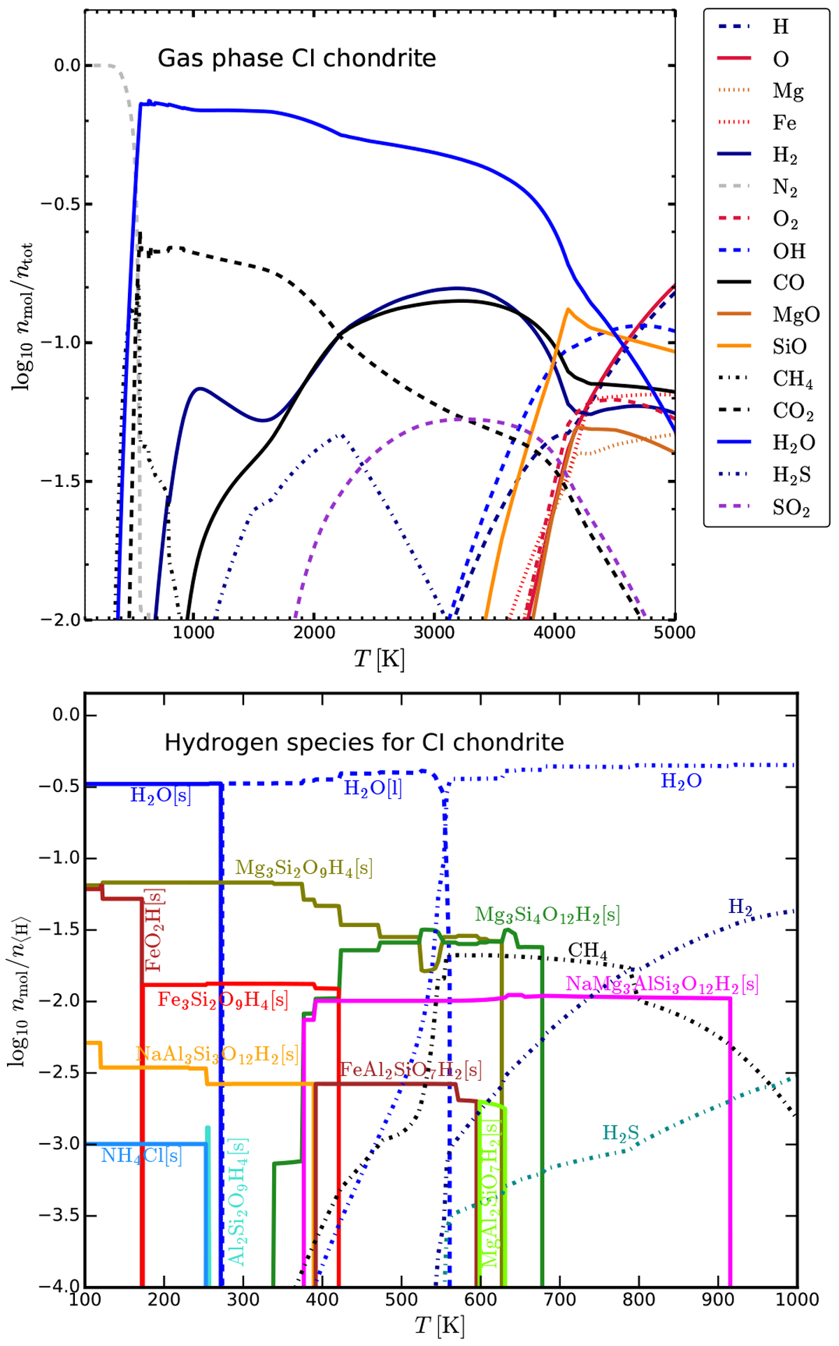
Fig. 7

Results for carbonaceous chondrite (CI) total element abundances at constant pressure p = 100 bar. Phyllosilicates are included in the model. Top panel: gas phase concentrations (nmol ∕ntot) between 100 and 5000 K. All species with maximum log concentration >−1.4 are shown. Bottom panel: gaseous and condensed species that contain hydrogen per H-nucleus (n∕n⟨H ⟩) between 100 and 1000 K, we note the different scaling. The linestyles correspond to the different categories of condensates: silicates (solid), liquids (dotted), phyllosilicates (short dashed), other H-bearing species (long dashed), and other condensates (dash dotted).
Current usage metrics show cumulative count of Article Views (full-text article views including HTML views, PDF and ePub downloads, according to the available data) and Abstracts Views on Vision4Press platform.
Data correspond to usage on the plateform after 2015. The current usage metrics is available 48-96 hours after online publication and is updated daily on week days.
Initial download of the metrics may take a while.