| Issue |
A&A
Volume 636, April 2020
|
|
|---|---|---|
| Article Number | A16 | |
| Number of page(s) | 37 | |
| Section | Interstellar and circumstellar matter | |
| DOI | https://doi.org/10.1051/0004-6361/201834380 | |
| Published online | 07 April 2020 | |
[C II] 158 μm self-absorption and optical depth effects★
1
I. Physikalisches Institut, Universität zu Köln,
Zülpicher Str. 77,
50937
Köln,
Germany
e-mail: guevara@ph1.uni-koeln.de
2
Max-Planck-Institut für Radioastronomie,
Auf dem Hügel 69,
53121
Bonn, Germany
3
European Southern Observatory,
Santiago, Chile
4
Max Planck Institute for Astronomy,
Königstuhl 17,
69117
Heidelberg, Germany
Received:
4
October
2018
Accepted:
3
February
2020
Context. The [C II] 158 μm far-infrared fine-structure line is one of the most important cooling lines of the star-forming interstellar medium (ISM). It is used as a tracer of star formation efficiency in external galaxies and to study feedback effects in parental clouds. High spectral resolution observations have shown complex structures in the line profiles of the [C II] emission.
Aims. Our aim is to determine whether the complex profiles observed in [12C II] are due to individual velocity components along the line-of-sight or to self-absorption based on a comparison of the [12C II] and isotopic [13C II] line profiles.
Methods. Deep integrations with the SOFIA/upGREAT 7-pixel array receiver in the sources of M43, Horsehead PDR, Monoceros R2, and M17 SW allow for the detection of optically thin [13C II] emission lines, along with the [12C II] emission lines, with a high signal-to-noise ratio. We first derived the [12C II] optical depth and the [C II] column density from a single component model. However, the complex line profiles observed require a double layer model with an emitting background and an absorbing foreground. A multi-component velocity fit allows us to derive the physical conditions of the [C II] gas: column density and excitation temperature.
Results. We find moderate to high [12C II] optical depths in all four sources and self-absorption of [12C II] in Mon R2 and M17 SW. The high column density of the warm background emission corresponds to an equivalent Av of up to 41 mag. The foreground absorption requires substantial column densities of cold and dense [C II] gas, with an equivalent Av ranging up to about 13 mag.
Conclusions. The column density of the warm background material requires multiple photon-dominated region surfaces stacked along the line of sight and in velocity. The substantial column density of dense and cold foreground [C II] gas detected in absorption cannot be explained with any known scenario and we can only speculate on its origins.
Key words: submillimeter: ISM / photon-dominated region / ISM: atoms / ISM: clouds / dust, extinction
The reduced spectra are only at the CDS via anonymous ftp to cdsarc.u-strasbg.fr (130.79.128.5) or via http://cdsarc.u-strasbg.fr/viz-bin/cat/J/A+A/636/A16
© ESO 2020
1 Introduction
The far-infrared (FIR) fine-structure line of the singly ionized carbon [C II] at 158 μm is, along with the ground-state fine structure line of neutral oxygen [O I] at 63 μm, one of the strongest cooling lines of the interstellar medium. Its ionization potential of 11.2 eV is below that of hydrogen. Hence, ionized carbon, C+, is abundant in H II regions and the UV illuminated surface of atomic and molecular clouds. The UV penetration results in a layered structure where from the inside to outside, the main carbon carrier (namely, the carbon monoxide molecule) is photo-dissociated, and the resulting neutral atomic carbon is photo-ionized. The layered structure where the hydrogen changes from ionized to neutral atomic and to its molecular form and where, in parallel but at different geometrical depths, the carbon changes from atomic ionized to atomic neutral and to carbon monoxide is commonly known as a photon-dominated region (PDR). It is understood as resulting from a detailed (photo-) chemical network that includes the radiative transfer and the energy balance between UV-heating and dust- and line-emission cooling. The turbulent, fractal structure of the star-forming interstellar medium (ISM) implies that a considerable fraction of the ISM is actually in surface regions and, hence, can be described as a PDR (Hollenbach & Tielens 1997). The prominent sources of UV-radiation are young, massive stars; the [C II] emission can thus be used as a tracer of star formation activity.
Already in the first detection paper of the [C II] fine structure line, Russell et al. (1980) noted that “optical depth effects in the 157 μm1 line may have been significant” but the authors did not take them into account because the database was too restricted. The only observational method for checking the optical depth of the [C II] emission consists of using the rarer isotope, 13C+. The spectralsignature of the [13C II] transitions (see below) requires a high spectral resolution to separate it from the fine structure line of the main isotope. In addition, the isotopic lines are weak due to the lower abundance of the isotopic species. Hence, attempts to measure the optical depth were dependent on the future availability of instrumentation of high sensitivity and high spectral resolution.
The [12C II] fine structure transition is one single line between the two energy levels, 2P3∕2 → 2P1∕2, at a frequency of 1900.5369 GHz (Cooksy et al. 1986). The [13C II] transition, instead, splits into three hyperfine components due to the presence of the additional spin of the unpaired neutron in the nucleus. These components are labeled by the total angular momentum change F = 2 → 1, F = 1 → 0, and F = 1 → 1. The frequencies of the fine structure transitions of both isotopes were determined by Cooksy et al. (1986). The astronomical observations are fully consistent with these frequencies, as was discussed by Ossenkopf et al. (2013), who also noted that the relative strengths of the [13C II] hyperfine satellites (
, see Table 1) given by Cooksy et al. (1986) are incorrect. We summarize all the relevant [12C II] and [13C II] spectroscopic parameters in Table 1, including the velocity offsets of the [13C II] hyperfine components relative to [12C II]. The frequency separation of the hyperfine lines is small enough that all lines can be observed simultaneously with the bandwidth available in current, state-of-the-art high resolution heterodyne receivers (the 130 km s−1 separation of the outer hfs-satellites corresponds to slightly below 1 GHz frequency separation).
Detection of the [13C II] lines, aimed at getting a handle of the optical depth of the [12C II] emission, requires high spectral resolution. The outer satellite lines, which are very weak, require a spectral resolution higher than at least half of their velocity separation from the main [C II] line, which is around 30 km s−1. Only in the case of intrinsically very narrow lines, the bright F = 2 → 1 satellite can be used, with a required spectral resolution below 5 km s−1. It is for these reasons that[13C II] has been observed in only a few cases up till now: a marginal detection of [13C II] F = 2 → 1 was reported by Boreiko et al. (1988) in M42 Orion with the KAO using their pioneering FIR heterodyne receiver; Stacey et al. (1991) independently reported the detection of [13C II] F = 2 → 1 in M42 with the ultra-high-resolution central pixel of the Fabry-Perot spectrometer instrument FIFI on board the KAO. Ossenkopf et al. (2013) reported the detection of the [13C II] emission in the Orion Bar and several PDRs with Herschel/HIFI, followed by an extended analysis of the Orion Bar by Goicoechea et al. (2015). Finally, Graf et al. (2012), with the improved sensitivity and broader bandwidth of the GREAT receiver (Heyminck et al. 2012) on board SOFIA, detected, for the first time, all three [13C II] satellites and deep self-absorption by cold foreground gas in [12C II] as a clear indication of high optical depth in NGC 2024. They were even able to map the extended [13C II] emission.
The standard PDR model scenario (Tielens & Hollenbach 1985), which is very successful in explaining the observed [C II] line intensities, as well as the line ratios relative to other tracers, predicts an optical depth around unity in the [12C II] line for a single PDR layer over a wide range of physical parameters, suggesting, hence, that optical depth effects are not relevant for the analysis of [C II] observations.
In order to use the isotopic emission to derive the optical depth, the isotopic abundance ratio must be known. The 12C/13C elemental isotopic ratio (from hereon named α) has been studied for several decades (e.g., Güsten et al. 1985; Henkel et al. 1985; Langer & Penzias 1990, 1993; Wilson & Rood 1994; Wouterloot & Brand 1996; Savage et al. 2002; Milam et al. 2005; Giannetti et al. 2014). The common approach is to derive the ratio from the comparison of the line intensities of the 12C and 13C isotopic species of common molecules containing carbon, such as CO, H2CO, or CN. All the studies show that α increases with the Galactic radius. Milam et al. (2005), by compiling CO and H2 CO and CN data, derived a common galacto-centric gradient according to α = (6.21 ± 1.00) × DGC [kpc] + (18.71 ± 7.37), where DGC is the galacto-centric radius.
Going beyond the elemental abundances, the isotopic ratio of ionized carbon, 12C+/13C+ (in the following denoted as α+) is also affected by fractionation. The slightly endothermic reaction 13C+ + 12CO ⇌ 12C+ + 13CO + 34.8 K favors 12C+ over 13C+ at low temperatures, thus increasing the ratio over the elemental one: α+ > α. In parallel, the self-shielding of CO against photo-dissociation predicts a larger fraction of 12C to be bound in CO and, hence, would lower the ratio: α+ < α. With these two competing processes, model calculations are necessary for predicting α+. Model predictions by Röllig & Ossenkopf (2013) using the KOSMA-τ PDR model predict α+ to be slightly higher or equal to the elemental ratio α.
In the optically thin case, the observed [12C II]/[13C II] line integrated intensity ratio is equal to the abundance ratio α+ when taking the summed-up intensities of the three [13C II] hyperfine lines. Higheroptical depth in [12C II] gives a lowerintensity ratio than α+ (and, hence, runs opposite to the fractionation effect). The HIFI [13C II] measurements by Ossenkopf et al. (2013) have shown that most line intensity ratios are below the isotopic ratio, which has been interpreted as evidence of higher than unity optical depth of the [12C II] line. Given the uncertainty in the fractionation effect derived through simulations (Röllig & Ossenkopf 2013), where warmer C+ (>100 K) shows no fractionation effects, and given the uncertainty in the temperature of the gas, we take in the following the value of the elemental abundance ratio also for the abundance ratio of the ions, α+ = α, so that the values derived below for the [12C II] optical depth can be regarded as the lower limits.
This paper presents new [12C II] and [13C II] observations with the upGREAT2 instrument on board SOFIA. The increased sensitivity and the multi-pixel capability now allows for a more systematic study of several sources and positions within each source. From an observing program covering six sources, here we present the observational results and the analysis of four of the six sources. We focus on a detailed line profile analysis of the observed [12C II] and [13C II] spectra to study the optical depth of [12C II] and to derive physical properties of the gas traced by C+, such as excitation temperature and column density. In Sect. 2, we describe the sources. In Sect. 3, we describe the observations and data reduction. In Sect. 4, we present the observational results and present, as a first approximation, a single layer model to derive the [13C II] column density, the optical depth of [12C II] and the [12C II]/[13C II] line intensity ratio. As the complex line profiles indicate evidence that this first-order analysis is insufficient, we also perform an analysis through a multi-component fit to the [12C II] and [13C II] lines simultaneously to derive the physical properties of the [C II] emission. In Sect. 5, we discuss the details and implications of the multi-component analysis by itself. Finally, in Sect. 6, we summarize the study and we discuss the implications of the derived optical depths and the column densities with regard to the physical properties of the different components.
[12C II] and [13C II] spectroscopic parameters.
2 Observed sources
To study the [12C II] and [13C II] emission in detail over a range of physical conditions and different astrophysical environments over the past two years, we conducted an observational program using SOFIA with the upGREAT heterodyne instrument to study six sources: DR21, S106, M43, the Horsehead PDR, Monoceros R2, and M17 SW. These sources were selected to cover a wide range of the main parameters that affect the [C II] intensity according to PDR models, such as UV intensities, densities, as well as the source intrinsic velocity distribution. Here we report on the observational results for four of these sources, M43, Horsehead, Mon R2, and M17 SW, where the observations have been completed. DR21 and S106 have only been partially observed, and the achieved S/N is not sufficient for a detailed analysis of the [13C II] emission.
M43 is a close-by spherical H II region, located northeast of the Orion Nebula (Goudis 1982). It is part of the Orion complex, located at a distance of 389 pc (Kounkel et al. 2018). The region has one single ionizing source, namely, an early B-type star HD 37061 (Simón-Díaz et al. 2011). Due to its close distance, its simple spherical geometry and a single ionization source, M43 is well-suited as a simple, properly characterized test case for the present study. For M43, we use the abundance ratio of α+ = α = 67 for solar galactocentric radii.
The Horsehead nebula is a dark cloud filament protruding out of the Orion Molecular Cloud complex (Abergel et al. 2003) and it is visible in the optical against the prominent Hα emission of the large-scale ionized surface of the Orion Molecular Cloud complex. The region is located at a distance of 360 pc (Gaia Collaboration 2016). The cloud features a PDR with an edge-on geometry that corresponds to the illuminated edge of the molecular cloud L1630 on the near side of the H II region IC 434. The Horsehead PDR, with its simple, edge-on geometry is an excellent source for studying the PDR structure resulting from the penetration of the UV field into the molecular cloud. We use an abundance ratio α = α+ = 67.
Monoceros R2 (Mon R2) is an ultra-compact H II region located at 830 pc (Herbst & Racine 1976). The region contains a reflection nebula and the UCH II region is surrounded by several PDRs with different physical conditions (Pilleri et al. 2014; Treviño-Morales et al. 2014). For Mon R2, we also use an abundance ratio of α+ = α = 67 due to its close distance, similar to Orion. Mon R2 has a complex source morphology with different components along the line-of-sight and shows acorrespondingly more complex [C II] profile (see Sect. 4.1) than M43 and the Horsehead Nebula.
M17 is one of the brightest and most massive star-forming regions in the Galaxy. The H II region is ionized by a highly obscured (Av > 10) cluster of many (>100) OB stars (Hoffmeister et al. 2008). The M17 complex is located at a distance of 1.98 kpc (Xu et al. 2011). The H II region, together with its associated giant molecular cloud located to the southwest has been considered as a prototype of an edge-on interface. M17 SW corresponds to the southwestern part of the GMC. The high column densities involved across this complex source make it an ideal testbed for optical depth studies (e.g. Genzel et al. 1988; Graf et al. 1993). For M17 SW, we assume an abundance ratio α+ = α = 40, although one can argue that the value should be higher, around 57, according to the Galactocentric gradient relation refered in Sect. 1, taking M17 SW’s distance to the center of the Galaxy and also observational constraints (e.g., Matsakis et al. 1976; Henkel et al. 1982). We use a conservative lower value because any increase in the ratio would lead to an increase in the derived optical depth and column densities. Hence, the derived values have to be considered as lower limits to the actual values. We additionally note that fractionation, as discussed above, would also result in an increase in the abundance ratio, compared to the elemental abundance ratio.
3 Observations
The observations reported here were all performed with the SOFIA airborne observatory (Young et al. 2012). As the observations were performed over several observing campaigns, during which the receiver evolved and its configuration changed, the [C II] observations were done either with the single-pixel GREAT receiver (Heyminck et al. 2012), configured to the GREAT L2 single-pixel channel at 1900 GHz; or the upGREAT array receiver (Risacher et al. 2016), with the 7 pixel/2 polarization configuration: LFA (Low Frequency Array) polarizations H and V at 1900 GHz. The [C II] channel was combined with different receivers in the other GREAT frequency channel: partly, we used the L1 single-pixel channel (frequency between 1200–1500 GHz) tuned to [N II] 205 μm, and for Mon R2 we used the newly available upGREAT 7 pixel high frequency array HFA (High Frequency Array), tuned to [O I] 63 μm. The observational setup is summarized for all observations and the positions observed in Table 2. Where available, data from both LFA subarrays (H and V polarization) were averaged together. As spectrometers, we used the FFTS backends with an intrinsic spectral resolution of 142 kHz, and after a resampling described below depending on the source, it is more than sufficient for even the narrow line Horsehead Nebula observations. All observations were done in total power mode.
The data were calibrated to the main beam brightness temperature intensity scale, Tmb, with the kalibrate task (Guan et al. 2012), including bandpass gain calibration from counts into intensities and fitting an atmosphericmodel to the observed sky-hot scans to correct for the frequency dependent atmospheric transmission from the signal and image sideband. The main beam efficiencies of the individual pixels were derived through the observation of planets suchas Jupiter and Saturn for each observing epoch. On average, the main beam efficiencies are close to ~0.65, consistent with the optical layout of the receiver and telescope. We use the main beam temperature scale because SOFIA’s main beam pattern is clean, with low side lobes. We then further processed the data with the CLASS 90 package, part of the GILDAS3 software. In the following, we describe the specifics of the observations for each source.
Observational parameters for the sources.
3.1 M43
For M43, we first took a quick map of 600′′ × 140′′ extent, shown in Fig. 1a, in total power on-the-fly mode for identifying the [C II] peak. We used anoff-source reference position with an offset relative to the center of the map of (603′′,76′′). We selected this off position from CO (2–1) observations without emission, relatively far from the central emission. For the deep integration to detect the [13C II] line, we selected the position of peak emission at offsets relative to the center of (−107.6′′,28.5′′) for pointing the array with an orientation angle of 0° in total power mode. We found weak contamination in the off position for [C II] at a level of about 2 K. A multi-Gaussian profile fit to the OFF emission extracted from the sky-hot spectra was then applied as a correction to the contaminated observations (see Appendix B). The velocity resolution after resampling is 0.3 km s−1.
3.2 The Horsehead PDR
The Horsehead PDR observations were performed in two separate flight legs. We selected the positions for the deep [12C II] integration from the previous[C II] Horsehead map observed within SOFIA Director’s Discretionary Time. We pointed the LFA C II array to the map coordinate offsets (−5.5′′,45.9′′) with an array orientation angle of 30° (so that three pixels are aligned N-S) in total power mode, thus covering three positions along the bright [C II] ridge and the other 4 positions of the array being pointed slightly off, but parallel to the main ridge on both sides (see Fig. 1b). We used an off-source position at (−733′′,−27.5′′). The velocity resolution after resampling is 0.1 km s−1.
3.3 Monoceros R2
For the Monoceros R2 (MonR2) observations, two positions were observed at map offsets (0′′,05′′) and (−20′′,05′′) with the single-pixel L2 GREAT channel. The positions were selected for being the two main peaks of [C II] emission (Pilleri et al. 2014, see Fig. 1c). The off-source position was at (−200′′,0′′). We found weak contamination for [C II], at a level of around 2.5 K (it was corrected following the procedure described in Appendix B) that was detected through the observation of the off against a further out off-source position at (−400′′,0′′). The observations were performed in total power mode. The velocity resolution after resampling is 0.3 km s−1.
3.4 M17 SW
The M17 SW observations use the position of the SAO star 161357 as the map center position. Based on the previous observations (Pérez-Beaupuits et al. 2012) of M17 SW in [C II] with GREAT, we pointed the array to follow the main emission ridge, centering it at the map coordinates of (−60′′,0′′) with an angle of 0° (see Fig. 1d). We used a close-by offset position at (537′′,−67′′) selected from a Spitzer 8 μm map. We observed this off-source position against a second far distant reference position at (1040′′,−535′′). Due to the broad extent of the [C II] emission around M17 SW, we find weak contamination for [C II] at the level of 3.5 K peak brightness temperature at the nearby OFF position, that was corrected according to Appendix B. The velocity resolution after resampling is 0.3 km s−1.
4 [12C II]/[13C II] results
In this section, we focus on the [12C II] and [13C II] observations and their respective analyses. The [N II] observations are discussed in Sect. 5.2.2.
The long integration time and correspondingly high S/N required for the [13C II] detection allow us to detect features not observed previously such as a ling wing in the Horsehead PDR (see Fig. 2). Figures 3–6 show the observed [12C II] spectra for all four sources and observed positions. The top panel always shows the high S/N spectrum and a scaled-up version of the spectrum that makes the weak [13C II] satellites visible. The bottom panel shows an overlay of the averaged emission of the [13C II] hyperfine structure satellites (red, see Eq. (5)), scaled-up with the nominal abundance values α+, as given above, with the [12C II] spectrum, combined with a plot of the [12C II]/[13C II] intensity ratio and the derived optical depth.
4.1 Line profiles
In M43, all seven positions observed with the upGREAT-array show a narrow line profile with the main emission peak located at vLSR ~10 km s−1. The four positions with the strongest emission also show a secondary peak in velocity, located at ~5 km s−1, see Fig. 3a. The peak brightness temperature of Tm b ≈ 50 K implies a minimum excitation temperature for C+ of about 90 K due to the Rayleigh-Jeans correction (the high [C II] frequencies in the THz are well beyond the Rayleigh-Jeans regime). All three [13C II] satellites are clearly visible (although only barely for the case of the weak F = 1 → 1 satellite) and separated from the main [12C II] line emission. The [13C II] line profile, scaled-up by
for each hfs satellite, averaged over all three hfs satellites (see Sect. 4.2 for a detailed explanation of the averaging process), shows, within its higher noise, a shape consistent with the main isotope line. It is, however, consistently higher in intensity than the observed main isotopic line in four of the seven positions. This indicates that the emission is optically thick, as discussed in the next subsections.
In the Horsehead PDR, the [12C II] line profile is also narrow, with a single peak at ~10.5 km s−1, see Fig. 4a. In addition, it shows an extended wing toward higher velocities from the [12C II] peak, from 16 to 30 km s−1, see Fig. 2, a feature that can only be detected thanks to the long integration time and correspondingly high S/N required for the [13C II] detection. The wing is visible at all seven positions as shown in Fig. A.1. In order to separate the [13C II] line profile, the wing emission has been fitted with a third-order polynomial in the velocity range between 12 and 30 km s−1 with a window between 19 and 25 km s−1, which has been subtracted from the observed spectra shown in Fig. 4a; this is necessary to not confuse the derivation of the line ratios and the optical depths as below. Only the strongest [13C II] satellite ([13C II]F = 2−1) is well-detected in the positions that trace the ridge emission: pixels 0, 2, 3 and 6 (Fig. 1b). Similar to the case of M43, the [13C II] line profile, scaled-up by
(after subtraction of the wing emission, see Fig. 4b), shows a similar shape to [12C II] within its higher noise, but the intensity is higher than [12C II] in positions 0, 2 and 6, indicating an optical depth above 1.
For Mon R2, the two positions observed show a broad emission from 0 to 35 km s−1. The [12C II] line profile is very different between both positions but shares a strong dip at 12 km s−1. This situation was already noted by Ossenkopf et al. (2013) from Herschel [C II] observations towards Mon R2. In contrast, [13C II] shows a single peak, at both positions, filling the dip visible in the [12C II] emission, see Fig. 5b. All [13C II] satellites are strong enough for being detected, but [13C II] F = 2 − 1 is blended with the [12C II] line due to the width of the [12C II] emission line. After being scaled-up by
and averaged over the two outer satellites (see Fig. 5b), the [13C II] line profile has a much higher intensity than the main isotopic line. Thus, the [12C II] line is clearly optically thick with a significant opacity and the emission dip suggests self-absorption in [12C II], as has been discussed by Ossenkopf et al. (2013).
For M17 SW, the [12C II] emission is also broad, ranging from 0 to 40 km s−1 and the line profiles at the seven positions of the upGREAT array pixels, separated by 30′′, show large differences among each other. The [12C II] profiles show several narrow spikes and dips as discussed already by Pérez-Beaupuits et al. (2015b) (see Fig. 6b). Only the two outer [13C II] satellites can be separated, F = 1 → 0 and F = 1 → 1. F = 2 → 1 is blended due to the width of the [12C II] emission line. The [13C II] profile, unlike [12C II], shows a simple, close to Gaussian, profile with only one peak at ~ 20 km s−1. As for the other sources, the scaled-up [13C II] shows a much higher intensity than the [12C II] one. Thus, also for M17 SW, the [12C II] emission is optically thick and the emission dips in the [12C II] profile are probably due to self-absorption.
In summary, we detect all [13C II] hfs satellites (unless the F = 2 → 1-satellite is blended with the [12C II] line), except for the case of the Horsehead PDR, where only the strongest satellite is detected. In all cases, the scaled-up [13C II] emission exceeds the [12C II] main isotopic emission in the central velocities of the sources. The match is closer in the line wings, but typically the line center emission in [13C II] substantially overshoots. This indicates that the low optical depth, implicitly assumed for this scaling, does not apply.
![]() |
Fig. 1 (a) M43 [C II] integrated intensity map between 5 and 15 km s−1 with theposition of the upGREAT array for the deep integration marked as black hexagons. (b) The Horsehead PDR [C II] integrated intensity map between 9 and 13 km s−1 with the position of the upGREAT array rotated at 30°. (c) Mon R2 [C II] integrated map intensity in black contours in overlay with other species, see Pilleri et al. (2014). We pointed the single L2 pixel of GREAT at the two positions marked by purple circles (the squares represent OH+ positions). (d) M17 SW [C II] integrated intensity map (Pérez-Beaupuits et al. 2012) between 15 and 25 km s−1 with the position of the upGREAT array at 0°. |
![]() |
Fig. 2 Horsehead [12C II] and [13C II] F = 2–1 emission at 22 km s−1 (source vLSR plus hyperfine velocity offset Δv1−1) for position 0. The line profile shows a broad wing extending from 16 to 30 km s−1. |
![]() |
Fig. 3 (a) Mosaic observed in M43. For each position, the [12C II] line profileis shown in the top box. Below the spectra, we show the windows for the base line subtraction (−65,−45) (−10,30) (60,80) km s−1. The bottom box shows a zoom to the [13C II] satellites. (b) M43 mosaicof the seven positions observed by upGREAT. For each position, we show in the top panel a comparison between [12C II] (in black) and [13C II] (in red), the latter averaged over the hyperfine satellites and scaled-up by the assumed value of α+ = 67. The red line corresponds to 1.5 σ scaled-up by α+. Bottom panels: for all observation above 1.5 σ, the [12C II]/[13C II] intensity ratio per velocity bin (in gray) and the optical depth from the zeroth-order analysis (blue). |
4.2 Zeroth order analysis: homogeneous single layer
Although the narrow dips in the [12C II] profiles in two of the sources observed, Mon R2, and M17, clearly indicate self-absorption effects and high optical depths – and, hence, the need for several, physically different source components along the line-of-sight to properly interpret the observed spectra – we first ignore these issues and analyze the observed spectra in terms of a single component, homogeneous source model. This is relevant because low spectral resolution observations, which are incapable of resolving the detailed emission profiles and, hence, only capable of obtaining line integrated intensities for [12C II] and the outer [13C II] hyperfine components, would be restricted to such an analysis and would have to quote the resulting source parameters as their observational results.
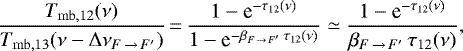
The optical depth is proportional to the line-of-sight integral of the population difference between the upper and lower states. Hence, the ratio of the optical depths of the [13C II] transitions and the [12C II] transition can be directly estimated as long as two conditions are met. First, the abundance ratio between the two isotopic species of [C II], named α+ above in Sect. 1, is constant across the source; in other words, we ignore isotope selective fractionation. Second, the excitation temperature of the main isotopic line and all three [13C II] hyperfine satellites are identical at each position in the source, meaning that no hyperfine selective trapping effects (e.g., in the optical ground state absorption transitions) result in different excitation. Thus, referring to the same Doppler-shift that is corrected bythe hyperfine frequency shift, the optical depth ratio is given by:
(1)
where
, and
corresponds to a single hyper-fine component and it is defined as:
(2)
The assumption from above is well justified: with regard to the assumed constant abundance ratio across the source, detailed modeling within the context of a photo-dissociation region (Ossenkopf et al. 2013) shows that fractionation between [13C II] and [12C II] at maximum can reach up to a factor of about two. With regard to the assumed identical Tex for [12C II] and [13C II], hyperfine selective trapping in the optical and UV ground state absorption transition can be ruled out as very unlikely because the frequency splitting of the [13C II] hyperfine states corresponds to a velocity splitting of below 0.3 km s−1 at optical and UV wavelength so that the hyperfine lines are fully blended in the optical transition4. The observable intensities, according to the formal solution of the radiative transfer equation for a homogeneous source, Tex = const., are given by:
(3)
Here
is the equivalent brightness temperature of a blackbody emission at temperature T and ηϕ is the beam filling factor of the layer. Also, as there is no bright continuum background emission in any of the sources observed, except for M17 SW, the only background is the cosmic microwave background with Tbg = 2.7 K, corresponding to 70 mK at 1.9 THz, so that we can neglect the
term. In thecase of M17 SW, Meixner et al. (1992) detected dust continuum emission, with temperature between 75 and 40 K and a dust optical depth between 0.021 and 0.106. At 1.9 THz, and taken into account its distribution, the background emission ranges between 1 and 4 K. We have ignored this contribution because for the optically thin emission, it would only result in an increase in the continuum that was already removed due to the baseline subtraction. For the optically thick [12C II] emission, it could affect the derivation of the excitation temperature as done in the analysis, but only by a few K, not significantly changing the estimated parameters.
![]() |
Fig. 4 (a) Same as Fig. 4a, but for the Horsehead PDR observations, with the windows for the base line subtraction at (−65,−45) (0,30) (60,80) km s−1. (b) Same as Fig. 4b, but for the Horsehead PDR observations and an assumed α+ = 67. |
![]() |
Fig. 5 (a) Same as Fig. 3a, but for the Mon R2 observations, with the windows for the base line subtraction at (−65,−45) (0,30) (60,80) km s−1. (b) Same as Fig. 3b, but for the 2 positions in Mon R2 observed with GREAT L2 and an assumed α+ = 67. |
![]() |
Fig. 6 (a) Same as Fig. 3a, but for the M17 SW observations, with the windows for the base line subtraction at (−60, −30) (−15,50) (75,95) km s−1. (b) Same as Fig. 3b, but for the M17 SW observations and an assumed α+ = 40. |
4.2.1 [12C II] optical depth
Combining the assumption of a homogeneous source, and of equal Tex for all [12C II] and [13C II] transitions, a zeroth-order estimate of the optical depth of [12C II] can be derived from the intensity ratios of the [13C II] and [12C II] intensities at correspondingly shifted Doppler velocities. Following Eqs. (1) and (3), we can write:
(4)
where the last step assumes that [13C II] is optically thin, an assumption well justified by the value of α+ in the range of 40 to 80 (Goldsmith et al. 2012; Ossenkopf et al. 2013).
Instead of calculating the [12C II] optical depth for each [13C II] hyperfine satellite separately, we use the noise weighted average (weighting factors
defined below) of the appropriately velocity shifted and scaled-up three hyperfine satellites:
(5)
with
the relative intensities from Table 1 and σ is the rms noise level of the observation. The F, F′-sum in Eq. (5) runs overall satellites that are not blended with the main [12C II] line. Therefore, each satellite is scaled-up to the total [13C II] intensity and then averaged, independent of the number of satellites used. Using the [13C II] average spectrum, Eq. (4) reads:
(6)
These averaged [13C II] spectra, scaled-up by the factor α+, are plotted as the red histograms in Figs. 3b–6b. The gray bar histograms in the lower panel give the [12C II]/[13C II] intensity ratio calculated from Eq. (6) for each velocity bin; the velocity range is restricted to where the [13C II] profiles show an intensity above 1.5 σ (see a discussion about the threshold in Sect. 5.1 and Appendix A). For each spectrum observed, we numerically solve Eq. (6) for τ12(v) for each velocity bin in this range. The thus derived opacity spectra are shown as the blue histograms in the lowerpanels of Fig. 3b–6b. The velocity ranges above the [13C II] thresholds for each source are given below.
For M43, the 1.5 σ [13C II] threshold of 0.35 K results in a useful velocity range from 3 to 17 km s−1. In Fig. 3b, we see that the [12C II]/[13C II] line ratio ranges typically around 40 in those spectral regimes, where the [13C II] intensity is weak. Thus, it is close to the threshold emission level. The high S/N in these deep integrations with upGREAT/SOFIA thus results in the possibility of measuring directly the [12C II]/[13C II] abundance ratio from these regions of weak [13C II] emission (see Sect. 5.1). The opacity derived from the observed [12C II]/[13C II] line ratio shows the line to be optically thick along the main emission region for positions 0 and 4, with an optical depth of 2 around the [13C II] peak.
For the Horsehead PDR, we have subtracted the red wing emission visible in [12C II]. The [12C II] and [13C II] emission profiles are similar and peak at the same LSR-velocity, see Fig. 4b. The velocity range used above a [13C II] threshold of 0.22 K is 3 to 17 km s−1. The [13C II] S/N is not sufficient for a proper estimation of the line ratio outside the line center. The emission is optically thick along the main ridge for positions 0, 2, 3, and 6, with an optical depth of ~ 2. For the outer positions, the low S/N does not allow for a good estimate of the optical depth.
For Mon R2, the useful velocity range above a [13C II] threshold of 0.45 K ranges from 6 to 15 km s−1 (see Fig. 5b). The line profiles match only in the red line wing emission. The [12C II]/[13C II] Tmb ratio varies outside the peak and reaches average values of about 29, lower than the value of α+ = 67 we assumed for the source. Correspondingly, we also note that the derived [12C II] opacity is still well above unity in the wing region. The value of the optical depth, derived following the zeroth-orderanalysis, is very high in the line centers of both spectra, reaching up to a value of 7 around the [13C II] peak for both positions. The LSR-velocities of the peak emission in [13C II] and [12C II] are slightly shifted. The [12C II] at position 1 is flat-topped and both positions show strong dips in the emission profile. This indicates that the assumption of the zeroth-order analysis, namely that of a single component, is insufficient for explaining the line profiles of Mon R2.
The situation is similar for M17 SW. At all seven positions observed the [13C II] spectra, scaled-up with the assumed abundance ratio, overshoot in the line centers, and match in the line wings. In addition, the [12C II] spectra show several emission peaks or absorption dips, whereas the [13C II] spectra exhibit smooth line profiles. With a [13C II] threshold of 0.5 K, the useful velocity range is from 12 to 28 km s−1 (see Fig. 6b). The [12C II]/[13C II] Tmb ratio in the line wings tends to be between 15 and 30, with considerable variations but on average well below 40, the value for α+ assumed for the source. Correspondingly, the optical depth is still around or above unity, even in the wings. We find that the emission is optically thick in the line centers in all positions, with an optical depth between 4 and 7, except at position 5, where it is located outside the main ridge of emission with an optical depth closer to unity.
For all four sources, the zeroth-order analysis shows that the [12C II] emission is optically thick, reaching high values for Mon R2 and M17 SW, in particular. For both these sources, the [12C II] spectra are partially flat-topped, and they show a complex velocity structure with several emission components or absorption dips, clearly indicating that the simplified assumptions of the zeroth-order analysis are not met. Thus, the derived high optical depth values for these last sources are true only under the single layer assumption, and no further conclusions can be derived. A more sophisticated, multi-component analysis (see Sect. 4.3) must be used to analyze the line and to derive proper physical properties.
4.2.2 [13C II] Column density
If we assume that [13C II] is optically thin, we can estimate its column density as a function of the integrated intensity of the emission. The optical depth as a function of the velocity is:
(7)
using a normalized profile function ∫ ϕ(v) dv = 1. Aul is the [C II]fine structure transition’s Einstein A coefficient for spontaneous emission (2.3 × 10−6 s−1, Wiese & Fuhr 2007), gu,l are the statistical weights of the [12C II] levels, with gu = 4 and gl = 2, N(C II) is the [C II] column density, νul is the frequency of the [C II] (1900.5369 GHz) and T0 = hνul∕k is the equivalent temperature of the excited level, 91.25 K.
Now from Eq. (3), if the emission is optically thin, τ ≪ 1, we can approximate the optical depth as (1 −e−τν) ≈ τν. The integralof the brightness temperature, using Eq. (7) for the optical depth, is:
(8)
Rearranging Eq. (8) for the column density gives:
(9)
with
. In the high limit Tex → ∞ and f(Tex) → 3∕2. Higher values occur at lower excitation temperatures. Therefore, we can define a minimum column density as:
(10)
and the column density as:
(11)
In Fig. 7, we show how the value of Tex affects the estimated column density.
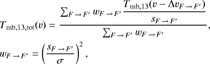
In Table 3, we list the values derived for the [13C II] minimum column density by using Eq. (10) with the [13C II] integrated line intensity (the weighted sum over all observationally resolved hyperfine satellites, see Eq. (5)) for all positions in each source. We also list the [12C II] minimum column densities obtained by scaling the N([13C II]) values with α+. For comparison, we also list the minimum N([12C II]) that would be obtained directly from the [12C II] integrated intensity in Eq. (10) under the obviously wrong assumption of optically thin emission. We also give the ratio between the N([12C II]) derived fromthe scaled-up [13C II] and the N([12C II]) that is derived assuming optically thin emission. This emphasizes how the derived [12C II] column density changes by taking into account the optical depth and the self-absorption effects described above in Sect. 4.2.1. We note that observations without sufficient velocity resolution to reveal the [13C II] hyperfine lines and the detailed [12C II] line profiles (and, hence, the individual different source components along the line-of-sight) would be limited to the values derived from the line-integrated [12C II] profiles.
In the following, we always convert the derived [12C II] column densities to an equivalent visual extinction, where we use the standard value of 1.2 × 10−4 for the relative abundance of hydrogen to carbon (Wakelam & Herbst 2008) and the canonical conversion factor between hydrogen column density and visual extinction of 1.87 × 1021 cm−2∕AV (Reina & Tarenghi 1973; Bohlin et al. 1978; Diplas & Savage 1994; Predehl & Schmitt 1995), hence
. We note that these equivalent extinctions are a lower limit as they assume that all carbon is the form of C+.
Table 3 shows high column densities and equivalent visual extinctions for all four sources, especially for Mon R2 and M17 SW. Using the [13C II] intensities, the lower limit of the equivalent AV reaches up to around 36 magnitudes for one position. We emphasize that these high equivalent column densities and equivalent visual extinctions are derived directly from the [13C II] integrated line intensities, assuming low optical depth, that is, by counting [13C II] atoms emitting from the upper fine structure state. An excitation temperature below 100 K would further increase the column densities (see Fig. 7).
The beam-averaged equivalent extinctions, which are already lower limits, derived from [13C II] are in the range of 1 to a few for the Horsehead PDR, and range up to about 7 AV for M43. We note that the Horsehead PDR optical depth estimated above in Sect. 4.2.1 is similar to the one derived for M43, whereas the [13C II] column density is lower: the optical depth is given by the column density per velocity element and, hence, the smaller line width in the Horsehead PDR compensates for the lower column density to give a similar optical depth. Now the derived [12C II] equivalent extinctions and the ratio between [13C II] and [12C II] extinctions show that the scaled-up [13C II] Av is similar or higher than the one from the assumedoptically thin [12C II], especially in the Horsehead PDR. For M43, the ratios around unity likely result from a combination of optically thin emission in the outer positions, low S/N in the [13C II] wings plus the additional [12C II] emission nottraced by [13C II]. For the Horsehead PDR, with its similar optical depth, the higher ratios result from the higher noise that tends to increase the estimation of the [13C II] integrated intensity. For Mon R2 and M17 SW, the column densities derived from [13C II] correspond to an equivalent (minimum) AV around 20 and up to 36 mag.
We emphasize that the more sophisticated analysis below in Sect. 4.3, taking into account the optical depth of [12C II] implied by the large [C II] column, along with the assumption of a multi-layered source structure with background emission and foreground absorption does not change the fundamental result of very high [C II] column densities. In fact, the column densities derived here from the optically thin [13C II] emission are the minimum possible, due to the fact that we have derived the column densities in the high excitation temperature limit in the current analysis. The column densities and total equivalent visual extinctions derived in the different scenarios below always add up to at least the amount of material derived from the simple analysis of the [13C II] integrated intensities. Typically, there is additional [12C II] that not detected in the [13C II] emission due to its limited S/N.
![]() |
Fig. 7 Ratio between N(CII) and Nmin(CII) assuming a beam filling factor of 1 as a function of Tex. Above Tex = T0 = 91.2 K, the increase relative to the minimum value, is well below a factor of 2. |
4.3 Multi-component analysis: multi-component dual layer model
The discussion in the previous section offers clear evidence of high column density and optically thick emission for all sources and, in addition, absorption features for Mon R2 and M17 SW. It is also clear that the simple approximation of a single component source is not adequate. Therefore, we follow an approach similar to the one by Graf et al. (2012) as in the case of NGC 2024 for deriving the physical properties of the [C II] emission. The objective is to explain the [12C II] and [13C II] main beam temperature line profiles by a composition of multiple Gaussian source components through a least-square fit to the observed profiles. The source is assumed to contain two layers, a background emission layer with a variable number of components adapted to the observed structure of the [13C II] and [12C II] line profile, and, in the case of absorption features in the [12C II] profile, a foreground absorption layer with a different number of Gaussian components. For completeness, we mention that also a single layer, multi-component model gives formally correct fits to the observed line profiles, as is discussed in Appendix D. However, we have ruled out this scenario as being physically implausible, as discussed in Appendix D.
We use the radiative transfer equation for [C II] (Crawford et al. 1985; Stacey 1985; Goldsmith et al. 2012), where each source component i is characterized by four parameters: the excitation temperature Tex,i, the [12C II] column density Ni (12C II), its center velocity (vLSR,i), and its FWHM velocity width ΔvLSR,i. The [13C II] column density is scaled down from the [12C II] column density by applying the abundance ratio α+, as specified above in Sect. 2 (α+ Ni (13C II) = Ni(12C II)); the abundance ratio is assumed to be the same for each source component.
We make three assumptions for the modeling process: (i) the excitation temperature is the same for the [12C II] and all three [13C II] hyperfine structure lines. (ii) [13C II] is always optically thin. (iii) If a [12C II] component does not have a visible [13C II] counterpart above the noise level, the [12C II] component is not affected by self-absorption effects. We use a superposition of Gaussian line profiles. Therefore, the line profile for each individual source component i is characterized by its LSR-velocity, vLSR,i, and full-width-half-maximum line width ΔvFWHM,i as:
(12)
The combined line profile of each component i for both the [12C II] main line and all three [13C II] hyperfine satellites can be written as:
(13)
where
is the [13C II] hyperfine satellite’s velocity offset with respect to [12C II] (Table 1), and
, as defined in Eq. (2). In Eq. (13), the first term corresponds to the line profile of the [12C II] emission and the second one is the combined line profile of the three [13C II] satellites. With these definitions, we can define, using Eq. (7), the optical depth profile τi (v) for each individual source component i as:
(14)
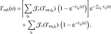
Finally, from Eq. (3), the observed main beam temperature Tmb is the combination of the emission from the components ib of the background layer, absorbed through the combined absorption by the components if of the foreground layer, plus the emission from the foreground layer, and is given by:
(15)
The multi-component fitting is applied to Eq. (15) in a physically motivated iterative process. We first note that the high S/N of the observed [12C II] profile does not leave much ambiguity with regard to the center velocity and width of additional Gaussian components. However, the fitting process is degenerate without any further constraints, as multiple combinations of Te x and Ni (12C II) exist for the same optical depth. Tex and Ni (12C II) are, roughly, inversely proportional to each other, as we can see in Eq. (14) in relation to the optical depth. For the line profiles without absorption notches requiring additional foreground components, Tex is constrained by the (Rayleigh-Jeans corrected) peak brightness of each Gaussian component, so that it, like the column density, it can be handled as a free fit parameters (this applies to M43 and the Horsehead PDR spectra). For the cases of both background emission and foreground absorption, brighter background emission, namely higher excitation temperature in the background, can be compensated by deeper foreground absorption, hence higher column density and optical depth, in the foreground. We thus have to fix Tex to a reasonable value. For the background layer, we have, as a lower boundary to Te x, the Rayleigh-Jeans corrected, observed Tmb, which, to first order, adds T0∕2 = 45.6 K to the brightness temperature. Also, according to PDR models, we expect an excitation temperature of 50 K to a few 100 K maximum. We have therefore decided, for these sources, to fix the Te x for the background to values of 30 to 200 K, depending on the source (see Tables F.1–F.4). We do this to keep the background optical depth at reasonable values, namely, close to unity or a bit higher. It is important to note that the fitted excitation temperatures are expected to be higher than the dust temperatures in the PDR due to the lose coupling of the gas and dust thermal balance. Thus, the gas is heated by the photoelectric effect by UV radiation, increasing its temperature well above the dust temperature. This is an inherent property of PDRs (Tielens & Hollenbach 1985). Deep in the cloud, the situation may reverse (see also Sect. 5.2.1). This is theoretically well understood (see e.g., Röllig et al. 2013) and was observed, for example, for the S140 region by Koumpia et al. (2015).
For the foreground layer, Tex must be low to act as an absorption layer without significant [13C II] emission: anupper boundary is given by the Rayleigh-Jeans corrected brightness temperature in the center of the absorption dips. Lower values resultin lower column densities of the absorbing layer, as less material is needed to build up sufficient optical depth. For this reason, we have varied Tex for the absorbing layer between 20 and 45 K providing a kind of minimum column density. The optical depth is insensitive to changes below 20 K.Any change to the excitation temperatures for the same column density affects the optical depth by less than 5%. Above 20 K we can see effects in the optical depth. At temperatures up to 45 K, we also fulfill the assumption that the contribution from the foreground layer to the emission is insignificant.
In order to illustrate the iterative fitting procedure, we select position 1 of Monoceros R2 as an illustration case and describe this complex procedure step by step:
- i)
Figure 8a: we fit the [13C II] emission as originating in part of the background layer, masking the [12C II] line, fixing the excitation temperature and leaving the other parameters free. As the fitting function contains simultaneously the matching [12C II] line, the [13C II] fitting produces a [12C II] profile (scaled by the abundance ratio α+) that overshoots the observed [12C II] profile. In this example, we have used an excitation temperature of 160 K for the background component with an abundance ratio of α+ = 67. This way, we keep the background optical depth close to unity. We originally fixed the temperature to 150 K, but an increment to 160 K improved the fit.
- ii)
Figure 8b: next, we fit the [12C II] remaining emission with additional background layer components which, due to their low column density, have a negligible contribution to the [13C II] emission, using the smallest possible number of Gaussian components for the fitting. In this example, we used a Te x of 150 K for the remaining background components.
- iii)
Figure 8c: as the fitted line profile of these combined background emission components now overshoots the observed one in several narrow velocity ranges, we then fit the foreground absorption features using a fixed and low Tex. For position 1, in the Mon R2 example, we used a Tex of 20 K for these foreground components. This step is necessary only if the source is affected by self-absorption.
We applied this two-layer, multi-component fitting procedure to the [12C II] and [13C II] emission in all positions observed in all four sources. We calculate the line center optical depth of each component from the fit-parameters, following Eq. (14). For Mon R2 and M17 SW, the fitting requires the inclusion of foreground absorption as discussed above. But for M43 and the Horsehead PDR, we have seen that the [13C II] line profile follows the [12C II] one and their emission peaks at the same velocity. Thus, no absorbing foreground layer is needed, and we can model the [12C II] and[13C II] emission for these two sources by using only a single background layer with multiple emission components. In this case, we can leave Tex as a free fit parameter instead of fixing it.
We summarize the fitting results in Tables 4 and 5 (the full set of fit parameters of each component for all positions of the sources is shown in Appendix F), including the χ2 of the fit result, the excitation temperaturefor the background layer (Tex,bg) (taken as the excitation temperature of the background component that traces the [13C II] emission), and the temperature of the foreground layer component that has the highest optical depth (Tex,fg). We also show the total column density N12(C II) for each layer and the peak optical depth of the component closest in LSR-velocity to the [13C II] peak temperature for the background (
) and foreground layers (
) as representative optical depths for each position. We have selected this optical depth as representative for two reasons: the bulk of the [12C II] emission comes from the material traced by the [13C II] emission (as we can see in Fig. 8a), and it is the component that experiences the largest self-absorption effects. We also quote the equivalent visual extinction corresponding to the [C II] column density as AV.
[13C II] integrated intensity and minimum column density, [12C II] minimum column density scaled-up using α and equivalent extinction. [12C II] integrated intensity, minimum column density assuming optically thin emission and equivalent visual extinction.
4.3.1 M43 analysis
The best-fit Tex for the [13C II] emission is close to 100 K for the different positions, while the Tex fitted for the [12C II] background emission not covered within the [13C II] profile is much lower, in the range from 30 to 70 K (see Fig. 9 for an example of the fitting corresponding to the central observed position). The total [12C II] column density for the different positions varies between 1 × 1018 and 4 × 1018 cm−2, with an equivalent visual extinction between 4.9 and 18.3 mag (Table 4).
4.3.2 Horsehead PDR analysis
For the multi-component analysis, we have used the spectra discussed previously in Sect. 4.1, without applying the wing subtraction through a polynomial. In the Horsehead PDR, due to the blending of the [13C II]F = 2−1 satellite with the [12C II] wing at the higher LSR-velocities (Fig. 2), we first fitted the wing emission with several Gaussian components while masking the [13C II]F = 2−1 velocity range. This is necessary because the wing overlaps with the [13C II]F = 2−1 emission and thus affects the [13C II] fitting process (we note that the approach here is different from the one done in the zeroth-orderanalysis, where we subtracted the wing emission by a polynomial fit to obtain the [13C II] profile). Then we continue fitting the [12C II] and [13C II]F = 2−1 emission. The excitation temperature which can be left as a free fit parameter in this case, as discussed before, gives a value for all the components at the different positions of around 30 K. For the positions that are located outside the main interface ridge, positions 1, 4, and 5 (Fig. 1b), the [13C II]F = 2−1 satellite emission is heavily blended with the wing emission, so those column densities fitted for these positions should be considered as a rough estimate because they are not constrained by the optically thin [13C II] emission. We derive a total [12C II] column density for the different positions ranging from 3.6 × 1017 cm−2 to 1.3 × 1018 cm−2 (see Table 4), which is much lower than for the case of M43 due the smaller line width. The equivalent visual extinctions range from 1.6 to 5.8 mag. Figure 10 shows as an example the fit results in position 6.
![]() |
Fig. 8 Demonstration of the multi-component fitting procedure, taking the Mon R2 Pos 1 spectrum as an example. Each plot (a–c) is structured in the same way. Left top: fitted model in green and the observed spectrum in red. Middle left: zoom-in vertically of the fitted model and the observed spectra to better show the [13C II] satellites. Left bottom: residual between the observed spectra and the model. Right top: fitted background emission component in blue, the resulting background emission model from the addition of all the components in cyan and the observed spectrum in red. Right bottom: optical depth of each absorbing foreground component (inverted scale) in pink. a: fitting of the [13C II] emission, masking the velocity range of the [12C II] emission. b: fitting of the remaining [12C II] background emission. c: fitting of the foreground absorbing components. |
M43 and the Horsehead PDR column density for the background components.
MonR2 and M17 SW column density for the background and foreground components for the double layer model.
4.3.3 Monoceros R2 analysis
For Mon R2 (see Fig. 8), we fixed the background Tex to 150 K and the foreground Tex to 20 K. Wedetermined the total [C II] column density for both positions and each layer and obtained a total background column density of 4.2 × 1018 and 4.7 × 1018 cm−2, respectively, and a total foreground column density of 8.3 × 1017 and 6.4 × 1017 cm−2. The equivalent visual extinction in the two positions observed corresponds to 18.7 mag and 21.0 mag for the background, and 3.7 and 2.9 mag for the foreground.
![]() |
Fig. 10 Same as Fig. 8, but for the Horsehead [12C II] spectra of position 6 with no foreground absorption. |
4.3.4 M17 SW analysis
For M17 SW, we fit the [13C II] emission using a fixed excitation temperature between 180 and 250 K for the background. We selected a higher range, compared to Mon R2, because the brighter [13C II] emission, and correspondingly brighter [12C II] background emission, requires a larger temperature for a reasonable optical depth. Otherwise, it would require a larger fore- ground absorption, even in the line wings. For the foreground components, we use temperatures between 25 and 45 K. Figure 11 shows the fit results in position 6 as an example. As we can see in Table 5, the total column density for each of the seven array positions range from 3.0 × 1018 to 9.2 × 1018 cm−2 for the background layer, and from 3.9 × 1017 to 3 × 1018 cm−2 for the foreground layer. The equivalent visual extinction between 13.4 and 41.0 mag for the background, and 1.7 to 13.4 mag for the foreground.
5 Discussion
Considering that the standard PDR models predict an equivalent AV of slightly above unity for a single PDR-layer, the [13C II] integrated intensity derived in Sect. 4.2.2 is consistent with a simple, single layer PDR model only for the case of the Horsehead PDR and M43, and if the emission is fully filling the beam. In the other two sources, as we have seen from the multi-component analysis in Sect. 4.3, the large equivalent visual extinctions imply at least several, and up to many, PDR layers along the line of sight (and filling the beam) in the framework of standard PDR models. Obviously, this requires the assumption of clumpiness and piling up of many PDR surfaces on clumps along the line of sight. Also, the ratio between the scaled-up [13C II] equivalent extinction and the assumedoptically thin [12C II] show again how [12C II] underestimate the column density and the equivalent visual extinction by a factor as high as 3. A key point in this discussion is the [12C II]/[13C II] abundance ratio assumed for the scaling of the [13C II] intensity.
5.1 [12C II]/[13C II] abundance ratio
The observed intensity ratio [12C II]/[13C II] is lower in the line centers than the assumed abundance ratio for each source. We can interpret this as being due to self-absorption in the line centers as it was done in the multi-component analysis above in Sect. 4.3. Towards the line wings, the intensity ratio increases. But only in the case of M43 it reaches a value close to the assumed abundance ratio for this source (see gray histograms in Figs. 3b–6b). For Mon R2 and M17 SW the ratio towards the line wings only reaches up to about half of the assumed abundance. This is, of course, linked to the S/N threshold that we apply to define the useful velocity range: better signal-to-noise would allow us to derive also a ratio further out in the line wings. In fact, for the case of the Horsehead PDR with its relatively weak lines, the signal-to-noise is sufficient only near the line center and we do not observe an increase toward the line wings because we have no valid data there.
If the abundance ratio in the source would in fact be lower than the assumed literature value, the derived optical depths would be correspondingly lower. Thus, the important question is whether the derived high optical depths are an artifact, based on an assumed high abundance ratio. Higher S/N would increase the useful velocity range and would thus allow to trace the line intensity ratio further out in the line wings. Thus, it is essential whether the intensity ratio in this regime keeps increasing until it reaches a plateau at the (assumed) value for the 12C+/13C+ abundance ratio, namely α+. In Appendix C we present a discussion about how the binning, the [12C II] optical depth and the 1.5 σ threshold affects the [12C II]/[13C II] abundance ratio estimation.
We can check on this for the case of M17 SW by averaging six of the seven positions observed (the ones with high intensity, i.e., excluding position no. 5) and analyzing the average spectrum. Figure 12 shows this average spectrum, for which the useful velocity range with a [13C II] intensity above 1.5 σ now extends from 10 to 28 km s−1. The intensity ratio in the outer wings clearly rises up to values ≈45, close to the assumed abundance ratio of around 40. The high S/N of 18 for the [13C II] emission is not necessarily enough to determine α+, but, rather, it may underestimate it by up to 30% (see Appendix C). This would lead to a corrected intrinsic abundance ratio of 60 instead of 40 for M17 SW. The increased α+ value may be a sign of fractionation of the ionic species; in fact, we point out that we have used a conservative lower value for α (see Sect. 3), whereas the values from the literature and the Galactocentric distribution for carbon isotopes (detailed above in Sect. 1) are closer to 60. This demonstrates that with high enough S/N in addition to a correction factor, we can directly determine the abundance ratio α+ from line intensity ratio observed in the optically thin line wings.
With the derived new abundance ratio, we repeat the multi-component analysis for M17 SW. We summarize the fitting results in Table 6. The increment in the abundance ratio leads to an increase in the number of components needed for a good fit due to the larger intensity of the scaled-up [13C II] line emission requiring more components for a similar excitation (or a higher excitation temperature). This results in an increase between 20 and 40% in the derived column density and, proportionally, in the equivalent visual extinction.
Unfortunately, we can only do this test for the case of M17 SW. For the second source with significant optical depth even in the line wings and, therefore, an [12C II]/[13C II] intensity ratio in the wings still significantly below the assumed abundance ratio in the source, namely Mon R2, we only have the two spectra taken with the GREAT L2 single pixel instrument and averaging the two does not give a sufficient increase in S/N to allow to trace the line intensity ratio further out in the wings. Future observations are needed to check on the assumed abundance ratio also in this and the other sources, in addition to further analysis for a study of this possible indication of fractionation in M17 SW.
5.2 Comparison between [C II] and other tracers
5.2.1 CO Molecular emission
To compare [12C II]-emitting gas with themolecular gas traced by CO and its isotopologues, we used the low-J CO rotational line data, including the rare isotopologues of C18O 1–0 and C17O 1–0, in this part of the study. We compared the molecular and ionized material for M43, Mon R2, and M17 SW respectively.
For M43, we use CO data observed with the Combined Array for Millimeter-Wave Astronomy (CARMA), within the CARMA-NRO Orion Survey project (Kong et al. 2018; Suri et al. 2019). The molecular lines observed are 13CO J = 1–0 and C18O J = 1–0 for the seven [C II] positions. In Fig. 13, we compare the different CO isotopic line profiles against the [12C II] and [13C II] emission. The line profile between the CO isotopologues and [C II] tend to be similar for the main emission located at 10 km s−1, with the [C II] peak shifted to the blue part of the spectra. On the other hand, there is no molecular counterpart to the secondary peak at 4 km s−1. From the [C II] integrated intensity map (Fig. 14), we can see that this secondary peak forms a ring-like structure, and from the comparison against [N II] done below in Sect. 5.2.2 (Fig. 17), the [N II] also peaks at 4 km s−1. As a result, the material at the secondary peak would correspond to ionized material; the material at 10 km s−1 would be the molecular region traced by CO.
For Mon R2, we use the published data by Ginard et al. (2012) at the two positions observed in [C II]. The molecular lines are 13CO J = 1–0 and C18O J = 1–0 observed with the EMIR receiver (Carter et al. 2012) at the IRAM 30 m telescope. The CO isotopologues (Fig. 15) show a similar profile to the [13C II] emission at the 10 km s−1 peak, with [C II] more extended at higher velocities. There is no molecular emission at 15 km s−1, so it is safe to assume that this material could be correlated with ionized gas.
For M17 SW, we use the published data from Pérez-Beaupuits et al. (2015b,a) at the seven positions observed in [C II]. The CO isotopologue lines are 13CO J = 3–2, observed with FLASH (Heyminck et al. 2006) at the APEX telescope (Güsten et al. 2006), and C18O J = 1–0 and C17O J = 1–0 observed with the EMIR receiver at the IRAM 30 m telescope. The spectra have a similar angular resolution, therefore they are directly comparable. Also, the comparison with low-J CO is appropriate in this case, the foreground absorption layer is composed by cold gas, hence gas traced by low-J CO emission. Figure 16 shows that the molecular emission is associated with the [C II] gas in the central [13C II] emission that peaks at 20 km s−1. But at lower velocities (lower than 15 km s−1), there is no molecular emission. From the comparison against [N II], as can be seen below in Sect. 5.2.2, [N II] peaks at 0 km s−1, with a long tail from 0 to 20 km s−1. This shows that the ionized gas is located at 0 km s−1 and has only weak [C II] emission associated. For larger velocities, the emission gets associated with the molecular region, showing the transition from the ionized to the molecular regime.
This scenario was already studied by Pérez-Beaupuits et al. (2015b). They found correlations between the [C II] and H I emission at 10 km s−1, with molecular material at 20 km s−1 and ionized at 30 km s−1 from the residuals. From our observations, we have H II at 0 km s−1 (traced by [N II]), H I at 10 km s−1 and molecular H2 at 20 km s−1. For the velocities higher than 25 km s−1, we can only affirm that [C II] does not correlate with any other tracer.
From the C18O J = 1–0 observations, we estimate the C18O column density for all available sources and each position, following Mangum & Shirley (2015) and Schneider et al. (2016). For the rotational excitation temperature, we used values based on the dust temperatures from the Herschel Gould Belt (André et al. 2010) and HOBYS (Motte et al. 2010) imaging key programs and published in Stutz & Kainulainen (2015) for M43, Rayner et al. (2017) for Mon R2, and Schneider, N. (priv. comm.) for M17 SW. The typical dust temperatures in regions of peak [C II] emission are: 16 K for M43, 26 K for Mon R2, and 35 K for M17 SW, respectively.For the rotational excitation temperature, we used the dust temperatures for M43 and Mon R2, but for M17 SW, we used a value of 25 K, which is lower than the dust. We lowered this value because we expected the molecular material to be located in the UV-shielded core, whereas the dust is located in the UV-heated out layers.
Using these as the C18O excitation temperature (assuming the temperatures as an upper limit for the molecular gas), we derive the C18O column densities listed in Table 7, also converted to an equivalent H2 column density assuming an 16O/18O ratio of 490 for M43, 500 for Mon R2 and 425 for M17 SW, according to Wilson & Rood (1994), and a CO/H2 ratio of 1.2 × 10−4 (Wakelam & Herbst 2008). Here we assume that all carbon in the molecular region is in molecular form as CO. Finally, we also list the equivalent visual extinction knowing that 2N(H2) = 1.87 × 1021 cm−2 AV. As an independent verification, we also checked the dust column densities derived from Herschel. The dust column densities agree within 30% with the values determined from C18O using these excitation temperatures.
We can now compare the equivalent extinctions (or for that matter, the derived H2 column densities) derived from [C II] and from the CO isotopologues lines with the ones derived from the multi-component analysis for [C II]. For M17 SW, in positions 5 and 6, the [C II] equivalent AV is higher for both model scenarios than the oneestimated from C18O. This comes as no surprise because, based on velocity channel maps between the molecular and ionized line observations (Pérez-Beaupuits et al. 2015b), it is known that these positions are located off the main molecular ridge and hence dominated by PDR material.
For the other positions, the equivalent AV of the [C II] layer estimated for the double-layer [C II] emission model gives a lower equivalent [C II] column density than the ones derived from C18O, on average 25% of the molecular column density. Hence, a worthwhile part of the hydrogen gas is also in atomic form, associated to the [C II] emission in the PDR. It is important to notice that for both cases, we have assumed as a simplification that all carbon is in atomic or molecular form, so the equivalent visual extinctions estimated here are lower, counting only the fraction of the materialtraced by the respective species.
For Mon R2, the situation is similar. The equivalent visual extinction of the molecular gas traced by C18O is 40.0 for position 1 and 44.5 mag for position 2, whereas the double layer scenario has significantly lower, although still relatively high, equivalent visual extinctions, 21 mag for the warm background and 3 mag for the foreground [C II] emission. A comparison with the single layer model is given in Appendix D.
![]() |
Fig. 13 M43 line profile comparison between [12C II] (in black), [13C II] (in red), scaled-up by α+, CO (1–0) (ingreen), 13CO (1–0) (in blue), and C18O (1–0) (in cyan). CO and its isotopologues has been scaled-up by the factors indicated only to be compared with [13C II]. |
![]() |
Fig. 14 Top: M43 [C II] integrated intensity map between 2 and 6 km s−1. Bottom: same as before but between 6 and 20 km s−1. |
![]() |
Fig. 15 Mon R2 comparison between [12C II] in black, [13C II] in red scaled-up using α, 13CO (1–0) in blueand C18O (1–0) in cyan. CO and its isotopologues has been scaled-up only to be compared with [13C II]. [13C II] has been smoothed for display purposes. |
![]() |
Fig. 16 M17 SW comparison between [12C II] in black, [13C II] in red scaled-up using α, 13CO (3–2) in blue, C18O (1–0) in cyan and C17O (1–0) in purple. CO and its isotopologues has been scaled-up only to be compared with [13C II]. |
M43, Mon R2, and M17 SW C18O 1–0 column density and equivalent visual extinction and the [12C II] equivalent visual extinction for comparison.
5.2.2 [N II] Results
We observedthe [N II] 205 μm line for the central positions of M43, the Horsehead PDR, and M17 SW. For M43, the [N II] emission is shifted to the blue side of the spectra with respect to the [12C II] peak and it has a Tpeak of ~ 0.5 K at 4 km s−1 (Fig. 17). For the Horsehead PDR, the [N II] emission is shifted to the red side of the spectra with respect to the [12C II] peak. At the M17 SW peak, the [N II] emission is shifted to the blue side of the spectra with respect to the [12C II] emission. The different velocity distribution is an indication that the [N II] emission originates in a separate component of the cloud, which is likely to be the H II region (Fig. 17).
Based on Langer et al. (2015), we can estimate the [N II] column density for the 3P1–3P0 transition at205 μm in the optically thin limit as:
(16)
with N(N+) the column density of ionized nitrogen in cm−2, I([N II]) the integrated intensity of [N II] in K km s−1 and f1 is the fractional population of N+ in the 3P1 state. The fractional population of the different states depends directly on the electron density of the gas as electrons are the main collisional partner of N+ due to its high ionization potential of 14.5 eV. For a kinetic temperature of 8000 K, f1 peaks at 0.40 with an electron density of 100 cm−3 (Goldsmith et al. 2015). We assume these values for the estimate of the column density as a lower limit. If we assume that all the nitrogen is ionized, we can estimate the ionized hydrogen column density and its equivalent visual extinction. Using a N/H abundance ratio of 5.1 × 10−5 (Jensen et al. 2007), we derive the values given in Table 8.
The [N II] emission for the three sources has a much lower column density and hence corresponds to an equivalently lower visual extinction, compared to [C II]. Thus, we see that the [N II] emission is consistent with its origin in the H II region. When the H II region is visible in the optical, it is located in front of the molecular emission and its emission is expected to be displaced to the blue side of the spectra; this is indeed what we find for M43 and M17 SW. The Horsehead PDR, in contrast, is visible as a dark cloud against the background H II region, which is located behind the molecular cloud; correspondingly, its [N II] emission is red-shifted with respect to [C II].
An interesting question is whether the ionized emission originates from inside the H II region, or whether it is part of an ionized photoevaporation flow. Such flows are made up of ionized material that comes from the molecular region and flow back into the ionized region as a result of the ionization front hitting the molecular region. As a result, one expects a shift in the velocity of its emission with respect to the molecular gas. Facchini et al. (2016) estimated a shift in velocity of 1 km s−1 for the case of a protoplanetary disk for the ionized emission when molecules are dissociated. Henney et al. (2005) estimated a shift of 10 km s−1 over large volumes of material, and even up to 17 km s−1 in dense and magnetized molecular globules (Henney et al. 2009).
We find that the [N II] emission is shifted 8 km s−1 for M43 and 15 km s−1 for M17 SW with respect to the molecular emission, within the range discussed above in Sect. 5.2.1. For the Horsehead PDR, the [N II] emission is shifted 5 km s−1 with respectto [C II]. The most probable scenario is an origin of the [N II] emission that is a combination of ionized gas from the H II region, and from a photoevaporation flow. For M17 SW in particular, it could be that the emission peaking at 0 km s−1 originates from the H II region, whereas the emission at 15 km s−1 where there is a secondary peak or even a plateau, originates from the photoevaporation flow. However, this is speculative and more evidence is required.
![]() |
Fig. 17 [C II] and [N II] emission for the central pixel for the 3 sources, M43, M17 SW and the Horsehead PDR. |
M43, the Horsehead PDR, and M17 SW [N II] column densities and equivalent extinction for the central pixel of the upGREAT array.
![]() |
Fig. 18 Top: M17 SW position 0 H I absorption spectra. Bottom: M17 SW position 6 [C II] spectra for the observed and calculated background emission respectively, [N II] and an inverted H I spectra for profile comparison. |
5.2.3 M17 SW H II comparison
In the case of M17 SW, we can extract an H I absorption spectrum from the H I/OH/Recombination line survey of the inner Milky Way (THOR, Beuther et al. 2016), and compare the velocity profile with its respective counterparts in [C II] and [N II]. The position corresponds to [C II] position 0 (Fig. 1d). We can see in Fig. 18 that the H I emission is much more extended in velocity, embracing both the [C II] and [N II] emission. The H I spectrum peaks at 20 km s−1, the same velocity as the [C II] peak emission, and it has an asymmetric profile with a long wing at lower velocities, matching at 0 km s−1 the low-intensity emission of the weak [N II].
5.3 Origin of the gas
The high column densities of the warm background layer in M43, Mon R2, and M17 SW are difficult to explain in the context of standard PDR-models and ISM phases. In this scenario, the C+ layer in a single PDR layer has typically an Av of a few (Hollenbach & Tielens 1997). The large values for the C+ column density derived here, with equivalent visual extinctions up to 41 mag, then requires tens of layers of C+ stacked on top of each other along the line of sight. This may be possible if the cloud material is very clumpy and fractal with a large fraction of the total cloud material being located in UV-affected clump surfaces. This scenario can be possible, in particular, for M17 SW with its edge-on geometry and known complex structure. Non-standard PDR scenarios might apply; for example, Pellegrini et al. (2007) proposed that in M17 SW, a high column density of the PDR layer can beobtained by including magnetic fields that would raise the pressure and density of the heated gas.
For the foreground material, the situation is much more puzzling: the explanation of the observed line profiles needs ionized gas with high column densities of C+ at a Tex much lower than possible in PDR scenarios. We can only speculate about its origin: a high X-ray or cosmic ray emission might keep a high fraction of ionized carbon in dense, cold clouds, as long as cooling is efficient to avoid heating through the ionization. For all three sources in which foreground [12C II] absorption is observed, namely the two presented in this paper–Mon R2 and M17 SW, and also NGC 20204 (Graf et al. 2012)– there is evidence for a high X-ray or CR flux: M17 SW shows strong emission of X-rays due to the large number of young stars (Broos et al. 2007), Mon R2, has an enhanced X-rays flux coming from T Tauri stars (Gregorio-Hetem et al. 1998; Nakajima et al. 2003), and NGC-2024 also exhibits strong X-ray activity (Skinner et al. 2003).
Even if the nature of the high column density foreground gas is unknown, we have evidence that it is not diffuse, and hence low Tex, ionized gas. We findstrong variations in both the line profiles and the absorption patterns between the different observed positions, separated by only 30′′. In Figs. 19 and 20, we show the foreground optical depth line profile derived from the multi-component fits for Mon R2 and M17 SW, respectively. Even if certain positions share similarities, there are variations in intensity and velocity between the different components. The separation between the positions corresponds to a distance of 0.27 pc for M17 SW and 0.12 pc for Mon R2. The spatial extent of the absorption feature thus has to be of this order. In combination with the values of the column density of ~ 7 × 1021 cm−2 for the foreground gas derived above in Sect. 4.3 (and being a lower limit), the absorbing layer has thus to have, as minimum, a density around 1.3 × 104 cm−3 for M17 SW and 2.9 × 104 cm−3 for Mon R2.
![]() |
Fig. 19 Mon R2 line profile for the optical depth for the foreground component derived from the multi-component double layer model in pink. The two positions are 20′′ (~ 0.1 pc) apart from each other. |
6 Summary
Our observations and analysis confirm the long-standing suspicion (Russell et al. 1980; Langer et al. 2016), already proven for the single case of Orion-B (Graf et al. 2012), that [12C II] emission is heavily affected by high optical depth or self-absorption effects. The observed [13C II] emission, if scaled-up by the abundance ratio of 12C/13C (α+) in all cases overshoots the observed [12C II] intensities, giving the first indication that the [12C II] emission hassignificant optical depth. A zeroth-order analysis, assuming a homogeneous single layer source, gives an optical depth of the [12C II] emission for the two sources M43 and the Horsehead PDR of about 2; for the other two sources, Mon R2 and M17 SW, the thus derived optical depths are much higher, around 5 to 7.
The integrated [13C II] intensities give a strict lower limit to the [13C II] upper state column density, valid if the line [13C II] line is assumed to be optically thin. In the limit of high excitation temperatures of the C+ fine structure levels, we can also derive the minimum [13C II] column density, and from this the [12C II] column density with the abundance ratio α+. Assuming a Tex well above 100 K, the thus derived value is a lower limit, rapidly increasing for lower temperatures. Now, ignoring our knowledge of the observed [13C II] emission and following the standard approach of assuming that the [12C II] emission is optically thin, the thus-derived minimum column density derived from the velocity integrated [12C II] line systematically underestimates the C+ column density derived fromthe observed [13C II] line, by a factor as high as 4 (however, the complex line profiles in the latter sources show a clear indication of self-absorption or an otherwise non-homogeneous source structure).
When fitting the [13C II] and [12C II] emission simultaneously in a multi-component source model, the emission of the first two sources, M43 and the Horsehead PDR, can be fitted by emission components only and these fits also allow for the fit of the excitation temperature as a free parameter. The resulting Tex is around 100 K, leading to a higher column density than the one derived from the [13C II] integrated intensity using the high Tex limit. For the other two sources, the complex line profiles with the apparent self-absorption notches visible in [12C II] require the inclusion of a low temperature-absorbing foreground layer. These double-layer, multi-component fits reproduce the combined [13C II] and [12C II] profiles. Due to the high number of free parameters, it is required that we assume a fixed value for Tex both for the background and the foreground layer. For the background components, we used values typical for the C+ layer in PDRs, from 150 to 250 K, as discussed above in Sect. 4.3; for the foreground, the brightness temperatures in the center of the absorption notches gives an upper limit to the Tex between 20 and 45 K. In these fits, the [12C II] optical depth of the individual components are much lower than the ones derived in the zeroth-order analysis, covering a range up to 2. This is plausible because the unjustified assumption of a constant, uniform Tex in the zeroth-order analysis, which is clearly not applicable with the complex line profiles, is then released.
The total C+ column densities derived for the sources that present absorption dips are slightly larger in the multi-component analysis compared to the ones derived from the [13C II] integrated intensity. The bulk of the column density is, of course, constrained by the [13C II] emission, but the multi-component source models now adds additional components, which are not visible in [13C II], as their opticaldepth or excitation temperature are too low for being visible above the noise level. This includes the additional emission components and the foreground absorption components. The latter typically contribute 10 to 50% of the total column density. We also took into account a second scenario for the source model, namely a single layer, pure emission, model. But we discard it asphysically implausible and also because the individual components traced in [C II] and CO isotopologues do not match.
The value of the isotopic abundance ratio α+, where we have used the literature values for the different sources, is an important parameter. A lower ratio would imply a lower [12C II]/[13C II] intensity ratio in the optically thin limit and correspondingly lower optical depths derived in the zeroth-order analysis and vice versa for a higher value. Although the S/N is not sufficient in the individual spectra of the present observations, we show that for the average spectrum of M17 SW, the S/N is high enough that we can, in fact, derive the value of the abundance ratio from the observed intensity ratio in the optically thin line wings; after applying a correction for the observational bias in the ratio of high and low S/N spectra bins, the line ratio derived for the M17SW average spectrum shows a value for α+ slightly higher than the 12C/13C ratio from the literature, which is derived from molecular isotopic species. This may indicate fractionation effects for the ionic and the molecular isotopic species. Higher signal-to-noise observations both for the ionic fine structure lines and the molecular lines may resolve this issue in the future.
The [12C II] and [13C II] study presented here shows that the origin of [C II] emission is somewhat more complex than simple model scenarios would suggest. The complex line profiles and high optical depth visible in particular in the bright sources of strong [C II] emission in the Milky Way reveal substantially higher column densities of [C II] than estimated in the optically thin approximation from integrated line profiles. The self-absorption implies significant column densities of C+ at low temperatures that are, at present, of unknown origin. Therefore, physical parameters derived assuming a standard PDR scenario and considering only line integrated intensities and ratios of velocity-unresolved spectra (which ignores these effects) must be regarded with caution. How empirical correlations between the [C II] integrated line intensity and bulk parameters like star formation rate can be explained on the background of this more complex origin of the [C II] emission will be an interesting issue to resolve, as well a basis for studying how the other cooling line, [O I], once it is observed at a high spectral resolution, is affected by self-absorption effects.
Acknowledgements
This work is based on observations made with the NASA/DLR Stratospheric Observatory for Infrared Astronomy (SOFIA). SOFIA is jointly operated by the Universities Space Research Association, Inc. (USRA), under NASA contract NAS2-97001, and the Deutsches SOFIA Institut (DSI) under DLR contract 50 OK 0901 to the University of Stuttgart. The work is carried out within the Collaborative Research Centre 956, sub-projects A4 and C1 (project ID 184018867), funded by the Deutsche Forschungsgemeinschaft (DFG). R.S. acknowledges support by the French ANR and the German DFG through the project “GENESIS” (ANR-16-CE92-0035-01/DFG1591/2-1). We thank Shuo Kong and the CARMA-NRO Orion team for sharing their CO data. We thank Sandra Treviño-Morales for sharing the Mon R2 CO data.
Appendix A Observational parameters
Here we give the observational parameters in detail for all sources and observed positions of all observed spectra for a detailed reference. The tables contain the absolute and relative coordinates (with respect to the source coordinate) for each observed position, plus the rms noise in K. The mosaics show the [C II] spectra observed for the four sources in Tmb. The black boxes represent the windows used for the baseline subtraction.
The weak, but extended, blue-shifted line wing observed in the Horsehead PDR, requires its subtraction from the spectra to derive a proper [13C II] F = 2 → 1 hyperfine satellite spectrum. In Fig. A.1, we show the polynomial fit applied to subtract the wing emission.
![]() |
Fig. A.1 Horsehead PDR [13C II] F = 2− 1 emission with the [12C II] wing subtracted in red with a baseline of order 3. The blue dashed line represents the zero intensity level. |
M43 positions.
Horsehead PDR.
Monoceros R2.
M17 SW.
Appendix B Off contamination corrections procedure
The ubiquitous presence of C+ in the ISM and the new conditions of observation established by the use of multi-pixels arrays, together with the large size of the observed sources, have brought the challenge of selecting good off-source (OFF) of blank sky (SKY) positions for the whole array. Using the observation of the OFF against a second far away OFF in some cases, or the SKY-HOT (S-H) spectra in others, we can detect even weak contamination in [C II], and correct the observed spectra by adding this emission into the ON-OFF spectra.
The direct addition of the identified OFF emission would add the relatively high noise of each spectral element into the corrected spectra. This can be avoided by modeling the line profile of the identified OFF-emission to correct the ON-OFF spectra. For this reason, we decided to fit a model composed of multiple Gaussians. In Figs. B.1–B.3, we show examples of the OFF spectra and their respective Gaussian multi-component models.
![]() |
Fig. B.1 M43 S-H observation of position 0. The green fit represents the multi-component Gaussian profile fitted to the OFF and added back into the ON-OFF spectra. |
![]() |
Fig. B.3 M17 SW OFF observation of position 6. As in Fig. B.1, the green line shows the OFF-correction model. |
We added the different OFF Gaussian profiles fitted for each pixel of the array to each contaminated spectrum channel by channel, correcting the contamination and recovering the lost emission.
Gaussian parameters for the OFF positions.
Appendix C Measuring the abundance ratio from optically thin line wings
As the optical depth approaches a value of zero in the line wings we can measure the underlying abundance ratio α+ from the ratio of the intensities Tmb,12/Tmb,13 in the line wings where τ12 ≪ 1 (see Eq. (6)). However, the intensity of the [13C II] line also becomes low there, so that it is difficult to accurately measure the value of the denominator.
Figure C.1 visualizes Eq. (6) for a Gaussian line with Δv = 12.5 km s−1, and assumed abundance ratio α+ = 67, and different line center optical depths of the [12C II] line. The upper graph shows the intensity of the [13C II] line for comparison. We see the prominent decrease in the line ratio Tmb,12/Tmb,13 in the line center for the optically thick lines dropping from α+ to values as low as 10 for a line-center optical depth of seven. From the graphs we can estimate in which part of the line wing we can reliably measure the underlying abundance ratio. Using a criterion of values above 65 we see that for τ12 = 1 the correct abundance ratio is only measured in the part of the wing that drops below 6% of the peak intensity. For τ12 = 3 one has to follow the wing to less than 3% of the peak intensity and for τ12 = 7 even down to 1% of thepeak. Using a weaker reliability criterion one can somewhat relax the intensity limits but this simple computation shows that the [13C II] sensitivity requirements are very tight to use the line wing channels for a reliable measurement of the elemental abundance ratio.
![]() |
Fig. C.1 Tmb,12/Tmb,13 ratio for different center optical depths assuming a Gaussian line profile. |
Any real measurement is affected by noise that adds an additional uncertainty to the measurement of the wing intensities. To minimize the noise impact, we only used channels with an intensity above 1.5 σ of the noise in the determination of the line ratio. However, this approach introduces a bias to the determination of the inherent isotopic ratio α+ as it tends to ignore low [13C II] intensities thereby producing too high α+ values from the remaining high [13C II] intensities.
To study this effect for the typical conditions of our observations, we simulated parameters similar to the Mon R2 data, excluding the narrow peak in the center, assuming a single layer with a Gaussian profile that covers the whole velocity range of emission, not one of the fitted individual emission components, corresponding to a total width of Δv = 12.5 km s−1. The peak optical depth in [C II] of that component is assumed to be 3.0 and we use an intrinsic abundance ratio α+ = 67. The velocity resolution is 0.3 km s−1 and similar to the observationsof Mon R2, noise with σ = 0.25 K was added, corresponding to a signal-to-noise ratio (S/N) of 7.2 for [13C II]. Figure C.2 shows the resulting line profiles equivalent to Figs. 3b–6b. The lower plot of the figure shows the line ratio measured only above 1.5σ = 0.37 K. We see the typical depression of the intensity ratio in the line center that is also clearly visible in Fig. 6b for M17 SW, but in the line wings there is only a single channel left that comes close to the underlying abundance ratio. All other channels underestimate the ratio and those channels that would overestimate the ratio are blanked by the noise cut-off limit. Eye fitting of the wing line ratio would result in estimates of α+ ≈ 40 instead of the underlying value of 67 used to compute the line profiles.
![]() |
Fig. C.2 Comparison of the simulated line profiles of [12C II] and [13C II] (top) and the line ratio (bottom) equivalent to the plots in Figs. 3b–6b. An intrinsic abundance ratio α+ = 67 is assumed. The underlying optical depth profile is Gaussian with a width Δv = 12.5 km s−1 and a peak value of τ12 = 3. Similar to the observations of Mon R2, noise with σ = 0.25 K was added and the line ratio is only measured above 1.5σ. |
There isno usable channel range where the optical depth is small enough to reflect the intrinsic abundance ratio but the signal is still above the noise limit. Numerical experiments with lower limits add some channels to the ratio plot that overshoot the intrinsic abundance ratio but also channels that undershoot. The ratio plot becomes much noisier and one does not really obtain a better estimate of the intrinsic α+.
A better estimate of the abundance ratio may, however, come from a systematic correction of the measured wing ratio. For this purpose, we ran a five-dimensional parameter study varying the characteristic quantities of the problem. These are the intrinsic abundance ratio α+, the line-center optical depth of the [12C II] line, the S/N of the accumulated [13C II] line, the velocity resolution of the observations relative to the line width, and the intensity limit used for the line ratio determination in units of the noise standard deviation. The only fixed assumption of the simulation is a Gaussian velocity distribution of the emitting material. In the resulting line ratio plot, we located the peak and measured the average ratio in the ten channels around the peak.
The results for some parameter combinations are shown in Figs. C.3–C.6. Figure C.3 shows the dependence on the measured wing intensity ratio from the [13C II] S/N and the [12C II] line center optical depth when using an intrinsic abundance ratio α+ = 67, a channel width of 0.024Δv, and an intensity limit of 1.5σ of the noise.In every part of the plot, we find a significant scatter of the measured wing intensity ratio with peak-to-peak deviations of 30–40% of the mean local value. That noisy structure results from the random noise added to the individual spectra. As the noise contribution in the observations is unknown we have to take this scatter as a fundamental uncertainty of the method even if all other parameters are accurately known. In terms of a 1σ uncertainty, this corresponds to about 5–7%.
![]() |
Fig. C.3 Measured wing intensity ratio as a function of the [12C II] line center optical depth and the S/N of the [13C II] line. Here, we assumed an abundance ratio α+ = 67, a channel width of 0.024Δv, and an intensity limit of 1.5σ of the noise.The noisy structure of the plot results from the random noise addition to the individual spectra. |
On top of the scatter we see the systematic underestimate of the intrinsic abundance ratio in the case of high optical depths and low S/Ns. At a S∕N = 5 even an optical depth around unity leads to an underestimate of α+ by about 10.At a S∕N = 20 the same underestimate is reached at an optical depth of 3.0. Knowing the two parameters, we can use a smooth representation of the plot to estimate the correction that needs to be applied to the measured wing intensity ratio to obtain the underlying abundance ratio.
In Fig. C.4 we show the same plot for an underlying abundance ratio of α+ = 50. For direct comparability, we have fixed the plotting range to values between 0 and 130 % of the used intrinsic abundance ratio α+. With this approach, both plots are almost indistinguishable. This indicates that the abundance underestimation in the line wing intensity ratio is a multiplicative effect. When knowing the optical depth and [13C II] signal-to-noise, we can use either Fig. C.3 or C.4 to read the ratio between the measured intensity ratio and the underlying abundance ratio to get the correction factor for any observation.
Figures C.5 and C.6 show the dependence on the other two parameters. In Fig. C.5 we have increased the significance threshold below which intensities are ignored in the ratio measurement to 2.0σ. As more noise is excluded in this way, the local scatter of the ratio drops to well below 30%. However, the bias towards lower ratios becomes stronger so that in particular for low optical depths the average abundance estimate gets lower, further deviating from the intrinsic ratio. At τ([12C II]) = 2 the systematic effect is about 10% exceeding the random scatter. Lowering the limit instead increased the scatter over most of the plot significantly so that we conclude that the limit of 1.5σ is a good compromise.
In Fig. C.6, we increased the velocity channel width relative to the line width by a factor of two compared to Fig. C.3. We find a small systematic worsening of the abundance ratio estimate because of the smaller number of channels in the line wings. However, in real observations, one can only adjust the velocity channel width of the observations simultaneously changing the S/N that one can obtain in the same observation time. It is therefore necessary to compare every point in Fig. C.6 with the corresponding point in Fig. C.3 that has the same optical depth, but a factor
lower [13C II] S/N. In this comparison, the abundance estimate with the narrower channel width but the high noise is closer to the intrinsic abundance ratio so that we discourage additional binning.
Altogether, the numerical experiment shows that even for sources with a moderate [12C II] optical depth around unity, the line wings do not allow to directly measure the underlying abundance ratio α+ but that a correction is needed. A direct use of the measured wing intensity ratio as an abundance ratio would need [13C II] S/N ratios above 100. The required correction can be read from the plotted parameter study because of the weak dependence on the line width and the linear dependence on the assumed abundance ratio. It depends on a good estimate of the central optical depth of the [12C II] line. We cannot directly use the optical depths measured in Sects. 4.2 and 4.3 because they characterize the narrowest component, rather than the broad component that dominates the wings. The relevant optical depth for the wing component should be somewhat lower.
One way to measure the relevant optical depth is the use of a variable S/N. In M17 SW, we measure for one individual [13C II] spectrum a S∕N ≈ 9 and an optical depth of 6. There the wing intensity ratio reaches values of only about 20. On the other hand, the averaged M17 SW spectrum, has a S∕N ≈ 18 and the wing intensity ratio grows to about 40. We can use Figs. C.3 or C.4 to check for which optical depth the change of the [13C II] S/N provides an increase in the wing intensity ratio by 20. Following a horizontal line in the parameter studies, a change by 20 when going from S∕N = 9 to S∕N = 18 occurs at τ([12C II]) ≈ 4 when assuming α+ = 67 and at τ([12C II]) ≈ 5 for α+ = 50. This is just somewhat lower than the estimated optical depth from Sect. 4.2.1. Looking up the difference between themeasured intensity ratio and the underlying abundance ratio at these optical depths shows that even for S∕N = 18, we underestimate the abundance ratio by 30%. This means that the intrinsic abundance ratio for M17 SW is, rather, 60, not 40.
Appendix D Alternative scenario: multi-component single layer model
In the multi-component dual-layer scenario from Sect. 4.3, the complex line profiles of Mon R2 and M17 SW have been interpreted as broad emission from the background and narrow absorption notches from cold foreground material. This is not the only possible way of fitting the profiles. An alternative scenario is explored here: a multi-component, but single emission layer model. In order to match the observed profiles, this scenario requires the observed [13C II] smooth profiles to be reflected by a similarly broad, but highly optically thick and therefore flat-topped [12C II] emission profiles. The corresponding gas has to be relatively cold to not overshoot the observed emission. The complex profile shape is then achieved by adding additional narrow line emission components. We explore this alternative scenario here and we show that it is perfectly feasible in terms of obtaining a reasonable fit solution. However, the follow-up analysis of the resulting column densities in comparison to other tracers, as well as the resulting physical scenario, make this solution physically unrealistic.
The resulting multi-component fit, assuming this single layer model, is shown in Fig. D.1 for Mon R2 and in Fig. D.2 for M17 SW. In Table D.1, we summarize the fitted parameters, with the number of components per position for each source, the χ2 of the fitting, the [C II] column density, the peak optical depth and the equivalent visual extinction. As indicated above, the components can be separated into two types. One is cold high density gas showing a flat-top [12C II] profile due to high optical depth that contributes to the [13C II] emission. The other is warmer, lower density gas with much narrower [12C II] profiles tracing the velocity peaks of the [12C II] emission and, due to their low column density, being negligible in [13C II].
![]() |
Fig. D.1 Same as Fig. 8, but for Mon R2 [12C II] spectra of position 2 with no foreground absorption. |
![]() |
Fig. D.2 Same as Fig. 8, but for M17 SW [12C II] spectra of position 6 with no foreground absorption. |
In this scenario, M17 SW contains two kinds of components. Cold components with Tex ~ 50 K at extremely high [C II] column density and a peak optical depth of 14. This emission is complemented by narrow components with Tex between 50 and 70 K and lower column density, on the order of 1017 cm−2 per individual component, fitting the [12C II] peaks. The composition is similar for Mon R2 (see Tables F.5 and F.6 for a description of each source).
We note that in this scenario the warm, narrow line components are only visible when they are located in front of the optically thick low-temperature central emission, as they would otherwise be absorbed away by the central component.
It is important to notice that for both sources with self-absorption effects, the optical depths derived using the multi-component double layer model for both layers, background, and foreground, have values lower than 2, closer to the ones expected by traditional models instead of the extremely large values of the single layer model.
Then we compare the multi-component single-layered model with the result from the double layered model from Sect. 4.3 and with the equivalent visual extinctions derived from C18O molecular emission from Sect. 5.2.1 for Mon R2 and M17 SW. In Fig. D.3, we can see the comparison between the profiles of the double and the single layer [12C II] models against the C18O 1–0 emission profiles (scaled-up to match the [C II] components) for M17 SW. We see in Fig. D.3a, that in the double layer model the brightest background emission component in [12C II] has a line profile that, though wider in velocity, share a similar line profile with the C18O emission profile at the central line velocities that correlate with the molecular emission, as was described above. The [12C II] absorption dips also show profiles that partially match the C18O emission. On the other hand, as we can see in Fig. D.3b, the single layer model needs cold and high density [C II] emission components without any correlation to the C18O emission profile. In particular, we would expect that the high density cold components (labeled “[C II] high d.” in Fig. D.3b) would correlate with the molecular gas, being closer in their physical conditions. Similarly, the bright, narrow, lower density and warmer emission ([C II] low d.) notches at various velocities do not correlate with the C18O emission. This comparison suggests that the single layer model, even if it formally provides a good fit, it is physically less plausible.
Mon R2 and M17 SW column density and equivalent extinction for the single layer model.
We can then compare the equivalent extinctions (or for that matter, the derived H2 column densities) derived from [C II] and from the CO isotopologues lines for both models, respectively.These are shown in Fig. D.4. For position 5 and 6, the [C II] equivalent AV is higher for both model scenarios than the oneestimated from C18O. This is no surprise because from velocity channel maps between the molecular and ionized line observations (Pérez-Beaupuits et al. 2015b), it is known that these positions are located off the main molecular ridge and, hence, are dominated by PDR material.
For the other positions, the equivalent AV of the [C II] layer estimated for the single layer model is similar or even higher than the one derived from the C18O emission in some positions, whereas the double-layer [C II] emission model gives a much lower equivalent [C II] column density, on average 25%of the molecular column density.
This comparison shows that the single layer model requires extremely high column densities for [C II] in comparison to CO. These are unlikely to be present in a dense, high extinction cloud core that is traced by C18O and C17O to have molecular column densities corresponding alone to visual extinctions of up to 100 AV. In addition, these high column densities of [C II] for the single layer model, are required to have, in the bulk of the emission, low excitation temperature of around 50 K (see above); there is no reasonable physical scenario that can explain these properties. In a PDR, it is expected that the largest amount of hydrogen is located in the molecular core in molecular form. The single layer scenario shows the opposite scenario, with large amounts of material in the form of CO-dark gas. But, we know that for M17 SW, even if it is affected by strong UV fields, the molecular gas is clumpy and the CO presents high column density and optically thick emission, proof enough that the molecular gas is shielded from the UV field. Hence, we rule out the single layer model for M17 SW.
![]() |
Fig. D.3 M17 SW mosaics of the seven positions observed by upGREAT. (a) Comparison between C18O J = 1–0 and the [12C II] Gaussian components from the double layer model. Scaled-up C18O observationsare in black, [12C II] background components are in blue and [12C II] foreground optical depth components are in pink. (b) Comparison between C18O J = 1–0 and the [12C II] Gaussian components from the single layer model. Scaled-up C18O observationsare in black, [12C II] high density low temperature components are in green ([C II] high d.) and [12C II] low density high temperature components are in red ([C II] low d.). |
For Mon R2, the situation is similar. The equivalent visual extinction of the molecular gas traced by C18O is 40.0 for position 1 and 44.5 mag for position 2, whereas the single layer scenario gives an equivalent AV of the [C II] emission of 31.7 and 75.8 mag, respectively. The double layer scenario has significantly lower, although still relatively high, equivalent visual extinctions: 21 mag for the warm background and 3 mag for the foreground [C II] emission. As in the case of M17 SW, the single layer scenarios would thus require to have a column of [C II] emission at relatively low Tex that is about equally large to that of the molecular gas.
![]() |
Fig. D.4 M17 SW Av comparison between the extinction of C18O, the [C II] from both the background and foreground layers of the double layer model and the [C II] from the single layer model. |
In summary, we can rule out the single layer model for several reasons. The physical conditions required to model the [12C II] line profile are extremely improbable, with low temperature and high column density [C II] components accompanied by warmer and narrow low density bright notches. This would require the presence of extended and cold high density ionized gas surrounded by small clumps of bright, low-density ionized material – a scenario that is physically very unlikely. Also, the molecular line emission profile traced in CO does not match the single layer model [C II] emission profile, the latter showing high column density velocity components that are not at all matched by the molecular emission. In contrast, the velocity components with the bulk of the column density, match much better between the molecular emission and the [C II] emission for the double layer scenario. Moreover, the equivalent visual extinction derived for the [C II] emission in the single layer model would be equal or even exceeding the one derived from molecular emission, with the implausible scenario of much more hydrogen in the form of CO-dark gas visible in CO. We therefore discard the single layer model, even though it provides a formally fitting scenario, as physically unlikely.
Appendix E Beam filling and absorption factor effects
In the following, we discuss how a beam filling factor of ηϕ that is smaller than unity changes the derived physical properties. With the multi-component source model we, in principle, have to consider individual beam filling factors for each component. However, this would result in too large a number of free parameters in the fitting. Hence, we restrict the discussion to using one single beam filling factor that is applied to all background emission components in common. For the background emission component, the main effect of a beam filling factor smaller than unity is to raise the source intrinsic brightness, thus requiring higher excitation temperatures or higher optical depth to reach the higher brightness. To the first order, both effects result in a larger column density of the emitting material, inversely rising proportional to the beam filling factor so that the beam averaged column density stays constant to the first order.
To quantify this, we perform, as a first step, a multi-component fit adding as an extra parameter a fixed value ηϕ for the background layer in emission, decreasing it step by step. We use position 6 of the Horsehead PDR for the beam filling factor analysis. As expected, we find that a decrease in ηϕ increases the excitation temperature, column density and optical depth of the background emission. For example, fixing ηϕ at 0.5 increases the Tex from the original fit (ηϕ = 1) between 15 and 20 K (from 43 to 60 to 65 K) and the total column density changes from 1.3 × 1018 to 1.4 × 1018 cm−2. An even lower value of ηϕ = 0.3, results in an increment for the Tex between 20 and 30 K and a [C II] column density of 1.7 × 1018 cm−2. A summary of the effect of changing ηϕ is given in Table E.1.
![]() |
Fig. E.1 Mon R2 [12C II] spectra at position 1 fitted with a beam filling factor of 0.5. The observed data is shown in red, the fitted model is in green, each individual fitted background component is in blue, all the background components together in cyan and the optical depth for each foreground component in pink. |
To consider the case that also foreground absorption is present, we use position 1 of Mon R2. The resulting fits are shown in Fig. E.1 and Table E.1. Fixing ηϕ to 0.5, we find for the background layer the same behavior as expected from the Horsehead PDR analysis, namely an increase of 50% for the excitation temperature, and 100% for the column density and the optical depth. Now, for the foreground layer, there is also an increase of the column density and optical depth similar to the ones of the background layer, of 50 and 100%, respectively. This is because the increase in the background requires a corresponding increase in the absorption of the foreground to obtain the same observed Tmb. Due to the higher brightness of the background, even a slightly increased excitation temperature of the foreground absorbing layer can be tolerated to give the same beam averaged brightness in the center of the absorption dip. Therefore, the introduction of a ηϕ allows us to increase the excitation temperature and in particular, the column density of the background layer, as well as both parameters for the foreground layer, without affecting the observed main beam temperature.
In the even more complex case that also the foreground absorption material only partially covers the background emission. We define an absorption factor ηaf. The absorption factor represents the fraction of the background emission layer covered and hence absorbed by the foreground layer. We select, similar to before, position 1 from Mon R2 as a source with self-absorption to study this effect.
We start with a value of ηaf of 0.9 for the 3 main background components. We find that, naturally, the background remains the same and the foreground column density and optical depth increase. The foreground Ni (12C II) increases from 8.3 × 1017 to 2.0 × 1018 cm−2 and the optical depth from 0.99 to 6.26. This is plausible as the smaller fraction of absorption now has to compensate for the fact that the bright background emission shines through, where the foreground does not absorb any. Next, we decrease ηaf further down to 0.75 (Fig. E.2). This is the lower limit as for a lower value than this one the 25% of the background shining through cannot be compensated even by complete absorption down to zero brightness in the absorbing part. In this limiting case, the foreground Ni (12C II) increases even more, to 2.9 × 1018 cm−2, and similar with the optical depth, which increases to 7.72. In summary, we find that the introduction of an absorption factor ηaf increases the column density and the optical depth of the foreground material, without affecting the excitation temperature to a substantial extent, becoming the foreground layer, which is much more massive and thick.
Derived fit parameters for the case of background and foreground filling factors as discussed in the text for position 6 in the Horsehead PDR and position 1 of MonR2.
![]() |
Fig. E.2 MonR2 [12C II] spectra at position 1, fitted with a foreground absorption factor of 0.75 for the 3 main background components. The observed data is shown in red, the fitted model is in green, each individual fitted background component is in blue, all the background components together in cyan and the optical depth for each foreground component in pink. |
In conclusion, the introduction of both a foreground and background filling factor less than unity leads to an increase in the excitation temperature of the background component and the column density for both layers, in particular, the foreground absorbing layer. With the current beam resolution, we cannot constrain the beam filling factor for the [C II] emission, nor do we have a way to constrain the absorption factor. The analysis above, however, shows that the excitation temperatures and column densities of the background layers are the lower limits and for the absorbing foreground, the excitation temperatures derived with a unity filling factor are the upper limits, while the absorbing foreground column densities are the lower limits.
Appendix F Parameters of the components
Here we list the multi-component analysis fit parameters for each position of the different sources. The tables contain the physical parameters of each Gaussian component for all the positions of the sources observed: the excitation temperature Tex, the [12C II] column density Ni (12C II), the central velocity of the component, and the velocity width of the line ΔV. Additionally, we list the optical depth of each component τ and its equivalent visual extinction AV.
Gaussian components parameters for M43.
Gaussian components parameters for Horsehead PDR.
Gaussian components parameters for Mon R2 for the double layer model.
Gaussian components parameters for M17 SW for the double layer model.
Gaussian components parameters for Mon R2 considering a single layer model.
Gaussian components parameters for M17 SW considering a single layer model.
Gaussian components parameters for M17 SW with an α+ = 60.
Gaussian components parameters for the Horsehead PDR for Position 6 considering a beam filling factor of 0.5.
Gaussian components parameters for the Horsehead PDR for Position 6 considering a beam filling factor of 0.3.
Gaussian components parameters for Mon R2 for Position 1 considering a beam filling factor of 0.5.
Gaussian components parameters for MonR2 for Position 1 considering an absorbing factor of 0.9.
Gaussian components parameters for Mon R2 for Position 1 considering an absorbing factor of 0.75.
References
- Abergel, A., Teyssier, D., Bernard, J. P., et al. 2003, A&A, 410, 577 [NASA ADS] [CrossRef] [EDP Sciences] [Google Scholar]
- André, P., Men’shchikov, A., Bontemps, S., et al. 2010, A&A, 518, L102 [NASA ADS] [CrossRef] [EDP Sciences] [Google Scholar]
- Beuther, H., Bihr, S., Rugel, M., et al. 2016, A&A, 595, A32 [NASA ADS] [CrossRef] [EDP Sciences] [Google Scholar]
- Bohlin, R. C., Savage, B. D., & Drake, J. F. 1978, ApJ, 224, 132 [NASA ADS] [CrossRef] [Google Scholar]
- Boreiko, R. T., Betz, A. L., & Zmuidzinas, J. 1988, ApJ, 325, L47 [NASA ADS] [CrossRef] [PubMed] [Google Scholar]
- Broos, P. S., Feigelson, E. D., Townsley, L. K., et al. 2007, ApJS, 169, 353 [NASA ADS] [CrossRef] [Google Scholar]
- Carter, M., Lazareff, B., Maier, D., et al. 2012, A&A, 538, A89 [NASA ADS] [CrossRef] [EDP Sciences] [Google Scholar]
- Cooksy, A. L., Blake, G. A., & Saykally, R. J. 1986, ApJ, 305, L89 [NASA ADS] [CrossRef] [Google Scholar]
- Crawford, M. K., Genzel, R., Townes, C. H., & Watson, D. M. 1985, ApJ, 291, 755 [NASA ADS] [CrossRef] [Google Scholar]
- Diplas, A., & Savage, B. D. 1994, ApJ, 427, 274 [NASA ADS] [CrossRef] [Google Scholar]
- Facchini, S., Clarke, C. J., & Bisbas, T. G. 2016, MNRAS, 457, 3593 [NASA ADS] [CrossRef] [Google Scholar]
- Gaia Collaboration (Brown, A. G. A., et al.) 2016, A&A, 595, A2 [NASA ADS] [CrossRef] [EDP Sciences] [Google Scholar]
- Genzel, R., Harris, A. I., Jaffe, D. T., & Stutzki, J. 1988, ApJ, 332, 1049 [NASA ADS] [CrossRef] [Google Scholar]
- Giannetti, A., Wyrowski, F., Brand, J., et al. 2014, A&A, 570, A65 [NASA ADS] [CrossRef] [EDP Sciences] [Google Scholar]
- Ginard, D., González-García, M., Fuente, A., et al. 2012, A&A, 543, A27 [NASA ADS] [CrossRef] [EDP Sciences] [Google Scholar]
- Goicoechea, J. R., Teyssier, D., Etxaluze, M., et al. 2015, ApJ, 812, 75 [NASA ADS] [CrossRef] [Google Scholar]
- Goldsmith, P. F., Langer, W. D., Pineda, J. L., & Velusamy, T. 2012, ApJS, 203, 13 [Google Scholar]
- Goldsmith, P. F., Yıldız, U. A., Langer, W. D., & Pineda, J. L. 2015, ApJ, 814, 133 [NASA ADS] [CrossRef] [Google Scholar]
- Goudis, C., ed. 1982, The Orion complex: A case study of interstellar matter, Astrophys. Space Sci. Lib. (Dordrecht: D. Reidel Publishing Company), 90 [CrossRef] [Google Scholar]
- Graf, U. U., Eckart, A., Genzel, R., et al. 1993, ApJ, 405, 249 [NASA ADS] [CrossRef] [Google Scholar]
- Graf, U. U., Simon, R., Stutzki, J., et al. 2012, A&A, 542, L16 [NASA ADS] [CrossRef] [EDP Sciences] [Google Scholar]
- Gregorio-Hetem, J., Montmerle, T., Casanova, S., & Feigelson, E. D. 1998, A&A, 331, 193 [NASA ADS] [Google Scholar]
- Guan, X., Stutzki, J., Graf, U. U., et al. 2012, A&A, 542, L4 [NASA ADS] [CrossRef] [EDP Sciences] [Google Scholar]
- Güsten, R., Henkel, C., & Batrla, W. 1985, A&A, 149, 195 [NASA ADS] [Google Scholar]
- Güsten, R., Nyman, L. Å., Schilke, P., et al. 2006, A&A, 454, L13 [NASA ADS] [CrossRef] [EDP Sciences] [Google Scholar]
- Henkel, C., Wilson, T. L., & Bieging, J. 1982, A&A, 109, 344 [NASA ADS] [Google Scholar]
- Henkel, C., Güsten, R., & Gardner, F. F. 1985, A&A, 143, 148 [NASA ADS] [Google Scholar]
- Henney, W. J., Arthur, S. J., & García-Díaz, M. T. 2005, ApJ, 627, 813 [NASA ADS] [CrossRef] [Google Scholar]
- Henney, W. J., Arthur, S. J., de Colle, F., & Mellema, G. 2009, MNRAS, 398, 157 [NASA ADS] [CrossRef] [Google Scholar]
- Herbst, W., & Racine, R. 1976, AJ, 81, 840 [NASA ADS] [CrossRef] [Google Scholar]
- Heyminck, S., Kasemann, C., Güsten, R., de Lange, G., & Graf, U. U. 2006, A&A, 454, L21 [NASA ADS] [CrossRef] [EDP Sciences] [Google Scholar]
- Heyminck, S., Graf, U. U., Güsten, R., et al. 2012, A&A, 542, L1 [NASA ADS] [CrossRef] [EDP Sciences] [Google Scholar]
- Hoffmeister, V. H., Chini, R., Scheyda, C. M., et al. 2008, ApJ, 686, 310 [NASA ADS] [CrossRef] [Google Scholar]
- Hollenbach, D. J., & Tielens, A. G. G. M. 1997, ARA&A, 35, 179 [NASA ADS] [CrossRef] [Google Scholar]
- Jensen, A. G., Rachford, B. L., & Snow, T. P. 2007, ApJ, 654, 955 [NASA ADS] [CrossRef] [Google Scholar]
- Kong, S., Arce, H. G., Feddersen, J. R., et al. 2018, ApJS, 236, 25 [NASA ADS] [CrossRef] [Google Scholar]
- Koumpia, E., Harvey, P. M., Ossenkopf, V., et al. 2015, A&A, 580, A68 [NASA ADS] [CrossRef] [EDP Sciences] [Google Scholar]
- Kounkel, M., Covey, K., Suárez, G., et al. 2018, AJ, 156, 84 [NASA ADS] [CrossRef] [Google Scholar]
- Langer, W. D., & Penzias, A. A. 1990, ApJ, 357, 477 [NASA ADS] [CrossRef] [Google Scholar]
- Langer, W. D., & Penzias, A. A. 1993, ApJ, 408, 539 [NASA ADS] [CrossRef] [Google Scholar]
- Langer, W. D., Goldsmith, P. F., Pineda, J. L., et al. 2015, A&A, 576, A1 [NASA ADS] [CrossRef] [EDP Sciences] [Google Scholar]
- Langer, W. D., Goldsmith, P. F., & Pineda, J. L. 2016, A&A, 590, A43 [NASA ADS] [CrossRef] [EDP Sciences] [Google Scholar]
- Mangum, J. G., & Shirley, Y. L. 2015, PASP, 127, 266 [NASA ADS] [CrossRef] [Google Scholar]
- Matsakis, D. N., Chui, M. F., Goldsmith, P. F., & Townes, C. H. 1976, ApJ, 206, L63 [NASA ADS] [CrossRef] [Google Scholar]
- Matsakis, D. N., Brandshaft, D., Chui, M. F., et al. 1977, ApJ, 214, L67 [NASA ADS] [CrossRef] [Google Scholar]
- Meixner, M., Haas, M. R., Tielens, A. G. G. M., Erickson, E. F., & Werner, M. 1992, ApJ, 390, 499 [NASA ADS] [CrossRef] [Google Scholar]
- Milam, S. N., Savage, C., Brewster, M. A., Ziurys, L. M., & Wyckoff, S. 2005, ApJ, 634, 1126 [NASA ADS] [CrossRef] [Google Scholar]
- Motte, F., Zavagno, A., Bontemps, S., et al. 2010, A&A, 518, L77 [NASA ADS] [CrossRef] [EDP Sciences] [Google Scholar]
- Nakajima, H., Imanishi, K., Takagi, S.-I., Koyama, K., & Tsujimoto, M. 2003, PASJ, 55, 635 [NASA ADS] [CrossRef] [Google Scholar]
- Ossenkopf, V., Röllig, M., Neufeld, D. A., et al. 2013, A&A, 550, A57 [NASA ADS] [CrossRef] [EDP Sciences] [Google Scholar]
- Pellegrini, E. W., Baldwin, J. A., Brogan, C. L., et al. 2007, ApJ, 658, 1119 [NASA ADS] [CrossRef] [Google Scholar]
- Pérez-Beaupuits, J. P., Wiesemeyer, H., Ossenkopf, V., et al. 2012, A&A, 542, L13 [NASA ADS] [CrossRef] [EDP Sciences] [Google Scholar]
- Pérez-Beaupuits, J. P., Güsten, R., Spaans, M., et al. 2015a, A&A, 583, A107 [NASA ADS] [CrossRef] [EDP Sciences] [Google Scholar]
- Pérez-Beaupuits, J. P., Stutzki, J., Ossenkopf, V., et al. 2015b, A&A, 575, A9 [NASA ADS] [CrossRef] [EDP Sciences] [Google Scholar]
- Pilleri, P., Fuente, A., Gerin, M., et al. 2014, A&A, 561, A69 [NASA ADS] [CrossRef] [EDP Sciences] [Google Scholar]
- Predehl, P., & Schmitt, J. H. M. M. 1995, A&A, 293, 889 [NASA ADS] [Google Scholar]
- Rayner, T. S. M., Griffin, M. J., Schneider, N., et al. 2017, A&A, 607, A22 [NASA ADS] [CrossRef] [EDP Sciences] [Google Scholar]
- Reina, C., & Tarenghi, M. 1973, A&A, 26, 257 [NASA ADS] [Google Scholar]
- Risacher, C., Güsten, R., Stutzki, J., et al. 2016, A&A, 595, A34 [NASA ADS] [CrossRef] [EDP Sciences] [Google Scholar]
- Röllig, M., & Ossenkopf, V. 2013, A&A, 550, A56 [NASA ADS] [CrossRef] [EDP Sciences] [Google Scholar]
- Röllig, M., Szczerba, R., Ossenkopf, V., & Glück, C. 2013, A&A, 549, A85 [NASA ADS] [CrossRef] [EDP Sciences] [Google Scholar]
- Russell, R. W., Melnick, G., Gull, G. E., & Harwit, M. 1980, ApJ, 240, L99 [NASA ADS] [CrossRef] [Google Scholar]
- Savage, C., Apponi, A. J., Ziurys, L. M., & Wyckoff, S. 2002, ApJ, 578, 211 [NASA ADS] [CrossRef] [Google Scholar]
- Schneider, N., Bontemps, S., Motte, F., et al. 2016, A&A, 587, A74 [NASA ADS] [CrossRef] [EDP Sciences] [Google Scholar]
- Simón-Díaz, S., García-Rojas, J., Esteban, C., et al. 2011, A&A, 530, A57 [NASA ADS] [CrossRef] [EDP Sciences] [Google Scholar]
- Skinner, S., Gagné, M., & Belzer, E. 2003, ApJ, 598, 375 [NASA ADS] [CrossRef] [Google Scholar]
- Stacey, G. J. 1985, PhD thesis, Cornell University, Ithaca, NY. [Google Scholar]
- Stacey, G. J., Townes, C. H., Geis, N., et al. 1991, ApJ, 382, L37 [NASA ADS] [CrossRef] [Google Scholar]
- Stutz, A. M., & Kainulainen, J. 2015, A&A, 577, L6 [NASA ADS] [CrossRef] [EDP Sciences] [Google Scholar]
- Stutzki, J., & Winnewisser, G. 1985, A&A, 144, 13 [NASA ADS] [Google Scholar]
- Suri, S., Sánchez-Monge, Á., Schilke, P., et al. 2019, A&A, 623, A142 [NASA ADS] [CrossRef] [EDP Sciences] [Google Scholar]
- Tielens, A. G. G. M., & Hollenbach, D. 1985, ApJ, 291, 722 [NASA ADS] [CrossRef] [Google Scholar]
- Treviño-Morales, S. P., Pilleri, P., Fuente, A., et al. 2014, A&A, 569, A19 [NASA ADS] [CrossRef] [EDP Sciences] [Google Scholar]
- Wakelam, V., & Herbst, E. 2008, ApJ, 680, 371 [NASA ADS] [CrossRef] [Google Scholar]
- Wiese, W. L., & Fuhr, J. R. 2007, J. Phys. Chem. Ref. Data, 36, 1287 [CrossRef] [Google Scholar]
- Wilson, T. L.,& Rood, R. 1994, ARA&A, 32, 191 [NASA ADS] [CrossRef] [Google Scholar]
- Wouterloot, J. G. A., & Brand, J. 1996, A&AS, 119, 439 [NASA ADS] [CrossRef] [EDP Sciences] [Google Scholar]
- Xu, Y., Moscadelli, L., Reid, M. J., et al. 2011, ApJ, 733, 25 [NASA ADS] [CrossRef] [Google Scholar]
- Young, E. T., Becklin, E. E., Marcum, P. M., et al. 2012, ApJ, 749, L17 [NASA ADS] [CrossRef] [Google Scholar]
We note that hyperfine selective trapping in the rotational FIR transitions of ammonia, NH3, cause anomalous intensity ratios of the hyperfine satellites of the cm-wave inversion transitions (Matsakis et al. 1977; Stutzki & Winnewisser 1985).
All Tables
[13C II] integrated intensity and minimum column density, [12C II] minimum column density scaled-up using α and equivalent extinction. [12C II] integrated intensity, minimum column density assuming optically thin emission and equivalent visual extinction.
MonR2 and M17 SW column density for the background and foreground components for the double layer model.
M43, Mon R2, and M17 SW C18O 1–0 column density and equivalent visual extinction and the [12C II] equivalent visual extinction for comparison.
M43, the Horsehead PDR, and M17 SW [N II] column densities and equivalent extinction for the central pixel of the upGREAT array.
Mon R2 and M17 SW column density and equivalent extinction for the single layer model.
Derived fit parameters for the case of background and foreground filling factors as discussed in the text for position 6 in the Horsehead PDR and position 1 of MonR2.
Gaussian components parameters for the Horsehead PDR for Position 6 considering a beam filling factor of 0.5.
Gaussian components parameters for the Horsehead PDR for Position 6 considering a beam filling factor of 0.3.
Gaussian components parameters for Mon R2 for Position 1 considering a beam filling factor of 0.5.
Gaussian components parameters for MonR2 for Position 1 considering an absorbing factor of 0.9.
Gaussian components parameters for Mon R2 for Position 1 considering an absorbing factor of 0.75.
All Figures
![]() |
Fig. 1 (a) M43 [C II] integrated intensity map between 5 and 15 km s−1 with theposition of the upGREAT array for the deep integration marked as black hexagons. (b) The Horsehead PDR [C II] integrated intensity map between 9 and 13 km s−1 with the position of the upGREAT array rotated at 30°. (c) Mon R2 [C II] integrated map intensity in black contours in overlay with other species, see Pilleri et al. (2014). We pointed the single L2 pixel of GREAT at the two positions marked by purple circles (the squares represent OH+ positions). (d) M17 SW [C II] integrated intensity map (Pérez-Beaupuits et al. 2012) between 15 and 25 km s−1 with the position of the upGREAT array at 0°. |
| In the text | |
![]() |
Fig. 2 Horsehead [12C II] and [13C II] F = 2–1 emission at 22 km s−1 (source vLSR plus hyperfine velocity offset Δv1−1) for position 0. The line profile shows a broad wing extending from 16 to 30 km s−1. |
| In the text | |
![]() |
Fig. 3 (a) Mosaic observed in M43. For each position, the [12C II] line profileis shown in the top box. Below the spectra, we show the windows for the base line subtraction (−65,−45) (−10,30) (60,80) km s−1. The bottom box shows a zoom to the [13C II] satellites. (b) M43 mosaicof the seven positions observed by upGREAT. For each position, we show in the top panel a comparison between [12C II] (in black) and [13C II] (in red), the latter averaged over the hyperfine satellites and scaled-up by the assumed value of α+ = 67. The red line corresponds to 1.5 σ scaled-up by α+. Bottom panels: for all observation above 1.5 σ, the [12C II]/[13C II] intensity ratio per velocity bin (in gray) and the optical depth from the zeroth-order analysis (blue). |
| In the text | |
![]() |
Fig. 4 (a) Same as Fig. 4a, but for the Horsehead PDR observations, with the windows for the base line subtraction at (−65,−45) (0,30) (60,80) km s−1. (b) Same as Fig. 4b, but for the Horsehead PDR observations and an assumed α+ = 67. |
| In the text | |
![]() |
Fig. 5 (a) Same as Fig. 3a, but for the Mon R2 observations, with the windows for the base line subtraction at (−65,−45) (0,30) (60,80) km s−1. (b) Same as Fig. 3b, but for the 2 positions in Mon R2 observed with GREAT L2 and an assumed α+ = 67. |
| In the text | |
![]() |
Fig. 6 (a) Same as Fig. 3a, but for the M17 SW observations, with the windows for the base line subtraction at (−60, −30) (−15,50) (75,95) km s−1. (b) Same as Fig. 3b, but for the M17 SW observations and an assumed α+ = 40. |
| In the text | |
![]() |
Fig. 7 Ratio between N(CII) and Nmin(CII) assuming a beam filling factor of 1 as a function of Tex. Above Tex = T0 = 91.2 K, the increase relative to the minimum value, is well below a factor of 2. |
| In the text | |
![]() |
Fig. 8 Demonstration of the multi-component fitting procedure, taking the Mon R2 Pos 1 spectrum as an example. Each plot (a–c) is structured in the same way. Left top: fitted model in green and the observed spectrum in red. Middle left: zoom-in vertically of the fitted model and the observed spectra to better show the [13C II] satellites. Left bottom: residual between the observed spectra and the model. Right top: fitted background emission component in blue, the resulting background emission model from the addition of all the components in cyan and the observed spectrum in red. Right bottom: optical depth of each absorbing foreground component (inverted scale) in pink. a: fitting of the [13C II] emission, masking the velocity range of the [12C II] emission. b: fitting of the remaining [12C II] background emission. c: fitting of the foreground absorbing components. |
| In the text | |
![]() |
Fig. 9 Same as Fig. 8, but for M43 [12C II] spectra of position 0 with no foreground absorption. |
| In the text | |
![]() |
Fig. 10 Same as Fig. 8, but for the Horsehead [12C II] spectra of position 6 with no foreground absorption. |
| In the text | |
![]() |
Fig. 11 Same as Fig. 8, but for M17 SW [12C II] spectra of position 6. |
| In the text | |
![]() |
Fig. 12 Same as Fig. 3b, but for the M17 SW average spectra of six positions observed by upGREAT. |
| In the text | |
![]() |
Fig. 13 M43 line profile comparison between [12C II] (in black), [13C II] (in red), scaled-up by α+, CO (1–0) (ingreen), 13CO (1–0) (in blue), and C18O (1–0) (in cyan). CO and its isotopologues has been scaled-up by the factors indicated only to be compared with [13C II]. |
| In the text | |
![]() |
Fig. 14 Top: M43 [C II] integrated intensity map between 2 and 6 km s−1. Bottom: same as before but between 6 and 20 km s−1. |
| In the text | |
![]() |
Fig. 15 Mon R2 comparison between [12C II] in black, [13C II] in red scaled-up using α, 13CO (1–0) in blueand C18O (1–0) in cyan. CO and its isotopologues has been scaled-up only to be compared with [13C II]. [13C II] has been smoothed for display purposes. |
| In the text | |
![]() |
Fig. 16 M17 SW comparison between [12C II] in black, [13C II] in red scaled-up using α, 13CO (3–2) in blue, C18O (1–0) in cyan and C17O (1–0) in purple. CO and its isotopologues has been scaled-up only to be compared with [13C II]. |
| In the text | |
![]() |
Fig. 17 [C II] and [N II] emission for the central pixel for the 3 sources, M43, M17 SW and the Horsehead PDR. |
| In the text | |
![]() |
Fig. 18 Top: M17 SW position 0 H I absorption spectra. Bottom: M17 SW position 6 [C II] spectra for the observed and calculated background emission respectively, [N II] and an inverted H I spectra for profile comparison. |
| In the text | |
![]() |
Fig. 19 Mon R2 line profile for the optical depth for the foreground component derived from the multi-component double layer model in pink. The two positions are 20′′ (~ 0.1 pc) apart from each other. |
| In the text | |
![]() |
Fig. 20 Same as Fig. 19 but for M17 SW. The positions are 30′′ (~ 0.3 pc) apart from each other. |
| In the text | |
![]() |
Fig. A.1 Horsehead PDR [13C II] F = 2− 1 emission with the [12C II] wing subtracted in red with a baseline of order 3. The blue dashed line represents the zero intensity level. |
| In the text | |
![]() |
Fig. B.1 M43 S-H observation of position 0. The green fit represents the multi-component Gaussian profile fitted to the OFF and added back into the ON-OFF spectra. |
| In the text | |
![]() |
Fig. B.2 Mon R2 S-H observation. As in Fig. B.1, the green line shows the OFF-correction model. |
| In the text | |
![]() |
Fig. B.3 M17 SW OFF observation of position 6. As in Fig. B.1, the green line shows the OFF-correction model. |
| In the text | |
![]() |
Fig. C.1 Tmb,12/Tmb,13 ratio for different center optical depths assuming a Gaussian line profile. |
| In the text | |
![]() |
Fig. C.2 Comparison of the simulated line profiles of [12C II] and [13C II] (top) and the line ratio (bottom) equivalent to the plots in Figs. 3b–6b. An intrinsic abundance ratio α+ = 67 is assumed. The underlying optical depth profile is Gaussian with a width Δv = 12.5 km s−1 and a peak value of τ12 = 3. Similar to the observations of Mon R2, noise with σ = 0.25 K was added and the line ratio is only measured above 1.5σ. |
| In the text | |
![]() |
Fig. C.3 Measured wing intensity ratio as a function of the [12C II] line center optical depth and the S/N of the [13C II] line. Here, we assumed an abundance ratio α+ = 67, a channel width of 0.024Δv, and an intensity limit of 1.5σ of the noise.The noisy structure of the plot results from the random noise addition to the individual spectra. |
| In the text | |
![]() |
Fig. C.4 Like Fig. C.3 but for an abundance ratio α+ = 50. |
| In the text | |
![]() |
Fig. C.5 Like Fig. C.3 but for an intensity limit of 2.0σ of the noise. |
| In the text | |
![]() |
Fig. C.6 Like Fig. C.3 but for a channel width of 0.048Δv. |
| In the text | |
![]() |
Fig. D.1 Same as Fig. 8, but for Mon R2 [12C II] spectra of position 2 with no foreground absorption. |
| In the text | |
![]() |
Fig. D.2 Same as Fig. 8, but for M17 SW [12C II] spectra of position 6 with no foreground absorption. |
| In the text | |
![]() |
Fig. D.3 M17 SW mosaics of the seven positions observed by upGREAT. (a) Comparison between C18O J = 1–0 and the [12C II] Gaussian components from the double layer model. Scaled-up C18O observationsare in black, [12C II] background components are in blue and [12C II] foreground optical depth components are in pink. (b) Comparison between C18O J = 1–0 and the [12C II] Gaussian components from the single layer model. Scaled-up C18O observationsare in black, [12C II] high density low temperature components are in green ([C II] high d.) and [12C II] low density high temperature components are in red ([C II] low d.). |
| In the text | |
![]() |
Fig. D.4 M17 SW Av comparison between the extinction of C18O, the [C II] from both the background and foreground layers of the double layer model and the [C II] from the single layer model. |
| In the text | |
![]() |
Fig. E.1 Mon R2 [12C II] spectra at position 1 fitted with a beam filling factor of 0.5. The observed data is shown in red, the fitted model is in green, each individual fitted background component is in blue, all the background components together in cyan and the optical depth for each foreground component in pink. |
| In the text | |
![]() |
Fig. E.2 MonR2 [12C II] spectra at position 1, fitted with a foreground absorption factor of 0.75 for the 3 main background components. The observed data is shown in red, the fitted model is in green, each individual fitted background component is in blue, all the background components together in cyan and the optical depth for each foreground component in pink. |
| In the text | |
Current usage metrics show cumulative count of Article Views (full-text article views including HTML views, PDF and ePub downloads, according to the available data) and Abstracts Views on Vision4Press platform.
Data correspond to usage on the plateform after 2015. The current usage metrics is available 48-96 hours after online publication and is updated daily on week days.
Initial download of the metrics may take a while.



































