach, in which both parameters vary in the iteratively process of finding solution.
And finally, it can be assumed with a high degree of confidence that in the case of these two stars, we observe differences in the isotopic composition of oxygen and silicon between the times and places of their formation and the present-day values. Indeed, the masses of both stars are 0.6 and 1.1 solar masses for HD 196610 (McDonald et al. 2016) and Arcturus (Ayres & Johnson 1977), respectively. Certainly, these masses are not high enough to initiate the nucleosynthesis of silicon and oxygen. Detailed analysis of spacial distributions of isotopes in our Galaxy is of crutial importance and vital for modern astrophysics, however that problem is beyond the scope of this paper.
![]() |
Fig. 6 Upper panel: minimisation parameter S
computed on a grid of |
Relative isotopologue abundances of Si obtained from the fits to the first overtone bands of SiO observed in the atmosphere of HD 196610.
Acknowledgements
This study was funded as part of the routine financing programme for institutes of the National Academy of Sciences of Ukraine. Spectroscopic data calculated by the ExoMol group (funded by ERC as part of the Advanced Investigator 267219 project and UK Science and Technology Research Council (STFC) No. ST/R000476/1), the SIMBAD database (CDS, Strasbourg, France), and the Gaia spacecraft data (European Space Agency) were used. This study is based in part on archival data obtained using the infrared telescope operated by the University of Hawaii under a cooperative agreement with NASA. Authors would like to thank the SAO/NASA ADS team for the development and support of this remarkable data system. We thank the anonymous referee for a thorough review and we highly appreciate the comments and suggestions, which significantly contributed to improving the quality of the paper.
References
- Abia, C., Palmerini, S., Busso, M., & Cristallo, S. 2012, A&A, 548, A55 [NASA ADS] [CrossRef] [EDP Sciences] [Google Scholar]
- Anders, E., & Grevesse, N. 1989, Geochim. Cosmochim. Acta, 53, 197 [Google Scholar]
- Asplund, M., Grevesse, N., Sauval, A. J., & Scott, P. 2009, ARA&A, 47, 481 [NASA ADS] [CrossRef] [Google Scholar]
- Ayres, T. R., & Johnson, H. R. 1977, ApJ, 214, 410 [NASA ADS] [CrossRef] [Google Scholar]
- Banerjee, D. P. K., Joshi, V., Evans, A., et al. 2018, MNRAS, 481, 806 [NASA ADS] [CrossRef] [Google Scholar]
- Barton, E. J., Yurchenko, S. N., & Tennyson, J. 2013, MNRAS, 434, 1469 [NASA ADS] [CrossRef] [Google Scholar]
- Bernath, P. F. 2015, Spectra of Atoms and Molecules, 3rd ed. (Oxford: Oxford University Press) [Google Scholar]
- Böhm-Vitense, E. 1992, Introduction to Stellar Astrophysics (Hoboken, NJ: Wiley) [Google Scholar]
- Briley, M. M., Smith, V. V., & Lambert, D. L. 1994, ApJ, 424, L119 [NASA ADS] [CrossRef] [Google Scholar]
- Caughlan, G. R., & Fowler, W. A. 1988, At. Data Nucl. Data Tables, 40, 283 [Google Scholar]
- Cesetti, M., Pizzella, A., Ivanov, V. D., et al. 2013, A&A, 549, A129 [NASA ADS] [CrossRef] [EDP Sciences] [Google Scholar]
- Charbonnel, C., & Zahn, J. P. 2007, A&A, 467, L15 [NASA ADS] [CrossRef] [EDP Sciences] [Google Scholar]
- Chase, M. W., Davis, C. A., Downey, J. R., et al. 1985, J. Phys. Chem. Ref. Data, 14 [Google Scholar]
- Clayton, D. D. 1983, Principles of Stellar Evolution and Nucleosynthesis (Chicago: University of Chicago Press) [Google Scholar]
- Coxon, J. A., & Hajigeorgiou, P. 2004, J. Chem. Phys., 121, 2992 [NASA ADS] [CrossRef] [Google Scholar]
- Coxon, J. A., & Hajigeorgiou, P. 2013, J. Quant. Spectr. Rad. Transf., 116, 75 [NASA ADS] [CrossRef] [Google Scholar]
- De Bievre, P., & Taylor, P. 1993, Int. J. Mass Spectr. Zon Proc., 123, 149 [NASA ADS] [CrossRef] [Google Scholar]
- de Vicente, P., Bujarrabal, V., Díaz-Pulido, A., et al. 2016, A&A, 589, A74 [NASA ADS] [CrossRef] [EDP Sciences] [Google Scholar]
- Evans, A., Pavlenko, Y. V., Banerjee, D. P. K., et al. 2019, MNRAS, 486, 3498 [NASA ADS] [CrossRef] [Google Scholar]
- Gamache, R. R., Roller, C., Lopes, E., et al. 2017, J. Quant. Spectr. Rad. Transf., 203, 70 [NASA ADS] [CrossRef] [Google Scholar]
- González Delgado, D., Olofsson, H., Kerschbaum, F., et al. 2003, A&A, 411, 123 [NASA ADS] [CrossRef] [EDP Sciences] [Google Scholar]
- Goorvitch, D. 1994, ApJS, 95, 535 [NASA ADS] [CrossRef] [Google Scholar]
- Gordon, I. E., Rothman, L. S., Hill, C., et al. 2017, J. Quant. Spectr. Rad. Transf., 203, 3 [Google Scholar]
- Hinkle, K., Wallace, L., & Livingston, W. 1995, PASP, 107, 1042 [NASA ADS] [CrossRef] [Google Scholar]
- Hirschi, R. 2014, Astrophys. Space Sci. Lib., 412, 157 [NASA ADS] [CrossRef] [Google Scholar]
- Irwin, A. W. 1981, ApJS, 45, 621 [NASA ADS] [CrossRef] [Google Scholar]
- Iwagami, N., Hashimoto, G. L., Ohtsuki, S., Takagi, S., & Robert, S. 2015, Planet. Space Sci., 113, 292 [NASA ADS] [CrossRef] [Google Scholar]
- Knacke, R. F., Gaustad, J. E., Gillett, F. C., & Stein, W. A. 1969, ApJ, 155, L189 [NASA ADS] [CrossRef] [Google Scholar]
- Li, G., Gordon, I. E., Rothman, L. S., et al. 2015, ApJS, 216, 15 [NASA ADS] [CrossRef] [Google Scholar]
- McDonald, I., Zijlstra, A. A., & Boyer, M. L. 2012, MNRAS, 427, 343 [NASA ADS] [CrossRef] [Google Scholar]
- McDonald, I., Zijlstra, A. A., Sloan, G. C., et al. 2016, MNRAS, 456, 4542 [NASA ADS] [CrossRef] [Google Scholar]
- Nakamura, T., Umeda, H., Nomoto, K., Thielemann, F.-K., & Burrows, A. 1999, ApJ, 517, 193 [NASA ADS] [CrossRef] [Google Scholar]
- Palmerini, S., La Cognata, M., Cristallo, S., & Busso, M. 2011, ApJ, 729, 3 [NASA ADS] [CrossRef] [Google Scholar]
- Pavlenko, Y. V. 1997, Astron. Rep., 41, 537 [NASA ADS] [Google Scholar]
- Pavlenko, Y. V. 2003, Astron. Rep., 47, 59 [NASA ADS] [CrossRef] [Google Scholar]
- Pavlenko, Y. V. 2008, Astron. Rep., 52, 749 [NASA ADS] [CrossRef] [Google Scholar]
- Pavlenko, Y. V. 2014, Astron. Rep., 58, 825 [NASA ADS] [CrossRef] [Google Scholar]
- Pavlenko, Y. V. 2019, Kinemat. Phys. Celest. Bodies, 35, 164 [NASA ADS] [CrossRef] [Google Scholar]
- Peterson, R. C., Dalle Ore, C. M., & Kurucz, R. L. 1993, ApJ, 404, 333 [NASA ADS] [CrossRef] [Google Scholar]
- Rayner, J. T., Cushing, M. C., & Vacca, W. D. 2009, ApJS, 185, 289 [NASA ADS] [CrossRef] [Google Scholar]
- Rinsland, C. P., & Wing, R. F. 1982, ApJ, 262, 201 [NASA ADS] [CrossRef] [Google Scholar]
- Romano, D., Matteucci, F., Zhang, Z. Y., Papadopoulos, P. P., & Ivison, R. J. 2017, MNRAS, 470, 401 [NASA ADS] [CrossRef] [Google Scholar]
- Rothman, L., Gordon, I., Barber, R., et al. 2010, J. Quant. Spectr. Rad. Transf., 111, 2139 [NASA ADS] [CrossRef] [Google Scholar]
- Ryabchikova, T., Piskunov, N., Kurucz, R. L., et al. 2015, Phys. Scr., 90, 054005 [NASA ADS] [CrossRef] [Google Scholar]
- Ryde, N., Edvardsson, B., Gustafsson, B., et al. 2009, A&A, 496, 701 [NASA ADS] [CrossRef] [EDP Sciences] [Google Scholar]
- Sauval, A. J., & Tatum, J. B. 1984, ApJS, 56, 193 [NASA ADS] [CrossRef] [Google Scholar]
- Schaefer, L., Lodders, K., & Fegley, B. 2012, ApJ, 755, 41 [NASA ADS] [CrossRef] [Google Scholar]
- Sneden, C. 1991, IAU Symp., 145, 235 [NASA ADS] [Google Scholar]
- Tennyson, J., & Yurchenko, S. N. 2012, MNRAS, 425, 21 [Google Scholar]
- Tennyson, J., Yurchenko, S. N., Al-Refaie, A. F., et al. 2016, J. Mol. Spectr., 327, 73 [NASA ADS] [CrossRef] [Google Scholar]
- Tinetti, G., Drossart, P., Eccleston, P., et al. 2018, Exp. Astron., 46, 135 [NASA ADS] [CrossRef] [Google Scholar]
- Tobin, T. L., Kemball, A. J., & Gray, M. D. 2019, ApJ, 871, 189 [NASA ADS] [CrossRef] [Google Scholar]
- Vlemmings, W. H. T., Humphreys, E. M. L., & Franco-Hernández, R. 2011, ApJ, 728, 149 [NASA ADS] [CrossRef] [Google Scholar]
- Wollman, E. R., Geballe, T. R., Greenberg, L. T., Holtz, J. Z., & Rank, D. M. 1973, ApJ, 184, L85 [NASA ADS] [CrossRef] [Google Scholar]
- Yoon, D.-H., Cho, S.-H., Kim, J., Yun, Y. j., & Park, Y.-S. 2014, ApJS, 211, 15 [NASA ADS] [CrossRef] [Google Scholar]
All Tables
Relative isotopologue abundances of Si obtained from the fits to the first overtone bands of SiO observed in the atmosphere of HD 196610.
All Figures
![]() |
Fig. 1 Positions of the CO isotopologue bands in the observed spectrum of Arcturus attributed to Hinkle et al. (1995). Atomic absorption lines from VALD (Ryabchikova et al. 2015) across the spectral region are also shown. |
| In the text | |
![]() |
Fig. 2 Upper panel: dependence of the minimisation parameter S computed for different line lists on the carbon abundance in the atmosphere of Arcturus. The adopted carbon abundance is shown above the correspondent curve. Lower panel: best fit to the observed spectrum computed with log N(C) = − 3.78 and 12C/13C = 10. Spectral ranges containing artefacts which were missed by minimisation procedure are marked by thick blue lines. |
| In the text | |
![]() |
Fig. 3 Upper panel: dependence of the minimisation parameter computed for different spectral ranges on
|
| In the text | |
![]() |
Fig. 4 Upper panel: dependence of the minimisation parameter computed for different spectral ranges on
|
| In the text | |
![]() |
Fig. 5 Upper panel: minimisation parameter S computed for different |
| In the text | |
![]() |
Fig. 6 Upper panel: minimisation parameter S
computed on a grid of |
| In the text | |
Current usage metrics show cumulative count of Article Views (full-text article views including HTML views, PDF and ePub downloads, according to the available data) and Abstracts Views on Vision4Press platform.
Data correspond to usage on the plateform after 2015. The current usage metrics is available 48-96 hours after online publication and is updated daily on week days.
Initial download of the metrics may take a while.
















