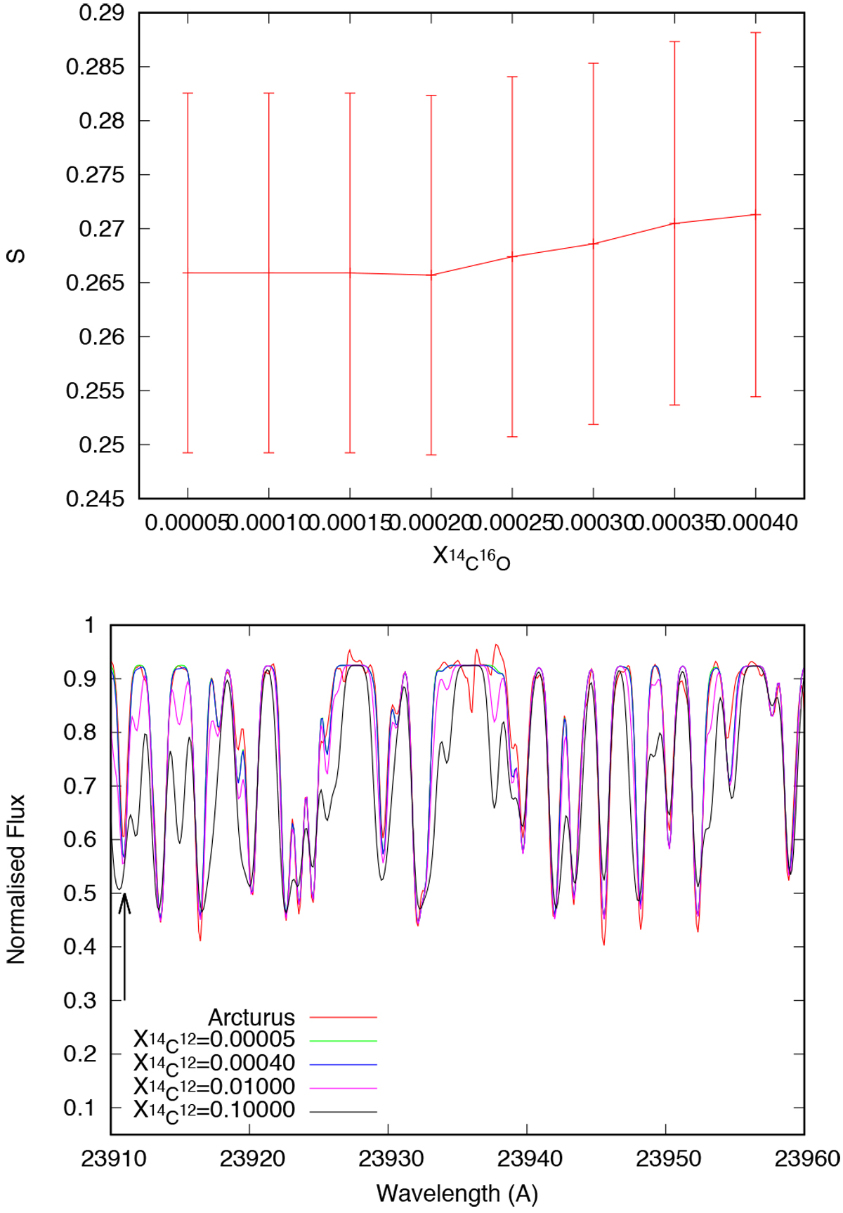
Fig. 5

Upper panel: minimisation parameter S computed for different .
Lower panel: best fit to the observed spectrum computed for
= 0.0005 and 0.00040. Fits with values
= 0.01 ad 0.01 are shown only for the evaluation purposes. The arrow at 23 911 Å marks the position of the head of the
Δv = 2, v′ = 0 band of the 14C16O molecule. Black thick lines mark missed spectral features of telluric spectrum.
Current usage metrics show cumulative count of Article Views (full-text article views including HTML views, PDF and ePub downloads, according to the available data) and Abstracts Views on Vision4Press platform.
Data correspond to usage on the plateform after 2015. The current usage metrics is available 48-96 hours after online publication and is updated daily on week days.
Initial download of the metrics may take a while.