| Issue |
A&A
Volume 633, January 2020
|
|
|---|---|---|
| Article Number | A8 | |
| Number of page(s) | 20 | |
| Section | Planets and planetary systems | |
| DOI | https://doi.org/10.1051/0004-6361/201936826 | |
| Published online | 20 December 2019 | |
Dayside nitrogen and carbon escape on Titan: the role of exothermic chemistry
1
Space Science Institute, Macau University of Science and Technology,
Macau,
PR China
e-mail: cuijun7@mail.sysu.edu.cn
2
School of Atmospheric Sciences, Sun Yat-Sen University,
Zhuhai,
Guangdong,
PR China
3
National Astronomical Observatories, Chinese Academy of Sciences,
Beijing,
PR China
4
Chinese Academy of Sciences Center for Excellence in Comparative Planetology,
Hefei,
Anhui,
PR China
5
Université de Reims Champagne Ardenne, CNRS, GSMA UMR 7331,
51097
Reims,
France
6
Yunnan Astronomical Observatory, Chinese Academy of Sciences,
Kunming,
Yunnan,
PR China
7
Institute of Geology and Geophysics, Chinese Academy of Sciences,
Beijing,
PR China
Received:
2
October
2019
Accepted:
16
November
2019
Context. Atmospheric escape has an appreciable impact on the long-term climate evolution on terrestrial planets. Exothermic chemistry serves as an important mechanism driving atmospheric escape and the role of such a mechanism is of great interest for Titan due to its extremely complicated atmospheric and ionospheric composition.
Aims. This study is devoted to a detailed investigation of neutral N and C escape on the dayside of Titan, which is driven by exothermic neutral–neutral, ion–neutral, and dissociative recombination (DR) reactions. It was carried out based on the extensive measurements of Titan’s upper atmospheric structure by a number of instruments on board Cassini, along with an improved understanding of the chemical network involved.
Methods. A total number of 14 C- and N-containing species are investigated based on 146 exothermic chemical reactions that release hot neutrals with nascent energies above their respective local escape energies. For each species and each chemical channel, the hot neutral production rate profile is calculated, which provides an estimate of the corresponding escape rate when combined with the appropriate escape probability profile obtained from a test particle Monte Carlo model.
Results. Our calculations suggest a total N escape rate of 9.0 × 1023 s−1 and a total C escape rate of 4.2 × 1023 s−1, driven by exothermic chemistry and appropriate for the dayside of Titan. The former is primarily contributed by neutral-neutral reactions, whereas the latter is dominated by ion–neutral reactions; however, contributions from neutral–neutral and DR reactions to the latter cannot be ignored either. Our calculations further reveal that the bulk of N escape is driven by hot N(4S) production from the collisional quenching of N(2D) by ambient N2, while C escape is mainly driven by hot CH3 and CH4 production via a number of important ion–neutral and neutral–neutral reactions.
Conclusions. Considered in the context of prior investigations of other known escape mechanisms, we suggest that exothermic chemistry is likely to contribute appreciably to non-thermal C escape on the dayside of Titan, although it plays an insignificant role in N escape.
Key words: planets and satellites: atmospheres / planets and satellites: individual: Titan
© ESO 2019
1 Introduction
Solar Extreme Ultraviolet (EUV) and X-ray photons deposit a substantial amount of energy in a dayside planetary upper atmosphere, causing the dissociation and ionization of ambient neutrals and initializing a complicated chemical network, including neutral–neutral, ion–neutral, and dissociative recombination (DR) reactions (e.g. Fox et al. 2008). The chemical products from these reactions may gain sufficient energy and escape to the interplanetary space (e.g. Johnson et al. 2008).
Titan, the largest satellite of Saturn, has a thick and permanent atmosphere composed of N2, CH4, and H2, along with various hydrocarbons, nitriles, and oxides as trace species (e.g. Waite et al. 2005; Niemann et al. 2005). Considerable neutral escape is thought to occur on Titan (e.g. Strobel & Cui 2014). For neutral escape driven by exothermic chemistry, Cravens et al. (1997) predicted pre-Cassini escape rates of 2.5 × 1025 s−1 for total N and 4 × 1025 s−1 for total C, whereas De La Haye et al. (2007) estimated the post-Cassini escape rates to be 8.3 × 1024 and 7.2 × 1024 s−1, respectively. In both studies, the ideal exobase approximation (e.g. Levine et al. 1978; Wallis 1978) was adopted to calculate the escape rates.
Other non-thermal or thermal escape mechanisms have also been explored on Titan (e.g. Johnson et al. 2008; Jiang et al. 2017). Shematovich et al. (2003) obtained a total N escape rate of 9.2 × 1024 s−1 due to N2 dissociation by solar EUV and X-ray photons, as well as photoelectrons. Atmospheric sputtering was estimated to cause a total N escape rate of 1024 −1025 s−1 (Lammer & Bauer 1993; Shematovich et al. 2001, 2003; Michael et al. 2005) and a total C escape rate an order of magnitude lower (Gu et al. 2019). While the thermal evaporation of N-containing species is negligible on Titan, the same process is likely to drive strong C escape at a rate of ~ 1027 s−1 in the form of slow hydrodynamic escape of CH4 (e.g. Yelle et al. 2008; Strobel 2009, 2012a,b; Cui et al. 2012), despite the ongoing debate over such a conclusion (e.g. Tucker & Johnson 2009; Bell et al. 2010, 2011; Schaufelberger et al. 2012).
With the accumulation of extensive measurements for Titan’s atmospheric neutral and ion densities (e.g. Cui et al. 2009b,a; Magee et al. 2009; Mandt et al. 2012), along with the improved understanding of Titan’s atmospheric and ionospheric chemistry (e.g. Wilson & Atreya 2004; Vuitton et al. 2006a,b, 2007, 2008, 2019; Lavvas et al. 2008a,b; Krasnopolsky 2014), it is now timely to perform a state-of-the-art evaluation of neutral escape on this interesting body as driven by exothermic chemistry. We calculate in Sects. 2 and 3 the production rates of relevant hot neutrals and their escape probabilities. The escape rates are then determined in Sect. 4, where we also discuss the relative contributions of various chemical channels. Finally, we discuss our results and end with concluding remarks in Sect. 5. If not stated explicitly, hot neutral species mentioned throughout the remaining of the paper always refer to those with nascent kinetic energies above the respective local escape energies.
2 Hot neutral production rates
Due to the relatively low gravity on Titan compared to other terrestrial planets, a large number of neutral species could gain sufficient kinetic energy from exothermic chemistry and escape. Here we consider 14 N- and C-containing species including N(4S), N(2D), 3CH2, CH3, NH, CH4, NH3, C2H2, C2H3, HCN, C2H4, N2, C2H5, and C2H6 in the order of increasing molecular mass up to 30 Da. The respective range of escape energy is from 0.32 eV for N(4S), N(2D), and 3CH2 to 0.68 eV for C2H6, all refereed to the exobase at an altitude of about 1500 km (Westlake et al. 2011; Cui et al. 2011). Other species lighter than 30 Da and all species heavier than 30 Da are not considered in the present investigation, either because their production rates are much lower or because they are more strongly bound by Titan’s gravity.
In previous studies of neutral C and N escape driven by exothermic chemistry, the pre-Cassini investigation of Cravens et al. (1997) included CH, 3CH2, CH3, CH4, C2H, C2H2, C2H3, C2H4, C3H2, C3H3, C4H3, C4H4, C5H4, C5H5, N(4S), N(2D), NH, CN, HCN, and N2, whereas theearly post-Cassini investigation of De La Haye et al. (2007) included 3CH2, CH3, CH4, C2H4, C2H5, C2H6, N(4S), NH, N2, and HCN. All species considered by De La Haye et al. (2007) have been properly included in the present study as well. When compared to Cravens et al. (1997), nine species including CH, C2H, CN, and six additional species heavier than 30 Da are not considered here because their contributions to total C or N escape are negligible. The H and H2 escape rates due to exothermic chemistry were also evaluated by De La Haye et al. (2007), but these escape rates are far less than the thermal evaporation rates (e.g. Cui et al. 2008; Hedelt et al. 2010; Strobel 2010).
The calculations of the hot neutral production rates are based on the combined list of exothermic chemical reactions presented inthe literature (Cravens et al. 1997; De La Haye et al. 2007; Lavvas et al. 2008a,b; Vuitton et al. 2007, 2019). For each reaction, the kinetic energy release is evaluated from the enthalpy difference at room temperature between the reactants and products both assumed to be in their ground states (Baulch et al. 2005). The energy partition between different products is taken to be inversely proportional to the molecular mass. Here we consider a subset of these reactions that produce candidate hot neutrals with kinetic energies exceeding the respective escape energies, as listed in Table A.1 including 80 neutral–neutral reactions (of which 15 are three-body reactions), 31 ion–neutral reactions, and 35 DR reactions. The atmospheric and ionospheric chemical network implemented here is far more complicated and detailed than those adopted in Cravens et al. (1997) and De La Haye et al. (2007).
For both neutral–neutral and ion–neutral reactions, rate coefficients appropriate for a fixed temperature of 150 K are adopted (e.g. Snowden et al. 2013). The rate coefficient for a three-body reaction, k3, is expressed as
(1)
where [M] is the density of the background neutral species assumed to be exclusively N2, k0 and k∞ are the termolecular and bimolecular rate constants, kR is an additional rate constant introduced to include radiative association (Vuitton et al. 2012), the non-dimensional parameter, X, is given by X = F∕(1 − F) with F defined as
![\begin{equation*} \log{F}=\frac{\log(F_C)}{1+\left[\frac{\log{[P_r]}+C}{N-0.14(\log{[P_r]}+C)}\right]^2}\nonumber. \end{equation*}](/articles/aa/full_html/2020/01/aa36826-19/aa36826-19-eq2.png)
In the aboveexpression, Pr = k0[M]∕k∞, N = 0.75 − 1.27logFC, and C = −0.4 − 0.67logFC with FC being a fixed parameter for a specific reaction. For several three-body reactions with no available information on radiative association (Rd 1, Rk 1, and Rm 1 in Table A.1), the conventional Lindemann-Hinshelwood expression is used with kR = 0 and X = 1 in Eq. (1) (e.g. Hörst et al. 2008). A further exception is the three-body reaction Rk 2 in Table A.1 for which a constant value of k3 [M] ≈ 2 × 10−15 cm3 s−1 is used following Lavvas et al. (2008a) independent of altitude. Finally, the DR rate coefficient is usually assumed to be inversely proportionalto a certain power of the electron temperature (e.g. Viggiano et al. 2005), with the power index in the range of 0.39−1.2 (see Table A.1).
The background neutral atmosphere of Titan is displayed in Fig. 1 for the three most abundant species, N2, CH4, and H2, over the altitude range of 800−2000 km based on the dayside averaged Cassini Ion Neutral Mass Spectrometer (INMS) measurements in the closed source neutral (CSN) mode (Waite et al. 2005). All dayside INMS CSN data accumulated during 30 Cassini flybys with Titan, from TA on 26 October 2004 to T107 on 10 December 2014, are included and the neutral densities are extracted following the procedure described in Cui et al. (2008, 2012). The outbound density data are excluded to avoid possible contamination by the INMS wall effects (Cui et al. 2009b). The mixing ratio profiles for various neutral reactants necessary for determining the hot neutral production rates are displayed in Fig. 2, adapted from the model results of Lavvas et al. (2008a,b) up to an altitude of 1300 km. These profiles havebeen updated with the improved chemical network in Titan’s atmosphere and ionosphere, and found to be in reasonable agreement with the latest Cassini INMS measurements. The species displayed in Fig. 2 include 9 hydrocarbons (C2H2, C2H4, C2H6, C3H2, CH3CCH, CH2CCH2, C3H6, C3H8, C4H10) in panel a, 8 nitriles (NH3, HCN, CH2NH, CH3CN, C2H3CN, C2H5CN, HC3N, HC5N) in panel b, and 25 radicals (H, C, CH, 3CH2, 1CH2, CH3, C2, C2H, C2H3, C2H5, C3H3, C3H5, C3H7, C4H, C4H3, C4H5, C4H9, C6H, C6H5, CN, C2N, N(4S), N(2D), NH, NH2) in panels c and d, respectively. The mixing ratio profiles displayed in the figure are extrapolated to higher altitudes assuming diffusive equilibrium. Unlike ions (see below), the densities of most neutral reactants involved here are not directly measured by the INMS instrument (especially radicals) and, accordingly, we choose to use directly the model results.
The density profiles of ion reactants used in this study are shown in Fig. 3, extracted from the Cassini INMS measurements in the open source ion (OSI) mode (Mandt et al. 2012) according to the mass-to-charge ratio, M/Z. All dayside INMS OSI data from TA to T107 are included. The identification of the ion species follows the scheme of Vuitton et al. (2007): M/Z = 14 for N+, 15 for CH
, 16 for CH
, 17 for CH
, 18 for NH
, 26 for CN+, 27 for C2H
and HCN+, 28 for C2H
, N
, and HCNH+, 29 for C2H
and N2H+, 30 for C2H
, 31 for C2H
, 32 for CH3NH
, 38 for CNC+, 40 for C3H
, 41 for C3H
, 42 for C3H
, 43 for C3H
, 44 for C3H
, 45 for C3H
, 51 for C4H
, 57 for C4H
, and 63 for C5H
, respectively, all in unit of Da. For those channels sampling more than one ion species, the percentage contributions as a function of altitude are taken from Vuitton et al. (2019). For each species in Fig. 3, the raw INMS measurements (solid circles) show considerable variability, and a smooth empirical profile (solid line) based on the third-order polynomial fitting to logarithmic density is used instead.
The electron density and temperature profiles, as displayed in Fig. 4, are based on the Cassini Radio and Plasma Wave Science (RPWS) Langmuir Probe (LP) measurements made over the dayside of Titan (Wahlund et al. 2005). We note that the electron density is not necessarily identical to the total ion density due to the presence of positive ions heavier than 100 Da not sampled by the INMS and also due to the presence of negative ions (e.g. Wahlund et al. 2009). In Fig. 4, the empirical electron density profile is obtained in a similar manner as the ion density profiles, whereas the empirical electron temperature profile is obtained by using the functional form of Ergun et al. (2015).
The total hot neutral production rates are calculated via the neutral, ion, and electron density profiles (in Figs. 1–4) and displayed in Figs. 5 and 6 for the 14 candidate escaping species quoted above. The contributions from all the 146 independent chemical channels listed in Table A.1 are shown separately in Figs. A.1 and A.2, where for clarification, the neutral-neutral, ion-neutral, and DR reactions are indicated by the solid, dashed, and dash-dotted lines, respectively. For each species, we identify the dominant production channels, which are addressed in detail below. Whenever possible, we compare our results to those of De La Haye et al. (2007) in terms of the relative importance of different channels in hot neutral production.
![]() |
Fig. 1 Background neutral atmosphere of Titan for the three most abundant species, N2, CH4, and H2, over the altitude range of 800−2000 km based on dayside averaged Cassini INMS measurements in the CSN mode (Waite et al. 2005). |
![]() |
Fig. 2 Mixing ratio profiles of various neutral species in Titan’s dayside upper atmosphere including hydrocarbons (a), nitriles (b), and radicals (c and d), adapted from model results of Lavvas et al. (2008a,b) at 800−1300 km which have been updated with the improved chemical network in Titan’s atmosphere and ionosphere. These mixing ratio profiles are extrapolated to higher altitudes assuming diffusive equilibrium (indicated by the dashed lines). |
N(4S) and N(2D)
The chemical production of hot N in the form of ground state N(4S) mainly occurs via the neutral–neutral reactions
(2)
followed by the ion–neutral reaction
(3)
of which Ra1 and Ra 2 dominate above 950 km, whereas Ra 3 dominates at lower altitudes. Ra 1 essentially represents the collisional quenching of N(2D) to ground state N(4S). The production of hot N in the form of excited state N(2D) is of minor importance, mainly via two DR reactions
(4)
which have comparable reaction rates at all altitudes of interest here.
![]() |
Fig. 3 Density profiles of ion reactants involved in this study, based on Cassini INMS measurements in the OSI mode (solid circles) according to the mass-to-charge ratio, M/Z (Mandt et al. 2012). Also shown are the smooth empirical profiles based on the third-order polynomial fittings to logarithmic density (solid lines). |
![]() |
Fig. 4 Electron density and temperature profiles based on the Cassini RPWS LP measurements (crosses) averaged over the dayside of Titan (Wahlund et al. 2005). Empirical electron density profile (solid blue) is obtained in a similar manner as the ion density profiles in Fig. 3, whereas the empirical electron temperature profile (solid red) is obtained by using the functional form of Ergun et al. (2015). |
![]() |
Fig. 5 Total hot neutral production rates for all the N-containing species considered in this study. |
NH and NH3
The dominant channels of hot NH production are two neutral-neutral reactions
(5)
The production rate of hot NH3 is substantially lower, mainly contributed by the DR reaction
(6)
with a production rate at the exobase nearly three orders of magnitude smaller than the hot NH production rate at the same altitude. Note that Rf2 and Rc 3 also produce hot CH3 and C2H4 in Titan’s upper atmosphere (see below). Rc6 in Table A.1 does not contribute to NH3 escape because the respective kinetic energy of 0.34 eV is below the NH3 escape energy of 0.39 eV near Titan’s exobase.
HCN
HCN is an effective coolant of Titan’s upper atmosphere (Yelle 1991) and its abundance was recently obtained by Cui et al. (2016) at 1000−1400 km based on the Cassini INMS measurements in the CSN mode. For hot HCN production, the most important channel below 1400 km is the ion-neutral reaction
(7)
which is due to the relatively high abundance of HCNH+ in Titan’s ionosphere (Cravens et al. 2005). Above 1400 km, hot HCN production is mainly contributed by the charge exchange reaction
(8)
We also note that the ion–neutral reaction
(9)
is likely the most important channel producing hot HCN below 800 km but this reaction should not contribute to HCN escape as the escape probability at such low altitudes is vanishingly small (see Sect. 3). De La Haye et al. (2007) identified the DR reaction
(10)
and the neutral–neutral reaction
(11)
to be most important in hot HCN production above and below 1070 km, respectively, but these two reactions do not driveHCN escape since the corresponding nascent kinetic energies are below the local escape energy.
N2
The dominant channel for hot N2 production is the collisional quenching reaction Rj2 (or Ra1 quoted above). Such a reaction is seriously reduced below 900 km and a number of ion–neutral reactions become more important with
(12)
providing the highest hot N2 production rates near the lower boundary. The importance of Rj 2 (or Ra 1) was also reported by De La Haye et al. (2007). However, those authors identified the ion–neutral reaction
(13)
to be more important above 1250 km, while such a reaction is not considered here because the associated N2 products have insufficient energies for escape. Meanwhile, De La Haye et al. (2007) identified the collisional quenching reaction
(14)
to be dominant near and below 1000 km but similarly, the kinetic energy release of this reaction is too low to drive N2 escape on Titan.
3CH2
Two reactions make the most important contributions to hot 3CH2 production, with the DR reaction
(15)
dominating above 970 km and the ion–neutral reaction
(16)
dominating at lower altitudes, respectively. Rb5 is also an important channel for the chemical loss of C2H
, making roughly one third of its total chemical loss at a representative altitude of 1050 km (Vuitton et al. 2007).
CH3
The production of hot CH3 in Titan’s dayside upper atmosphere is very complicated and contributed by a large number of reactions. Below 1100 km, the dominant channel is the ion–neutral reaction
(17)
whereas at higher altitudes, two neutral–neutral reactions
(18)
and another DR reaction, which is Rb5 quoted above, become near equally important.
CH4
Hot CH4 production occurs mainly via the ion–neutral reaction
(20)
followed by 3 additional ion–neutral reactions
(21)
as well as the neutral–neutral reaction
(22)
of which the last one also contributes to hot N(4S) production near Titan’s exobase. According to Vuitton et al. (2007), the former 4 reactions are important chemical loss channels of CH
and C2H
in Titan’s ionosphere. A similar reaction, Re14 in Table A.1, plays a minor role due to the relatively low rate coefficient (McEwan & Anicich 2007). For comparison, De La Haye et al. (2007) identified the DR reaction Re 17 to be dominant but this reaction is unimportant according to our calculations. The difference is partly due to the overestimate of the CH
abundance near Titan’s exobase by De La Haye et al. (2007), essentially based on the pre-Cassini model results of Keller et al. (1992), and partly due to the extremely high DR coefficient used by those authors, more than a factor of 10 higher than our value (see Table A.1). For the four ion–neutral reactions listed in Eqs. (20) and (21), the relative contributions from reactions Re 12 and Re 15 comparable to our estimates were obtained by De La Haye et al. (2007) whereas reactions Re 11 and Re 13 were not considered by those authors. The neutral–neutral reaction Re7 was also not included in their study.
C2H2
Hot C2H2 is mainly produced via the neutral–neutral reaction
(23)
above 1150 km and via another neutral–neutral reaction
(24)
at lower altitudes. Rg7 is also capable of driving CH4 escape on Titan.
C2H3
The production of hot C2H3 is dominated by the DR reaction
(25)
at all altitudes of interest here, which is also the third most important channel for 3CH2 production above 1100 km. In addition, the neutral–neutral reaction
(26)
is an important channel producing hot C2H3 at low altitudes and does not contribute appreciably to C2H3 escape on Titan.
C2H4
Hot C2H4 production in Titan’s dayside upper atmosphere is mainly driven by two neutral–neutral reactions
(27)
and two ion–neutral reactions
(28)
The relative importance of different reactions vary with altitude, with Rk 9 dominating above 1100 km, Rk24 at 960–1100 km, and Rk3 below 960 km, respectively. Rk3 and Rk9 also contribute to hot CH3 and CH4 production, though of minor importance only.
C2H5
The production of hot C2H5 occurs mainly via two DR reactions
(29)
and one neutral–neutral reaction
(30)
However, hot C2H5 production below 930 km is dominated by the three-body reaction
(31)
Clearly, C2H5 escape on Titan is primarily driven by the former three reactions. We note also that Rl 7 makes only a minor contribution to hot CH3 production. Our calculations highlight the impact of radiative association on hot neutral production in the tenuous part of Titan’s upper atmosphere. For instance, the conventional Lindemann-Hinshelwood formalism that does not include radiative association predicts a C2H5 production rate via Reaction Rl1 about 4 orders of magnitude too low near the exobase.
C2H6
Hot C2H6 production at all altitudes is dominated by the three-body reaction
(32)
followed by the DR reaction
(33)
In contrast, De La Haye et al. (2007) reported the latter reaction to be dominant at high altitudes as those authors did not include radiative association and, therefore, seriously underestimated hot C2H6 production near and above the exobase.
Finally, it is noteworthy that in most cases, three-body reactions are only important in the relatively dense regions of Titan’s upper atmosphere where escape becomes difficult (see Sect. 3). Accordingly, their contributions to total N escape (in the form of N2 recoils) is ignored in Table A.1 and throughout this paper. An exception is reaction Rm 2 which dominates C2H6 production at sufficiently high altitudes, but this reaction should not contribute substantially to N escape in the form of N2 recoils because the respective production rate is well below the N2 production rate via the collisional quenching reaction Rj2 (see above).
3 Hot neutral escape probabilities
For each species discussed in Sect. 2, the respective escape probability in Titan’s dayside upper atmosphere is required to rigorously calculate the escape rate. The ideal exobase approximation was adopted by both Cravens et al. (1997) and De La Haye et al. (2007), essentially reflecting a sharp transition in escape probability from 0 to 0.5 at the exobase. Here, to capture the realistic behavior of escaping neutrals over a broad transition region near the exobase, a more sophisticated test particle Monte Carlo model is constructed to obtain the escape probabilities of hot neutrals produced via each exothermic chemical channel. The model is analogous to previous models of atomic O escape on the dayside of Mars (e.g. Fox & Hać 2009, 2014, 2018), and is modified from our existing model of atmospheric sputtering on Titan (Gu et al. 2019). We also mention that analytic models capable of capturing the near exobase transition of escape probability in an approximate manner have also been proposed such as the single collision model of Cravens et al. (2017) and the multiple collision model of Cui et al. (2019).
The plane parallel background atmosphere used in this study is displayed in Fig. 1, over the altitude range of 800−2000 km and containing N2, CH4, and H2. Below 800 km, the mean free path for collision is sufficiently short that the energy of a typical hot neutral is degraded rapidly to the local thermal energy over a length scale not exceeding 0.5 km, a situation consistent with local thermalization. At 2000 km, the collision probability drops to around 1%, implying that Titan’s atmosphere above this altitude does not exert an appreciable influence on the derived escape probabilities. For the energy range encountered in this study, inelastic collision processes such as excitation and dissociation could be safely ignored. Similar to De La Haye et al. (2007), the collisions between hot neutrals and ambient neutrals are modeled under the hard sphere approximation for elastic collisions, with the appropriate hard sphere radii of relevant neutrals estimated from existing laboratory measurements of pure gas viscosity (e.g. Flynn & Thodos 1961; Fenghour et al. 1995; Rowley et al. 2003). Whenever no viscosity measurements have been made for a certain species, its hard sphere radius is either approximated by the known radius of a species in the same chemical group or taken from the American Chemical Society website on http://center.acs.org/periodic/tools/PT.html.
At a given altitude, a hot neutral particle is released in a random direction, assuming isotropic production and with a prescribed nascent velocity depending on the chemical channel involved. The trajectory of this particle is followed under the influence of Titan’s gravity and the position where it makes a further collision with ambient neutrals is determined in a stochastic manner with the aid of the known information of the collision cross section and the known structure of the background atmosphere. The collision partner, N2, CH4, or H2, is also decided stochastically based on the column density ratio between different ambient species over the path length of hot neutral free propagation. The post-collision velocities of both the hot neutral and the ambient neutral could then be favorably determined from the momentum and energy conservation laws, where the pre-collision velocity of the ambient neutral is assumed to be zero since its thermal energy (Snowden et al. 2013) and wind-driven bulk kinetic energy (Müller-Wodarg et al. 2008) are both well below the kinetic energy release from exothermic chemistry. The post-collision velocity direction of the hot neutral is also chosen randomly under the assumption of isotropic scattering. The above procedure is repeated until one of the following conditions is satisfied: (1) when the hot neutral reaches the lower boundary or when its kinetic energy falls below the local escape energy via a cascade of collisions anywhere within the simulation box, it is no longer traced in our model calculations; (2) when the hot neutral reaches the upper boundary, it is either assumed to be lost from the atmosphere or reflected downward elastically, depending on whether its kinetic energy is above or below the local escape energy.
The entire background atmosphere of Titan is divided into 17 altitude grids, each covering a depth of 50 km, to allow the full altitude profile of escape probability to be constructed. For each species, we consider a range of energy (see Table A.2) that incorporates the range of nascent kinetic energy for various source reactions (see Sect. 2). For a unique combination of the nascent energy and the altitude of production, a total number of 100 000 hot neutrals are modelled independently to achieve statistically robust results for each species and each reaction.
In Fig. 7, we show the escape probability as a function of altitude for each candidate escaping species quoted in Sect. 2 and for a sequence of nascent kinetic energy quoted in the figure legend. Several interesting features can immediately be seen in the figure. First, all profiles reveal the presence of a broad transition region with a depth of nearly 200 km around the ideal exobase at 1500 km (Westlake et al. 2011). The escape probability is vanishingly small at the lower end of the transition region and is around 0.5 at the upper end. The latter is consistent with the expected scenario that nearly all particles moving upward are able to escape (e.g. Cravens et al. 1997). The actual escape probability at the upper end might be modestly different from the ideal value of 0.5 due to non-negligible backscattering. Second, the escape probability increases with increasing energy at all altitudes, which is interpreted by the fact that a more energetic particle allows a greater number of collisions before its energy falls below the local escape energy (e.g. Cui et al. 2019). Third, the escape probability also varies from species to species due to the difference in collision cross section. As intuitively expected, the escape probabilities of small hot particles tend to be higher than those of large hot particles as small ones are less likely to collide with ambient neutrals (e.g. Fox & Hać 2014).
Despite the variations with both energy and collision cross section, we find that the modelled altitude profile of the escape probability, ζesc, could be reasonably described by a common functional form of
(34)
where z is the altitude in km, a1, a2, and a3 are free parameters to be constrained by the Monte Carlo model results. As motivated by Fig. 7, we adopt a common depth of 160 km for the transition region for all species and at all nascent energies. In the equation, a2 denotes the central location of the transition region, whereas a3 + a1 represents the asymptotic escape probability at sufficiently high altitudes. Ideally, one may expect that the asymptotic escape probability at low altitudes, given by a3 − a1 according to Eq. (34), should be zero, thus implying a1 = a3. However, such a condition does not always lead to satisfactory fits to the modelled escape probability profiles. Accordingly, Eq. (34) cannot be extrapolated to arbitrarily low altitudes where the predicted escape probability could sometimes be negative. The best-fit profiles of escape probability are indicated by the dashed lines in Fig. 7 for reference.
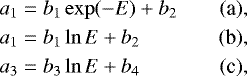
Since the location of the transition region appears to be energy independent according to Fig. 7, we assume for simplicity a constant value of a2 for any given species, as listed in Table A.2. a1 and a3 are clearly energy dependent and described in this study by
(35)
where E is the nascent energy of a hot particle in eV, b1, b2, b3, and b4 are free parameters to be constrained by the values listed in Table A.2. Note that Eq. (35a) is used to describe the a1 parameters of relatively light species including N(4S), N(2D), 3CH2, CH3, CH4, NH, and NH3, whereas Eq. (35b) is used for heavier species considered in this study. Combining Eqs. (34) and (35), we are able to obtain the escape probability profile for any candidate escaping species and at any nascent energy.
![]() |
Fig. 7 Escape probability profiles for various hot neutrals and covering the range of nascent kinetic energy encountered in this study. Crosses are adapted from test particle Monte Carlo calculations whereas the dashed lines indicate the best empirical fits (see text for details). |
4 Neutral escape rates driven by exothermic chemistry
The escape rate for a given species and a given chemical channel in Titan’s dayside upper atmosphere, as listed in Table A.1, is estimated via
(36)
where RT is Titan’s solid body radius, Phot is the hot neutral production rate, and the other parameters are defined above. Combining the calculations for all the 14 species and all the 146 independent chemical channels, we are able to obtain the total C and N escape rates, as well as determine the relative contribution of each channel. For reference, we provide in Table A.1 the escape rates of all neutral species via all chemical channels involved in this study, along with the respective fractional contributions to total C or N escape. We caution that a channel with a large column integrated hot neutral production rate does not necessarily contribute substantially to neutral escape since peak production may occur at low altitudes where the escape probability is small.
Table A.1 reveals that for N escape, the most important channel is the collisional quenching reaction Ra 1 which contributes to 80% of total N escape via exothermic chemistry, in the form of both hot N(4S) and hot N2 (note that the N2 escape rate listed in Table A.1 for Rj2 is multiplied by 2 to represent the net N escape rate). The second most important channel is the neutral–neutral reaction Ra 2 that produces hot N(4S) and accounts for 12% of total N escape. Two other neutral–neutral reactions, Rc 3 and Rc 5, contribute non-negligibly to 8% of total N escape by producing hot NH. It is interesting to note that the contribution from hot NH production to total N escape is higher than the contribution from hot N2 production. This is an unexpected result that was not reported by Cravens et al. (1997) and De La Haye et al. (2007) despite both studies having included NH-related chemistry. Ion-neutral and DR reactions are less important than neutral-neutral reactions in driving N escape. Specifically, the most important ion–neutral reaction is Ra 3 and the most important DR reaction is Ra5, but they only contribute to 0.6 and 2.6% of total N escape by producing either hot N(4S) or hot N(2D).
Total C escape in Titan’s dayside upper atmosphere driven by exothermic chemistry occurs in a more complicated manner, with 16 reactions making fractional contributions above 1% including 6 neutral–neutral, 7 ion–neutral and 3 DR reactions. The most important channel is the ion–neutral reaction Re 13 producing hot CH4 and Table A.1 indicates that this reaction contributes to about 30% of total C escape. The next two important channels are the neutral–neutral reactions Re7 and Re12 that also produce hot CH4, each contributing to 9% of total C escape. In addition, several other channels of hot CH3 and CH4 production account for a non-negligible fraction of total C escape no less than 5%, mainly via 2 neutral–neutral reactions Rd 17, Rd 19, and 2 ion–neutral reactions Rd25 and Re11. Reaction Re7 is also the second most important channel driving total N escape (Ra 2 quoted above) since this reaction produces both hot CH4 and hot N(4S). The contribution from DR reactions to total C escape is less important, mainly via Rb 5 (which is also Rd 29 in Table A.1) producing both hot 3CH2 and hot CH3, and via Re19 producing hot CH4.
The C and N escape rates due to the production of different hot neutral species are compared schematically in Fig. 8, with the contributions from neutral–neutral, ion–neutral, and DR reactions indicated separately. The total dayside N escape rate is 9.1 × 1023 s−1 with more than 95% from neutral–neutral reactions and the remaining fraction partitioned between ion–neutral and DR reactions. The total dayside C escape rate is 4.3 × 1023 s−1 with 60% from ion–neutral reactions, 29% from neutral–neutral reactions, and the remaining 11% from DR reactions, respectively. Our calculations indicate that about 86% of total N escape is contributed by hot N(4S) and N(2D) production, followed by nearly 8% from hot NH production and 6% from hot N2 production. We note that ion–neutral reactions do not contribute to NH escape and DR reactions do not contribute to N2 escape according to Fig. 8. Total C escape is partitioned mostly among three species: 63% from CH4 escape, 27% from CH3 escape, and 4% from 3CH2 escape. The combined fractional contribution from the remaining C-containing species is only 6%.
For all the three categories of exothermic chemistry considered here, we find that neutral–neutral reactions drive N escape nearly a factor of 7 stronger than C escape, ion–neutral reactions drive C escape nearly a factor of 20 stronger than N escape, whereas DR reactions drive comparable C and N escape, respectively. We emphasize that both ion–neutral and DR reactions could be ignored, with an uncertainty no more than 5%, to describe properly total N escape, whereas to poperly describe total C escape, all categories of exothermic reaction have to be taken into account.
![]() |
Fig. 8 C and N escape rates via the production of different N- and C-containing species, with the contributions from neutral–neutral, ion–neutral, and DR reactions indicated separately. |
5 Discussions and concluding remarks
Atmospheric escape is a key process that controls the evolution of climate and habitability on terrestrial planets. One of the important mechanisms driving atmospheric escape is exothermic chemistry, which may produce hot neutrals sufficiently energetic to overcome the gravitational potential of the central body (e.g. Johnson et al. 2008, and references therein). This mechanism is especially interesting for Titan, the largest satellite of Saturn, due to its extremely complicated atmospheric and ionospheric composition as revealed by the Cassini INMS measurements in both the CSN and OSI modes (e.g. Waite et al. 2005; Cravens et al. 2005). The total C and N escape rates on the dayside of Titan driven by exothermic chemistry were computed in the pre-Cassini investigation of Cravens et al. (1997) and the early post-Cassini investigation of De La Haye et al. (2007) (when the data from a very limited number of close Titan flybys were available). The present investigation is intended for an updated evaluation of the same issue by virtue of the extensive Cassini INMS measurements of Titan’s upper atmospheric structure (e.g. Cui et al. 2009b,a; Magee et al. 2009; Mandt et al. 2012), as well as the improved understanding of the associated chemical network over the past decade (e.g. Wilson & Atreya 2004; Vuitton et al. 2006a,b, 2007, 2008, 2019; Lavvas et al. 2008a,b; Krasnopolsky 2014).
A total number of 14 candidate escaping neutral species are considered in this study including N(4S), N(2D), 3CH2, CH3, NH, CH4, NH3, C2H2, C2H3, HCN, C2H4, N2, C2H5, and C2H6 in the order of increasing molecular mass up to 30 Da. A total number of 146 exothermic chemical reactions are evaluated, all of which are capable of producing hot neutrals with nascent kinetic energies above the respective local escape energies. These reactions fall into three categories, including 80 neutral–neutral reactions (of which 15 are three-body reactions), 31 ion–neutral reactions, and 35 DR reactions. The atmospheric and ionospheric chemical network implemented here is far more complicated than those of Cravens et al. (1997) and De La Haye et al. (2007).
Combining the state-of-the-art INMS measurements of neutral and ion densities, the RPWS LP measurements of electron density and temperature, as well as the photochemical model results of Lavvas et al. (2008a,b) updated with the improved chemical network, we are able to calculate the hot neutral production rate as a function of altitude for each species and each chemical channel in Titan’s dayside upper atmosphere. A test particle Monte Carlo model is further constructed to determine the corresponding profile of escape probability under the assumption of isotropic hard sphere approximation, which properly describes the realistic dynamical behavior of escaping neutrals over a broad transition region near Titan’s exobase (e.g. Strobel & Cui 2014). Our model results are consistent with the intuitively expected trend that at any given altitude, the escape probability increases with the nascent kinetic energy and decreases with the size of the escaping particle. Calculations of the hot neutral production rate and the escape probability are combined to provide a reasonable estimate of the escape rate for each species and each channel.
Our calculations suggest a total N escape rate of 9.1 × 1023 s−1 and a total C escape rate of 4.3 × 1023 s−1 on the dayside of Titan, driven by exothermic chemistry. Total N escape is primarily contributed by neutral–neutral reactions, with a fractional contribution of less than 5% from ion–neutral and DR reactions. The situation for C escape is different in that all categories of reaction are non-negligible, with 60% from ion–neutral, 29% from neutral–neutral, and the remaining 11% from DR reactions, respectively. Meanwhile, the bulk of N escape is associated with hot N(4S) production and driven by the quenching ofexcited state N(2D) via collisionswith atmospheric N2. Such a process, denoted as Ra1 in Table A.1, accounts for 80% of dayside N escape on Titan. Hot NH production also contributes non-negligibly to N escape and plays an even more important role than hot N2 production, a result that was not obtained in previous investigations (Cravens et al. 1997; De La Haye et al. 2007). Dayside C escape is mostly associated with hot CH3 and CH4 production, responsible for 27 and 63% of total C escape, respectively. Our calculations highlight the importance of one ion–neutral reaction: Re 13 that produces hot CH4 from CH
and HCN, which accounts for more than 30% of dayside C escape on Titan. While the importance of reaction Ra 1 in driving N escape was also obtained by De La Haye et al. (2007), the situation for C escape is to be distinguished in that those authors identified CH
DR as the most important chemical channel but we find it to be negligible. Such a difference is likely linked to the different choices of the DR coefficient and CH
density. It is noteworthy that the De La Haye et al. (2007) results were obtained based on the early photochemical model calculations of Keller et al. (1992) and our current understandings of Titan’s atmospheric and ionospheric chemistry are much more robust (e.g. Vuitton et al. 2019).
It is instructive to compare the total dayside N and C escape rates driven by exothermic chemistry to those by other viable mechanisms, especially the non-thermal ones (Johnson et al. 2008). Specifically, N2 photodissociation is ignored in this study but existing works indicate that this process likely leads to a dayside averaged N escape rate much higher than the value reported here. For instance, the calculations of Shematovich et al. (2003) suggest an N escape rate of 9 × 1024 s−1 driven by N2 photodissociation, which is an order of magnitude higher than our estimate of the chemically driven N escape rate. Without going into details, we remark that the photochemical model implemented in Sect. 3 leads to a comparable dayside N escape rate of 8 × 1024 s−1 via N(4S) production from N2 photodissociation, where the escape probability profile appropriate for 0.82 eV is used, based on the mean kinetic energy release to N(4S) weighted by the solar EUV/X-ray flux above the N2 dissociation threshold, for a reference altitude of 1400 km. Photoelectron impact dissociation of N2, which was evaluated by Cravens et al. (1997), may increase further the above N escape rate. Similarly, we estimate the dayside C escape rate to be 2 × 1024 s−1 via CH3 production from CH4 photodissociation, where a weighted mean kinetic energy of 0.46 eV is used to obtain the CH3 escape probability profile. Clearly, C escape driven by exothermic chemistry is not negligibly small as compared to C escape driven by CH4 photodissociation.
Atmospheric sputtering, as another viable escape mechanism, was modelled by a number of authors based on Monte Carlo calculations (e.g. Shematovich et al. 2001, 2003; Michael et al. 2005). The sputter-induced total N escape rate, contributed by both N and N2, was predicted to be 4 × 1025 s−1 by the one-dimensional calculations of Shematovich et al. (2003) and 2.5 × 1025 s−1 by the three-dimensional calculations of Michael et al. (2005). Recently, Gu et al. (2019) have estimated the CH4-to-N2 sputtering yield ratio in Titan’s upper atmosphere to be 10–20%, which should be close to the respective ratio in escape rate. When compared with the N and C escape rates derived here, we may conclude that sputter-induced N and C escape is much stronger than chemically driven escape. However, we note that the sputter-induced escape rates quoted above are appropriate for the ramside of Titan which could be either the dayside or the nightside depending on the relative orientation between solar EUV/X-ray radiation and magnetospheric ion precipitation (Sittler et al. 2010, and references therein). This means that when Titan is in an orbital configuration with the dayside coincident with the wakeside, N and C escape driven by exothermic chemistry is likely much stronger than sputter-induced escape.
Clearly, all exothermic chemical reactions evaluated in this study, along with many other reactions ignored due to the non-escaping nature of their products, may provide an important heat source of Titan’s upper atmosphere.For instance, the calculations of De La Haye et al. (2008) suggested that on both the dayside and nightside of the satellite, neutral heating via exothermic chemistry was dominated by ion–neutral and DR rea- ctions above~1100 km, by two-body neutral–neutral reactions at ~750−1100 km, and by three-body neutral–neutral reactions at lower altitudes, respectively (see their Fig. A.2). These authors estimated a peak heating rate in Titan’s dayside upper atmosphere of ~ 5 × 10−9 ergs cm−3 s−1 near 950 km driven by exothermic chemistry, well above the peak heating rate of no more than 10−10 ergs cm−3 s−1 near 1050 km driven by photoelectron and magnetospheric electron impact. Similarly, the DR reaction of O
, the dominant species of the Venusian ionosphere (Taylor et al. 1980), was suggested to contribute significantly to dayside neutral heating, surpassing other important heating mechanisms such as the collisional quenching of excited state O(1D) and the photodissociation of background CO2 above 135 km (e.g. Fox 1988). Similar calculations as implemented here, also by virtue of the extensive Cassini INMS measurements of Titan’s atmospheric neutral and ion densities (e.g. Cui et al. 2009b; Mandt et al. 2012), the improved understandings of Titan’s atmospheric and ionospheric chemistry (e.g. Vuitton et al. 2019), as well as the realistic Monte Carlo modelling ofenergy deposition including transport (e.g. Michael & Johnson 2005), should be able to reveal more rigorously the importance of various exothermic chemical reactions in the local energy budget of Titan’s upper atmosphere, which we leave aside for follow-up investigations.
Acknowledgements
This work is supported by the Strategic Priority Research Program of the Chinese Academy of Sciences (XDA17010201). J.C. and Y.W. acknowledge supports from the National Science Foundation of China (NSFC) through grants 41525015, 41774186, and 41525016.
Appendix A Supplementary information on the hot neutral production rates and the escape probabilities
For easy reference, we compile detailed information in this appendix on the hot neutral production rates, as well as the escape probabilitiesused for deriving the C and N escape fluxes. In Table A.1, we list all the 146 independent exothermic chemical reactions investigated in the present study, as well as the kinetic energy release, the rate coefficient, the escape flux referred to the surface, the fractional contribution to total N or C escape, and the appropriate references, grouped by species. We note that some reactions are repetitively listed since they are able to produce more than one escaping species. The hot neutral production rates as a function of altitude for all channels are displayed in Fig. A.1 for N-containing species and in Fig. A.2 for C-containing species, also grouped by species. These figures provide the necessary information for deciding on the dominant channel for the production of each species considered here.
In Table A.2, we list the parameters (a1, a2, and a3) used to describe the altitude dependence of escape probability for each species and for a range of selected nascent energy according toEq. (34) in Sect. 3. For an arbitrary nascent energy within the prescribed range, the escape probability profile could be determined with the aid of Eq. (35) using a set of parameters (b1, b2, b3, and b4). These parameters are listed in Table A.3 for reference.
Information on the exothermic reactions considered in this study that potentially produce escaping N(4S), N(2D), 3CH2, CH3, NH, CH4, NH3, C2H2, C2H3, HCN, C2H4, N2, C2H5, and C2H6 in Titan’s dayside upper atmosphere.
![]() |
Fig. A.1 Hotneutral production rates calculated via the neutral, ion, and electron density profiles in Figs. 1– 4, for N(4S) and N(2D) in panel a, NH3 and NH in panel b, HCN in panel c, as well as N2 in panel d, respectively, with the contributions from different chemical channels shown separately. For clarification, the neutral-neutral, ion-neutral, and DR reactions are indicated by the solid, dashed, and dash-dotted lines, respectively. |
![]() |
Fig. A.2 Similar to Fig. A.1 but for 3CH2 in panel a, CH3 in panel b, CH4 in panel c, C2H2 in panel d, C2H3 in panel e, C2H4 in panel f, C2H5 in panel g, and C2H6 in panel h, respectively. |
References
- Adams, N. G., Smith, D., Millar, T. J., & Williams, D. A. 1988, Rate Coefficients in Astrochemistry (Kluwer, Dordrecht: Springer), 173 [NASA ADS] [CrossRef] [Google Scholar]
- Angelova, G., Novotny, O., Mitchell, J. B. A., et al. 2004, Int. J. Mass Spectr., 232, 195 [NASA ADS] [CrossRef] [Google Scholar]
- Anicich, V. G. 1993, J. Phys. Chem. Ref. Data, 22, 1469 [NASA ADS] [CrossRef] [Google Scholar]
- Baulch, D. L., Cobos, C. J., Cox, R. A., et al. 1992, J. Phys. Chem. Ref. Data, 21, 411 [NASA ADS] [CrossRef] [Google Scholar]
- Baulch, D. L., Cobos, C. J., Cox, R. A., et al. 1994, J. Phys. Chem. Ref. Data, 23, 847 [NASA ADS] [CrossRef] [Google Scholar]
- Baulch, D. L., Bowman, C. T., Cobos, C. J., et al. 2005, J. Phys. Chem. Ref. Data, 34, 757 [NASA ADS] [CrossRef] [Google Scholar]
- Bell, J. M., Bougher, S. W., Waite, J. H. Jr., et al. 2010, J. Geophys. Res. Planets, 115, 12018 [NASA ADS] [CrossRef] [Google Scholar]
- Bell, J. M., Bougher, S. W., Waite, J. H. Jr., et al. 2011, J. Geophys. Res. Planets, 116, E11002 [NASA ADS] [CrossRef] [Google Scholar]
- Brown, R. L. 1973, Int. J. Chem. Kinet., 5, 663 [CrossRef] [Google Scholar]
- Brownsword, R. A., Canosa, A., Rowe, B. R., et al. 1997, J. Chem. Phys., 106, 7662 [NASA ADS] [CrossRef] [Google Scholar]
- Canosa, A., Sims, I. R., Travers, D., Smith, I. W. M., & Rowe, B. R. 1997, A&A, 323, 644 [NASA ADS] [Google Scholar]
- Carty, D., Le Page, V., Sims, I. R., & Smith, I. W. M. 2001, Chem. Phys. Lett., 344, 310 [NASA ADS] [CrossRef] [Google Scholar]
- Chang, Y. W., & Wang, N. S. 1995, Chem. Phys., 200, 431 [CrossRef] [Google Scholar]
- Clyne, M. A., & Stedman, D. H. 1967, J. Phys. Chem., 71, 3071 [CrossRef] [Google Scholar]
- Cravens, T. E., Keller, C. N., & Ray, B. 1997, Planet. Space Sci., 45, 889 [NASA ADS] [CrossRef] [Google Scholar]
- Cravens, T. E., Robertson, I. P., Clark, J., et al. 2005, Geophys. Res. Lett., 32, L12108 [NASA ADS] [CrossRef] [Google Scholar]
- Cravens, T. E., Rahmati, A., Fox, J. L., et al. 2017, J. Geophys. Res. Space Phys., 122, 1102 [Google Scholar]
- Cui, J., Yelle, R. V., & Volk, K. 2008, J. Geophys. Res. Planets, 113, E10004 [Google Scholar]
- Cui, J., Galand, M., Yelle, R. V., et al. 2009a, J. Geophys. Res. Space Phys., 114, A06310 [NASA ADS] [CrossRef] [Google Scholar]
- Cui, J., Yelle, R. V., Vuitton, V., et al. 2009b, Icarus, 200, 581 [NASA ADS] [CrossRef] [Google Scholar]
- Cui, J., Yelle, R. V., Müller-Wodarg, I. C. F., Lavvas, P. P., & Galand, M. 2011, J. Geophys. Res. Space Phys., 116, A11324 [NASA ADS] [Google Scholar]
- Cui, J., Yelle, R. V., Strobel, D. F., et al. 2012, J. Geophys. Res. Planets, 117, E11006 [Google Scholar]
- Cui, J., Cao, Y. T., Lavvas, P. P., & Koskinen, T. T. 2016, ApJ, 826, L5 [NASA ADS] [CrossRef] [Google Scholar]
- Cui, J., Wu, X. S., Gu, H., Jiang, F. Y., & Wei, Y. 2019, A&A, 621, A23 [NASA ADS] [CrossRef] [EDP Sciences] [Google Scholar]
- De La Haye, V., Waite, J. H., Cravens, T. E., et al. 2007, Icarus, 191, 236 [NASA ADS] [CrossRef] [Google Scholar]
- De La Haye, V., Waite, J. H., Cravens, T. E., et al. 2008, J. Geophys. Res. Space Phys., 113, A11314 [NASA ADS] [CrossRef] [Google Scholar]
- Dutuit, O., Carrasco, N., Thissen, R., et al. 2013, ApJS, 204, 20 [NASA ADS] [CrossRef] [Google Scholar]
- Edwards, S. J., Freeman, C. G., & McEwan, M. J. 2008, Int. J. Mass Spectr., 272, 86 [CrossRef] [Google Scholar]
- Ehlerding, A., Hellberg, F., Thomas, R., et al. 2004, Phys. Chem. Chem. Phys., 6, 949 [NASA ADS] [CrossRef] [Google Scholar]
- Ergun, R. E., Morooka, M. W., Andersson, L. A., et al. 2015, Geophys. Res. Lett., 42, 8846 [NASA ADS] [CrossRef] [Google Scholar]
- Fahr, A., Laufer, A., Klein, R., & Braun, W. 1991, J. Phys. Chem., 95, 3218 [NASA ADS] [CrossRef] [Google Scholar]
- Fenghour, A., Wakeham, W. A., Vesovic, V., et al. 1995, J. Phys. Chem. Ref. Data, 24, 1649 [NASA ADS] [CrossRef] [Google Scholar]
- Flynn, L. W., & Thodos, G. 1961, J. Chem. Eng. Data, 6, 457 [CrossRef] [Google Scholar]
- Fox, J. L. 1988, Planet. Space Sci., 36, 37 [NASA ADS] [CrossRef] [Google Scholar]
- Fox, J. L., & Hać, A. B. 2009, Icarus, 204, 527 [NASA ADS] [CrossRef] [Google Scholar]
- Fox, J. L., & Hać, A. B. 2014, Icarus, 228, 375 [NASA ADS] [CrossRef] [Google Scholar]
- Fox, J. L., & Hać, A. B. 2018, Icarus, 300, 411 [NASA ADS] [CrossRef] [Google Scholar]
- Fox, J. L., Galand, M. I., & Johnson, R. E. 2008, Space Sci. Rev., 139, 3 [NASA ADS] [CrossRef] [Google Scholar]
- Fulle, D., & Hippler, H. 1997, J. Chem. Phys., 106, 8691 [NASA ADS] [CrossRef] [Google Scholar]
- Gannon, K. L., Glowacki, D. R., Blitz, M. A., et al. 2007, J. Phys. Chem. A, 111, 6679 [CrossRef] [Google Scholar]
- Geppert, W., Ehlerding, A., Hellberg, F., et al. 2004a, Phys. Rev. Lett., 93, 153201 [NASA ADS] [CrossRef] [Google Scholar]
- Geppert, W. D., Thomas, R., Ehlerding, A., et al. 2004b, Int. J. Mass Spectr., 237, 25 [NASA ADS] [CrossRef] [Google Scholar]
- Goulay, F., Osborn, D. L., Taatjes, C. A., et al. 2007, Phys. Chem. Chem. Phys., 9, 4291 [CrossRef] [Google Scholar]
- Gu, H., Cui, J., Niu, D. D., et al. 2019, A&A, 623, A18 [NASA ADS] [CrossRef] [EDP Sciences] [Google Scholar]
- Harding, L. B., Georgievskii, Y., & Klippenstein, S. J. 2005, J. Phys. Chem. A, 109, 4646 [CrossRef] [Google Scholar]
- Harding, L. B., Guadagnini, R., & Schatz, G. C. 1993, J. Phys. Chem., 97, 5472 [CrossRef] [Google Scholar]
- Hedelt, P., Ito, Y., Keller, H. U., et al. 2010, Icarus, 210, 424 [NASA ADS] [CrossRef] [Google Scholar]
- Herron, J. T. 1999, J. Phys. Chem. Ref. Data, 28, 1453 [NASA ADS] [CrossRef] [Google Scholar]
- Hess, W. P., Durant Jr, J. L., & Tully, F. P. 1989, J. Phys. Chem., 93, 6402 [CrossRef] [Google Scholar]
- Hoobler, R. J., & Leone, S. R. 1997, J. Geophys. Res., 102, 28717 [NASA ADS] [CrossRef] [Google Scholar]
- Hoobler, R. J., Opansky, B. J., & Leone, S. R. 1997, J. Phys. Chem. A, 101, 1338 [CrossRef] [Google Scholar]
- Hörst, S. M., Vuitton, V., & Yelle, R. V. 2008, J. Geophys. Res. Planets, 113, E10006 [NASA ADS] [CrossRef] [Google Scholar]
- Husain, D., & Kirsch, L. J. 1971, Trans. Faraday Soc., 67, 2025 [CrossRef] [Google Scholar]
- Husain, D., & Young, A. N. 1975, J. Chem. Soc. Faraday Trans. 2 Mol. Chem. Phys., 71, 525 [CrossRef] [Google Scholar]
- Jamieson, J. W. S., Brown, G. R., & Tanner, J. S. 1970, Can. J. Chem., 48, 3619 [CrossRef] [Google Scholar]
- Janev, R. K., & Reiter, D. 2004, Phys. Plasmas, 11, 780 [NASA ADS] [CrossRef] [Google Scholar]
- Jiang, F., Cui, J., & Xu, J. 2017, AJ, 154, 271 [NASA ADS] [CrossRef] [Google Scholar]
- Johnson, R. E., Combi, M. R., Fox, J. L., et al. 2008, Space Sci. Rev., 139, 355 [NASA ADS] [CrossRef] [Google Scholar]
- Kalhori, S., Viggiano, A. A., Arnold, S. T., et al. 2002, A&A, 391, 1159 [NASA ADS] [CrossRef] [EDP Sciences] [Google Scholar]
- Kamińska, M., Zhaunerchyk, V., Vigren, E., et al. 2010, Phys. Rev. A, 81, 062701 [NASA ADS] [CrossRef] [Google Scholar]
- Keller, C. N., Cravens, T. E., & Gan, L. 1992, J. Geophys. Res., 97, 12117 [NASA ADS] [CrossRef] [Google Scholar]
- Kerr, J. A., & Parsonage, M. J. 1972, Evaluated Kinetic Data on Gas Phase Addition Reactions (London: Butterworths) [Google Scholar]
- Kinsman, A. C., & Roscoe, J. M. 1994, Int. J. Chem. Kinet., 26, 191 [CrossRef] [Google Scholar]
- Klippenstein, S. J., Harding, L. B., Ruscic, B., et al. 2009, J. Phys. Chem. A, 113, 10241 [CrossRef] [Google Scholar]
- Krasnopolsky, V. A. 2014, Icarus, 236, 83 [NASA ADS] [CrossRef] [Google Scholar]
- Lammer, H., & Bauer, S. J. 1993, Planet. Space Sci., 41, 657 [NASA ADS] [CrossRef] [Google Scholar]
- Larsson, M., Ehlerding, A., Geppert, W. D., et al. 2005, J. Chem. Phys., 122, 156101 [NASA ADS] [CrossRef] [PubMed] [Google Scholar]
- Laufer, A. H., & Fahr, A. 2004, Chem. Rev., 104, 2813 [CrossRef] [Google Scholar]
- Laufer, A. H., Gardner, E. P., Kwok, T. L., & Yung, Y. L. 1983, Icarus, 56, 560 [NASA ADS] [CrossRef] [Google Scholar]
- Lavvas, P. P., Coustenis, A., & Vardavas, I. M. 2008a, Planet. Space Sci., 56, 27 [NASA ADS] [CrossRef] [Google Scholar]
- Lavvas, P. P., Coustenis, A., & Vardavas, I. M. 2008b, Planet. Space Sci., 56, 67 [NASA ADS] [CrossRef] [Google Scholar]
- Le Padellec, A., Mitchell, J. B. A., Al-Khalili, A., et al. 1999, J. Chem. Phys., 110, 890 [NASA ADS] [CrossRef] [Google Scholar]
- Levine, J. S., McDougal, D. S., Anderson, D. E., & Barker, E. S. 1978, Science, 200, 1048 [NASA ADS] [CrossRef] [Google Scholar]
- Loison, J.-C., Bergeat, A., Caralp, F., & Hannachi, Y. 2006, J. Phys. Chem. A, 110, 13500 [CrossRef] [Google Scholar]
- Magee, B. A., Waite, J. H., Mandt, K. E., et al. 2009, Planet. Space Sci., 57, 1895 [NASA ADS] [CrossRef] [Google Scholar]
- Mandt, K. E., Gell, D. A., Perry, M., et al. 2012, J. Geophys. Res. Planets, 117, E10006 [NASA ADS] [CrossRef] [Google Scholar]
- Mantei, K. A.,& Bair, E. J. 1968, J. Chem. Phys., 49, 3248 [NASA ADS] [CrossRef] [Google Scholar]
- McEwan, M. J., & Anicich, V. G. 2007, Mass Spectr. Rev., 26, 281 [NASA ADS] [CrossRef] [Google Scholar]
- McKee, K., Blitz, M. A., Hughes, K. J., et al. 2003, J. Phys. Chem. A, 107, 5710 [CrossRef] [Google Scholar]
- McLain, J. L., Poterya, V., Molek, C. D., Babcock, L. M., & Adams, N. G. 2004, J. Phys. Chem. A, 108, 6704 [CrossRef] [Google Scholar]
- Michael, M., & Johnson, R. E. 2005, Planet. Space Sci., 53, 1510 [NASA ADS] [CrossRef] [Google Scholar]
- Michael, M., Johnson, R. E., Leblanc, F., et al. 2005, Icarus, 175, 263 [NASA ADS] [CrossRef] [Google Scholar]
- Mitchell, J. B.A. 1990, Phys. Rep., 186, 215 [NASA ADS] [CrossRef] [Google Scholar]
- Monks, P. S., Nesbitt, F. L., Payne, W. A., Scanlon, M., & Stief, L. F. 1995, J. Phys. Chem., 99, 17151 [NASA ADS] [CrossRef] [Google Scholar]
- Müller-Wodarg, I. C. F., Yelle, R. V., Cui, J., & Waite, J. H. 2008, J. Geophys. Res. Planets, 113, E10005 [NASA ADS] [CrossRef] [Google Scholar]
- Murphy, J. E., Vakhtin, A. B., & Leone, S. R. 2003, Icarus, 163, 175 [NASA ADS] [CrossRef] [Google Scholar]
- Niemann, H. B., Atreya, S. K., Bauer, S. J., et al. 2005, Nature, 438, 779 [NASA ADS] [CrossRef] [PubMed] [Google Scholar]
- Nizamov, B., & Leone, S. R. 2004, J. Phys. Chem. A, 108, 1746 [CrossRef] [Google Scholar]
- Payne, W. A., Monks, P. S., Nesbitt, F. L., & Stief, L. J. 1996, J. Chem. Phys., 104, 9808 [NASA ADS] [CrossRef] [Google Scholar]
- Peterson, J. R., Le Padellec, A., Danared, H., et al. 1998, J. Chem. Phys., 108, 1978 [NASA ADS] [CrossRef] [Google Scholar]
- Petrie, S., Chirnside, T. J., Freeman, C. G., & McEwan, M. J. 1991, Int. J. Mass Spectr. Ion Proc., 107, 319 [NASA ADS] [CrossRef] [Google Scholar]
- Petrie, S., Freeman, C. G., & McEwan, M. J. 1992, MNRAS, 257, 438 [NASA ADS] [CrossRef] [Google Scholar]
- Reisler, H., Mangir, M. S., & Wittig, C. 1980, J. Chem. Phys., 73, 2280 [NASA ADS] [CrossRef] [Google Scholar]
- Rowley, R. L., Wilding, W. V., Oscarson, J. L., & Yang, Y. 2003, Core Edition Plus Supplements (New York: Taylor and Francis), 1 [Google Scholar]
- Schaufelberger, A., Wurz, P., Lammer, H., & Kulikov, Y. N. 2012, Planet. Space Sci., 61, 79 [NASA ADS] [CrossRef] [Google Scholar]
- Semaniak, J., Larson, Å., Le Padellec, A., et al. 1998, ApJ, 498, 886 [NASA ADS] [CrossRef] [Google Scholar]
- Sheehan, C. H., & St.-Maurice, J. P. 2004, J. Geophys. Res. Space Phys., 109, A03302 [NASA ADS] [CrossRef] [Google Scholar]
- Shematovich, V. I., Tully, C., & Johnson, R. E. 2001, Adv. Space Res., 27, 1875 [NASA ADS] [CrossRef] [Google Scholar]
- Shematovich, V. I., Johnson, R. E., Michael, M., & Luhmann, J. G. 2003, J. Geophys. Res. Planets, 108, 5087 [Google Scholar]
- Sillesen, A., Ratajczak, E., & Pagsberg, P. 1993, Chem. Phys. Lett., 201, 171 [NASA ADS] [CrossRef] [Google Scholar]
- Sims, I. R., Queffelec, J.-L., Travers, D., et al. 1993, Chem. Phys. Lett., 211, 461 [NASA ADS] [CrossRef] [Google Scholar]
- Sittler, E. C., Hartle, R. E., Bertucci, C., et al. 2010, Energy Deposition Processes in Titan’s Upper Atmosphere and its Induced Magnetosphere (Dordrecht: Springer), 393 [Google Scholar]
- Snowden, D., Yelle, R. V., Cui, J., et al. 2013, Icarus, 226, 552 [NASA ADS] [CrossRef] [Google Scholar]
- Stief, L. J., Nesbitt, F. L., Payne, W. A., et al. 1995, J. Chem. Phys., 102, 5309 [NASA ADS] [CrossRef] [Google Scholar]
- Stoliarov, S. I., Knyazev, V. D., & Slagle, I. R. 2000, J. Phys. Chem. A, 104, 9687 [CrossRef] [Google Scholar]
- Strobel, D. F. 2009, Icarus, 202, 632 [NASA ADS] [CrossRef] [Google Scholar]
- Strobel, D. F. 2010, Icarus, 208, 878 [NASA ADS] [CrossRef] [Google Scholar]
- Strobel, D. F. 2012a, Can. J. Phys., 90, 795 [NASA ADS] [CrossRef] [Google Scholar]
- Strobel, D. F. 2012b, in Titan Through Time; Unlocking Titan’s Past, Present and Future, eds. V. Cottini, C. Nixon, & R. Lorenz (Washington: NASA), 89 [Google Scholar]
- Strobel, D. F.,& Cui, J. 2014, Titan’s upper Atmosphere/Exosphere, escape Processes, and Rates (Cambridge: Cambridge University Press), 355 [Google Scholar]
- Taylor, H. A., Brinton, H. C., Bauer, S. J., et al. 1980, J. Geophys. Res., 85, 7765 [NASA ADS] [CrossRef] [Google Scholar]
- Teng, L., & Jones, W. E. 1972, J. Chem. Soc., Faraday Trans. 1 Phys. Chem. Condens. Phases, 68, 1267 [Google Scholar]
- Thomas, R. D., Hellberg, F., Neau, A., et al. 2005, Phys. Rev. A, 71, 032711 [NASA ADS] [CrossRef] [Google Scholar]
- Tsang, W. 1988, J. Phys. Chem. Ref. Data, 17, 887 [NASA ADS] [CrossRef] [Google Scholar]
- Tsang, W. 1991, J. Phys. Chem. Ref. Data, 20, 221 [NASA ADS] [CrossRef] [Google Scholar]
- Tsang, W. 1992, J. Phys. Chem. Ref. Data, 21, 753 [NASA ADS] [CrossRef] [Google Scholar]
- Tsang, W., & Hampson, R. F. 1986, J. Phys. Chem. Ref. Data, 15, 1087 [NASA ADS] [CrossRef] [Google Scholar]
- Tucker, O. J., & Johnson, R. E. 2009, Planet. Space Sci., 57, 1889 [NASA ADS] [CrossRef] [Google Scholar]
- Viggiano, A. A., Ehlerding, A., Arnold, S. T., & Larsson, M. 2005, J. Phys. Conf. Ser., 4, 191 [NASA ADS] [CrossRef] [Google Scholar]
- Vuitton, V., Doussin, J. F., Bénilan, Y., Raulin, F., & Gazeau, M. C. 2006a, Icarus, 185, 287 [NASA ADS] [CrossRef] [Google Scholar]
- Vuitton, V., Yelle, R. V., & Anicich, V. G. 2006b, ApJ, 647, L175 [NASA ADS] [CrossRef] [Google Scholar]
- Vuitton, V., Yelle, R. V., & McEwan, M. J. 2007, Icarus, 191, 722 [NASA ADS] [CrossRef] [Google Scholar]
- Vuitton, V., Yelle, R. V., & Cui, J. 2008, J. Geophys. Res. Planets, 113, E05007 [NASA ADS] [CrossRef] [Google Scholar]
- Vuitton, V., Yelle, R. V., Lavvas, P., & Klippenstein, S. J. 2012, ApJ, 744, 11 [NASA ADS] [CrossRef] [Google Scholar]
- Vuitton, V., Yelle, R. V., Klippenstein, S. J., Hörst, S. M., & Lavvas, P. 2019, Icarus, 324, 120 [NASA ADS] [CrossRef] [Google Scholar]
- Wagener, R. 1990, Z. Naturforschung Teil A, 45, 649 [NASA ADS] [CrossRef] [Google Scholar]
- Wahlund, J. E., Boström, R., Gustafsson, G., et al. 2005, Science, 308, 986 [NASA ADS] [CrossRef] [Google Scholar]
- Wahlund, J. E., Galand, M., Müller-Wodarg, I., et al. 2009, Planet. Space Sci., 57, 1857 [NASA ADS] [CrossRef] [Google Scholar]
- Waite, J. H., Niemann, H., Yelle, R. V., et al. 2005, Science, 308, 982 [NASA ADS] [CrossRef] [PubMed] [Google Scholar]
- Wakelam, V., Loison, J. C., Herbst, E., et al. 2015, ApJS, 217, 20 [NASA ADS] [CrossRef] [Google Scholar]
- Wallis, M. K. 1978, Planet. Space Sci., 26, 949 [NASA ADS] [CrossRef] [Google Scholar]
- Wang, H., & Frenklach, M. 1994, J. Phys. Chem., 98, 11465 [NASA ADS] [CrossRef] [Google Scholar]
- Westlake, J. H., Bell, J. M., Waite, J. H. J., et al. 2011, J. Geophys. Res. Space Phys., 116, A03318 [NASA ADS] [CrossRef] [Google Scholar]
- Wilson, E. H., & Atreya, S. K. 2004, J. Geophys. Res. Planets, 109, E06002 [NASA ADS] [CrossRef] [Google Scholar]
- Xu, Z. F., Fang, D. C., & Fu, X. Y. 1998, Int. J. Quant. Chem., 70, 321 [CrossRef] [Google Scholar]
- Yang, D. L., Yu, T., Wang, N. S., & Lin, M. C. 1992, Chem. Phys., 160, 307 [CrossRef] [Google Scholar]
- Yelle, R. V. 1991, ApJ, 383, 380 [NASA ADS] [CrossRef] [Google Scholar]
- Yelle, R. V., Cui, J., & Müller-Wodarg, I. C. F. 2008, J. Geophys. Res. Planets, 113, E10003 [Google Scholar]
- Zetzsch, C., & Stuhl, F. 1981, Berichte der Bunsengesellschaft für physikalische Chemie, 85, 564 [CrossRef] [Google Scholar]
- Zhu, R. S., Xu, Z. F., & Lin, M. C. 2004, J. Chem. Phys., 120, 6566 [NASA ADS] [CrossRef] [Google Scholar]
All Tables
Information on the exothermic reactions considered in this study that potentially produce escaping N(4S), N(2D), 3CH2, CH3, NH, CH4, NH3, C2H2, C2H3, HCN, C2H4, N2, C2H5, and C2H6 in Titan’s dayside upper atmosphere.
All Figures
![]() |
Fig. 1 Background neutral atmosphere of Titan for the three most abundant species, N2, CH4, and H2, over the altitude range of 800−2000 km based on dayside averaged Cassini INMS measurements in the CSN mode (Waite et al. 2005). |
| In the text | |
![]() |
Fig. 2 Mixing ratio profiles of various neutral species in Titan’s dayside upper atmosphere including hydrocarbons (a), nitriles (b), and radicals (c and d), adapted from model results of Lavvas et al. (2008a,b) at 800−1300 km which have been updated with the improved chemical network in Titan’s atmosphere and ionosphere. These mixing ratio profiles are extrapolated to higher altitudes assuming diffusive equilibrium (indicated by the dashed lines). |
| In the text | |
![]() |
Fig. 3 Density profiles of ion reactants involved in this study, based on Cassini INMS measurements in the OSI mode (solid circles) according to the mass-to-charge ratio, M/Z (Mandt et al. 2012). Also shown are the smooth empirical profiles based on the third-order polynomial fittings to logarithmic density (solid lines). |
| In the text | |
![]() |
Fig. 4 Electron density and temperature profiles based on the Cassini RPWS LP measurements (crosses) averaged over the dayside of Titan (Wahlund et al. 2005). Empirical electron density profile (solid blue) is obtained in a similar manner as the ion density profiles in Fig. 3, whereas the empirical electron temperature profile (solid red) is obtained by using the functional form of Ergun et al. (2015). |
| In the text | |
![]() |
Fig. 5 Total hot neutral production rates for all the N-containing species considered in this study. |
| In the text | |
![]() |
Fig. 6 Similar to Fig. 5 but for all the C-containing species considered in this study. |
| In the text | |
![]() |
Fig. 7 Escape probability profiles for various hot neutrals and covering the range of nascent kinetic energy encountered in this study. Crosses are adapted from test particle Monte Carlo calculations whereas the dashed lines indicate the best empirical fits (see text for details). |
| In the text | |
![]() |
Fig. 8 C and N escape rates via the production of different N- and C-containing species, with the contributions from neutral–neutral, ion–neutral, and DR reactions indicated separately. |
| In the text | |
![]() |
Fig. A.1 Hotneutral production rates calculated via the neutral, ion, and electron density profiles in Figs. 1– 4, for N(4S) and N(2D) in panel a, NH3 and NH in panel b, HCN in panel c, as well as N2 in panel d, respectively, with the contributions from different chemical channels shown separately. For clarification, the neutral-neutral, ion-neutral, and DR reactions are indicated by the solid, dashed, and dash-dotted lines, respectively. |
| In the text | |
![]() |
Fig. A.2 Similar to Fig. A.1 but for 3CH2 in panel a, CH3 in panel b, CH4 in panel c, C2H2 in panel d, C2H3 in panel e, C2H4 in panel f, C2H5 in panel g, and C2H6 in panel h, respectively. |
| In the text | |
Current usage metrics show cumulative count of Article Views (full-text article views including HTML views, PDF and ePub downloads, according to the available data) and Abstracts Views on Vision4Press platform.
Data correspond to usage on the plateform after 2015. The current usage metrics is available 48-96 hours after online publication and is updated daily on week days.
Initial download of the metrics may take a while.










