| Issue |
A&A
Volume 636, April 2020
|
|
|---|---|---|
| Article Number | A71 | |
| Number of page(s) | 18 | |
| Section | Planets and planetary systems | |
| DOI | https://doi.org/10.1051/0004-6361/201936614 | |
| Published online | 20 April 2020 | |
The atmospheres of rocky exoplanets
I. Outgassing of common rock and the stability of liquid water
1
Centre for Exoplanet Science, University of St Andrews,
North Haugh,
St Andrews,
KY169SS, UK
e-mail: oh35@st-andrews.ac.uk
2
SUPA, School of Physics & Astronomy, University of St Andrews,
North Haugh,
St Andrews,
KY169SS,
UK
3
School of Earth & Environmental Studies, University of St Andrews,
Irvine Building,
St Andrews,
KY16 9AL, UK
4
SRON Netherlands Institute for Space Research,
Sorbonnelaan 2,
3584 CA
Utrecht,
The Netherlands
Received:
2
September
2019
Accepted:
2
March
2020
Context. Little is known about the interaction between atmospheres and crusts of exoplanets so far, but future space missions and ground-based instruments are expected to detect molecular features in the spectra of hot rocky exoplanets.
Aims. We aim to understand the composition of the gas in an exoplanet atmosphere which is in equilibrium with a planetary crust.
Methods. The molecular composition of the gas above a surface made of a mixture of solid and liquid materials was determined by assuming phase equilibrium for given pressure, temperature, and element abundances. We study total element abundances that represent different parts of the Earth’s crust (continental crust, bulk silicate Earth, mid oceanic ridge basalt), CI chondrites and abundances measured in polluted white dwarfs.
Results. For temperatures between ~600 and ~3500 K, the near-crust atmospheres of all considered total element abundances are mainly composed of H2O, CO2, and SO2 and in some cases of O2 and H2. For temperatures ≲500 K, only N2-rich or CH4-rich atmospheres remain. For ≳3500 K, the atmospheric gas is mainly composed of atoms (O, Na, Mg, and Fe), metal oxides (SiO, NaO, MgO, CaO, AlO, and FeO), and some metal hydroxides (KOH and NaOH). The inclusion of phyllosilicates as potential condensed species is crucial for lower temperatures, as they can remove water from the gas phase below about 700 K and inhibit the presence of liquid water.
Conclusions. Measurements of the atmospheric composition could, in principle, characterise the rock composition of exoplanet crusts. H2O, O2 and CH4 are natural products from the outgassing of different kinds of rocks that had time to equilibrate. These are discussed as biomarkers, but they do emerge naturally as a result of the thermodynamic interaction between the crust and atmosphere. Only the simultaneous detection of all three molecules might be a sufficient biosignature, as it is inconsistent with chemical equilibrium.
Key words: planets and satellites: terrestrial planets / planets and satellites: composition / planets and satellites: atmospheres / planets and satellites: surfaces / astrochemistry
© ESO 2020
1 Introduction
After the first detections of exoplanets around the pulsar PSR B1257+12 by Wolszczan & Frail (1992), and the main sequence star 51Peg by Mayor & Queloz (1995), more than 4000 exoplanet detections have been confirmed to date1. Until recently, the overwhelming majority of the exoplanets found were gaseous giant planets in close orbits to their host stars.
In the last years, it became possible to detect exoplanets of a rocky composition in the habitable zones of their host star, mostly M dwarfs. Notable detections are the planets around our closest star Proxima Centauri (Anglada-Escudé et al. 2016), Barnard’s star (Ribas et al. 2018), and the seven planet system around Trappist 1 (Gillon et al. 2017). Even though these planets are in close orbits to their host stars, their equilibrium temperatures are lower than 500 K due to the low effective temperature of their host star. Turbet et al. (2016) showed for Proxima Centauri b that liquid water can be present and might be detectable in the future. On the other hand, rocky exoplanets with short orbital periods around solar-type stars such as 55 Cnc e (McArthur et al. 2004) or CoRoT-7b (Léger et al. 2009) have temperatures on the day side of Teq ~ 2400 K (Léger et al. 2011; Demory et al. 2016). This temperature is high enough to melt the surface of the planet on the dayside, while the nightside remains solid (magma pond Kite et al. 2016). During the formation of terrestrial planets, the surface can melt and cause a global magma ocean with a mass dependent depth (Elkins-Tanton 2012). For short orbital periods and host stars with extensive magnetic fields, this magma ocean can prevail due to inductive heating (Kislyakova et al. 2017).
To date, it is impossible to determine whether the surface material has been processed by plate tectonics or by radiation and stellar winds on an exposed surface only. For planets with enough heat from stellar irradiation, inductive heating, or tidal forces, for example, an active mantle can prevail that causes active surface processing, such as volcanism or plate tectonics. Planetary structure modelling suggests that hot super-Earths, such as 55 Cnc e, have high atmospheric abundances of refractory elements, such as Ca and Al (Dorn et al. 2019). These atmospheres are shown to allow the formation of mineral clouds (Mahapatra et al. 2017).
The number of rocky exoplanets whose atmosphere has already been spectroscopically analysed is very small. However, in the near future, the number of exoplanet atmospheres in reach for detailed analysis will increase because of spectrographs with high spectral resolution in the near infrared (e.g. CARMENES, Quirrenbach et al. 2012; CRIRES+, Follert et al. 2014), the 30 m telescopes, and space missions, such as TESS, JWST, and PLATO. These instruments will allow for the analysis of the atmospheric composition of nearest rocky exoplanets with unprecedented precision.
Current studies have revealed a large diversity in the composition of rocky exoplanets2 and Fig. 1 in Kaltenegger (2017). It seems reasonable to expect a comparably large diversity with respect to their atmospheres (Leconte et al. 2015). The study of exoplanet atmospheres has so far been focused on gas giants (Désert et al. 2008; Snellen et al. 2010; Nikolov et al. 2018; Arcangeli et al. 2018; Salz et al. 2018) due to observational limitations. Kreidberg et al. (2014) observed the super-Earth GJ 1214 b and showed that the analysis of the atmosphere’s chemical composition is frustrated by clouds. Atmospheres of exoplanets have been observed to be generally affected by cloud formation (for a recent review see Helling 2019).
In what follows, we investigate the atmospheric gas that forms above a surface (‘near-crust atmosphere’) made of a mixture of solid and liquid materials under certain thermodynamic conditions and for different sets of element abundances.We assume thermo-chemical equilibrium for the molecules in the gas phase and phase equilibrium for the condensates in contact with that gas. Our approach is to study the atmospheric gas in contact with rocky planet’s crust and derive the gas composition immediately above the crust. Schaefer et al. (2012) have presented a similar approach, and Miguel (2019) used the thermo-chemical equilibrium code TEA (Blecic et al. 2016) to discuss the atmospheric gas composition of the potential magma-ocean dayside of 55 Cnc e. All studies assume that the near-crust atmospheric gas had enough time to reach local thermodynamic equilibrium (LTE) with the planetary crust.
We apply the equilibrium code ggchem (Woitke et al. 2018) which enables us to calculate the thermo-chemical equilibrium chemistry for gases and condensates in phase equilibrium to temperatures as low as 100 K. ggchem has been benchmarked against TEA by Woitke et al. (2018). ggchem also allows us to investigate the stability of liquid and solid water at low temperatures. Woitke et al. (2018) have shown that phyllosilicates become stable below about 500 to 700 K in a solar composition gas in phase equilibrium at p = 1 bar, which then in fact interferes with the stability of liquid water. Such clay materials can form on the timescales of days on Earth (e.g. Velde 1995, and references therein). We note that such phyllosilicate materials form already in planet-forming discs (Thi et al. 2020) and may contribute substantially to the water delivery to Earth.
We benchmark our code against earlier work by Sharp & Huebner (1990) and compare our results with Schaefer et al. (2012). Different planets in different stellar environments and in different evolutionary states also differ in their elemental composition which is crucial for the composition of the atmosphere. We study the effect of different sets of total element abundances.
We utilise total element abundances informed by geological studies on Earth, continental crust (CC), bulk silicate Earth (BSE), and mid oceanic ridge basalt (MORB), and those informed by astronomical studies, solar abundances, CI chondrites, and abundances deduced from polluted white dwarf (PWD) observations. A wide range of pressures (0.001–100 bar) and temperatures (100–5000 K) is considered. Kinetic effects and geological processes, such as plate tectonics and volcanism, are not included in our model, and we assume that our system had always enough time to reach the thermo-chemical equilibrium after it may have been affected by momentary disequilibrium events, such as volcanism etc.
In Sect. 2 we briefly describe the ggchem code that is used in this work. A detailed comparison to previously published results is provided in Sect. 3 for element abundances of CC and BSE. Section 4 presents additional results for MORB, CI chondrite and PWD abundances. In Sect. 5, the stability of liquid water is studied by modifying the BSE composition to see by how much the content of gaseous atmospheric water needs to increase for liquid water to be present eventually. The effect of the atmospheric pressure on the thermo-chemical equilibrium is discussed in Sect. 6. Section 7focuses on the estimation of timescales at which the chemical equilibrium is reached. In Sect. 8 we conclude with a discussion. In the appendix a glossary of structural formula for some condensed species is provided (Table A.1).
2 Method: phase equilibrium with GGCHEM
We use the thermo-chemical equilibrium code GGCHEM (Woitke et al. 2018). Based on the principle of minimisation of the total Gibbs free energy the chemical equilibrium for the molecules in the gas phase and phase equilibrium for the condensates is solved. A short summary is provided here. For more details see (Woitke et al. 2018).
Figure 1 shows the basic procedure: A set of elements k = 1, …, K is selected, their abundances with respect to hydrogen,
, are henceforth called the total element abundances. Based on gas pressure p, gas temperature T and
, GGCHEM determines the stable condensates, calculates their abundances (which results in the abundance of condensed elements
), and calculates the ion, atom, and molecular concentrations in the gas (which results in the element abundances left in the gas phase ɛk). Condensatesj = 1, …, J are considered stable and present if their supersaturation ratios are unity Sj =1, whereas all other condensates are unstable and not present, that is Sj < 1. The conservation of elements
is obeyed forall elements k. The resulting abundances of all gas and condensed phase species obey the conditions of chemical and phase equilibrium.
In many astrophysical objects, such as AGB star winds, brown dwarf atmospheres or protoplanetary discs, the majority of elements remains in the gas phase, that is
. However, for most applications considered in this paper, such as a gas in contact with a hot planetary crust, only a small fraction of the elements (10−1…10−5) actually remain in the gas phase, depending on the temperature, that is
. Therefore, the vapour pressure of stable condensates is a major component for the composition of the gas.
GGCHEM combines different thermo-chemical data sources. For the molecular equilibrium constants, kp (T), we use Stock (2008) and Barklem & Collet (2016), complemented by some new fits to the NIST/JANAF database (Chase et al. 1982; Chase 1986, 1998). The condensed phase data
is taken from SUPCRTBL (Zimmer et al. 2016) and NIST/JANAF. These datasets allow us to calculate the concentrations of all atoms, ions, molecules and condensed phases in chemical equilibrium for a mixture of up to 41 elements (hydrogen to zirconium, and tungsten). The actual number of gas phase species and condensates depends on the selection of elements and is stated in the corresponding sections for the different calculations.
Phase equilibrium models can generally provide only a very simplified and limited approach to describe the occurrence of condensates in gases, and the nature of gases above solid surfaces, especially when low temperatures are considered, where both the outgassing and the deposition rates are small. No kinetic rates are considered, and the relaxation timescale towards chemical and phase equilibrium cannot easily be discussed. For example, the atmosphere of a rocky planet is in contact with the crust partly on the hot dayside and partly on the cold nightside. Other processes are not considered, such as cloud formation, photo-dissociation, cosmic ray induced processes, and volcanism, etc. Still, equilibrium models can provide a first understanding and can be used to inform more ambitious kinetic condensation models, for example, about the choice of condensates.
![]() |
Fig. 1 Principle modelling procedure of ggchem: elements are selected and included with given total abundances
|
3 Comparison to previous phase equilibrium models
We compare the phase-equilibrium results obtained with GGCHEM to previous equilibrium condensation models published by Sharp & Huebner (1990) and Schaefer et al. (2012) in the following Sects. 3.1 and 3.2, respectively.The paper by Sharp & Huebner (1990) includes sufficiently detailed information about the selection of molecules and condensates, and their thermo-chemical data, that allow us to benchmark our results. For Schaefer et al. (2012), we do not exactly know their choice of molecules and condensates, nor their thermo-chemical data applied, so we broadly compare our results, and identify the differences between the two models.
3.1 Sharp & Huebner (1990)
Sharp & Huebner (1990) used a numerical method that directly minimises the total Gibbs free energy of gas phase and condensed phase species. ggchem uses a different numerical method, for details see Woitke et al. (2018), so the aim of this section is mainly to verify our numerical approach. Therefore the chosen elements, element abundances (Table A.2), and the thermo-chemical data for the gas and condensate species are exactly as described in Sharp & Huebner (1990). Thus both codes use the same 18 elements (H, C, N, O, F, Na, Mg, Al, Si, P, S, Cl, K, Ca, Sc, Ti, V, Cr, Mn, Fe, Ni, Cu and Zr) with 165 gas species and 62 solid condensed species. As in Sharp & Huebner (1990), the pressure is set to 0.5 mbar and the temperature ranges from 1000 to 2000 K.
In Fig. 2, the resulting GGCHEM molecular partial pressures are shown, with the Sharp & Huebner (1990) results over plotted as dashed lines. The graphs from Sharp & Huebner (1990) Fig. 1 have been digitised from an electronic version of their paper. Within the precision of that digitising process, our results are identical. In addition, the ‘appearance and disappearance temperatures’ of the condensates listed in Table 3 of Sharp & Huebner (1990) agree within ±1 K with our results. This demonstrates that our numerical method produces equivalent results for both condensates and molecules.
In the lower panel of Fig. 2, we have applied the full ggchem dataset for molecules and condensed species to the same selection of elements and their abundances, resulting in 388 gas-phase and 204 condensed species, 35 of them being liquids. The results are still very close, with FeS being the only molecule with relevant concentrations that shows a lower concentration compared to the results by Sharp & Huebner (1990). This is caused by the additional occurrence of FeH as a gas phase species, which was not included in Sharp & Huebner (1990). Additional differences in the selection of molecules and condensates are as follows: all gas species and condensates in Sharp & Huebner (1990) are also considered in the full GGCHEM model. We find that SiO[s], ZrSiO4[s], CaTiSiO5[s] and MgCr2O4[s] become stable condensates, while MgTi2O5[s], and Cr2O3[s] are not becoming stable. In the gas phase of these two models, the major difference is that our CrH and CuH concentrations differ by more than one order of magnitude. This is caused by the stability of the additional gas phase species NiCl, TiF3, TiOF2, TiOCl2, TiOCl, AlF2O, MnF, MnCl, ZrF3, ZrF4, CaCl, P4O6, PO2, PCH, FeH, CrS, and TiH, which are all not included in Sharp & Huebner (1990).
![]() |
Fig. 2 Comparison of molecular partial pressures computed by GGCHEM (solid lines) to the results by Sharp & Huebner (1990, dotted lines). Calculations are based on the solar element abundances listed in Sharp & Huebner (1990) for a constant pressure of p = 0.5 mbar. The shown elements are chosen to match Fig. 1 in Sharp & Huebner (1990). Upper panel: GGCHEM only uses the molecules and condensates selected by Sharp & Huebner (1990) and applies their thermo-chemical data. Lower panel: GGCHEM uses all molecules and condensates found in its own database and uses its own thermo-chemical data. The agreement is very good. The only visible difference is in FeS, which is slightly depleted in the lower panel. |
3.2 Schaefer et al. (2012)
Two sets of total element abundances were considered by Schaefer et al. (2012) for the calculation of the atmospheric composition above a rocky planet: Continental Crust (CC) and Bulk Silicate Earth (BSE), based on Wedepohl (1995) and Kargel & Lewis (1993), respectively. The corresponding element abundances are listed in Table A.2. The following 18 elements are selected: H, C, N, O, F, Na, Mg, Al, Si, P, S, Cl, K, Ca, Ti, Cr, Mn, and Fe, together with their respective single ions. The pressure is kept constant at 100 bar.
The model used in Schaefer et al. (2012) is based on IVTANTHERMO (Belov et al. 1999) with a database including data from Robie & Hemingway (1995) adn Holland & Powell (2011). The phyllosilicates present in their dataset were excluded as their focus was on higher temperatures. In order to better compare our model to Schaefer et al. (2012), we computed two models with ggchem, one with and one without phyllosilicates. For the selected elements, GGCHEM finds 471 gas species in its database and 188 condensates, where 30 of those are liquids and 39 are phyllosilicates.
Phyllosilicates should be an integral part of equilibrium condensation models as they are known in geology to form effectively in a wide temperature range on relatively short timescales as condensates directly from the gas phase, but as alterations in silicate rocks exposed to water vapour (e.g. Velde 1995, and references therein). The effective formation of phyllosilicates is underlined by spectrometric evidence of phyllosilicates on Mars’ surface (Poulet et al. 2005). Based on laboratory analysis of different chondrite materials, using backscattered electron micrography, Bischoff (1998) concluded for many carbonaceous chondrites that the aqueous alteration of parent bodies is a fundamental process in their evolution and even argued for pre-accretionary aqueous alteration of distinct components in carbonaceous chondrites. In the cold midplanes of protoplanetary discs, D’Angelo et al. (2019) showed that the hydration of forsterite surfaces by water vapour adsorption should occur within the lifetime of the solar nebula at densities ~ 108 cm−3 and temperatures lower than 500 K, providing between 0.5 and 10 times the amount of water in Earth’s oceans to the bulk compositionof Earth, depending on grain size. Thi et al. (2020) argued that the chemisorption sites for OH and H2O molecules inthe silicate cores become occupied at temperatures between 250 and 700 K on timescales shorter than 105 yr for 1 mm grains at gas densitiesof 108 cm−3.
3.2.1 Continental crust
Continental crustis a proxy of an SiO2-rich (felsic) elemental composition which on Earth results from plate tectonics, see e.g. Taylor & McLennan (1995) for a review. The crust of Earth differentiated into two different parts, continental and oceanic crust. The oceanic crust is geologically younger and consists mainly of basalt (SiO2-poor igneous rock) whereas the continental crust is much older, less dense, and consists mainly of granite, which is a composite material mostly made of SiO2 (quartz) and feldspar. Plate tectonics on Earth strongly effected the differentiation into the different crust types. Whether other planets have a similar bulk crust composition remains unclear, but planets with Earth-like plate tectonics can be expected to also have a felsic composition, at least in parts of their crusts. Furthermore bulk compositions with high SiO2 abundances can result in overall felsic compositions. On Venus, sprectrometer measurements from the Galileo mission suggest that the highlands are felsic in composition (e.g. Hashimoto et al. 2008), while for Mars, the buried rock underneath the dominant basaltic surface might be of felsic composition (e.g. Cousin et al. 2017). The overall composition of the CC is controversial and leads to different proposed compositions. For further reading, see e.g. Taylor & McLennan (1995), Rudnick & Gao (2003) and Greber et al. (2017). In order to allow a comparison to Schaefer et al. (2012) we use their composition taken from Wedepohl (1995).
Overall, the results of the model by Schaefer et al. (2012) and our GGCHEM model without phyllosilicates are similar for CC abundances, both showing H2O and CO2 as the major gas species between about 570 and 3500 K, with constant particle ratio H2O:CO2 = 1.35:1, which is a direct consequence of the assumed total element abundances, since neither hydrogen nor carbon can condense at these temperatures.
At higher temperatures ≳3500 K, O2 and SiO become the most abundant species, followed by CO, OH, and metal oxides, such as SiO, SiO2, NaO and AlO, and hydroxides, such as NaOH and KOH, and by the atoms K and Na. Liquid Al2O3[l] is found to be stable for temperatures up to 5150 K at 100 bar in our model, where it is the first stable condensate. Other liquid metal oxides are stable at high temperatures as well, in particular MgAl2O4[l], ceCaO[l], FeO[l], SiO2[l], K2SiO3[l], Na2SiO3[l], with the last liquid solidifying at 1696 K, the melting point of SiO2.
At lower temperatures, GGCHEM identifies the following solid compounds as abundant stable condensates (with max { log10(nsolid∕n⟨Si⟩) } > −2): SiO2 [s] (quartz, by far the most abundant), the three major components of feldspar: CaAl2Si2O8[s] (anorthite), NaAlSi3O8[s] (albite) and KAlSi3O8[s] (microcline), MgSiO3[s] (enstatite), Mg2SiO4[s] (fosterite), CaMgSi2O6[s] (diopside), KAlSi2O6[s] (leucite), Fe2O3[s] (hematite), Fe3O4[s] (magnetite),CaSiO3[s] (wollastonite), and Ca2SiO4[s] (larnite).
At temperatures ≲570 K, H2O gas becomes liquid, and carbon becomes thermally stable as CaMgC2O6[s] (dolomite), and so N2 remains the only abundant gas species. Eventually, at 360 K, nitrogen is found to be stable in form of NH4Cl (ammoniumchloride) and there is no physical solution anymore to produce a p = 100 bar gas as all selected elements condense. Such atmospheres would mainly consist of noble gases, which are not included here.
Some deviations between the two models are found for O2, SO2, and HF. The results by Schaefer et al. (2012) show two major steps in the O2 concentration at ~2600 K and at ~ 1800 K. These changes in O2 abundances in the gas phase are caused by the chemical stability of different Fe species in the corresponding temperature regimes: Fe2SiO4[l] (T > 2500 K), Fe3O4[l] (1900 K < T < 2500 K), and Fe2O3[l] (T < 1900 K). In contrast, in the GGCHEM-model, there is only one transition, at about 2150 K, where one of the major liquids FeO[l] solidifies to form Fe3O4[s] (magnetite), which consumes large amounts of molecular oxygen as
![\begin{equation*} 6\;\textrm{FeO}[\textrm{l}] + \textrm{O}_2 \longleftrightarrow 2\;\textrm{Fe}_3\textrm{O}_4[\textrm{s}].\nonumber \end{equation*}](/articles/aa/full_html/2020/04/aa36614-19/aa36614-19-eq8.png)
The liquid phases Fe2SiO4[l], Fe3O4[l], and Fe2O3[l] are currently not included in our model. The thermodynamic data for liquids originates mostly from NIST/JANAF, which does not include liquid phases of Fe2SiO4[l], Fe3O4[l], and Fe2O3[l]. Towards higher temperatures, the O2 abundance increases further according to its increasing vapour pressure over the mostly liquid condensates, such as SiO2[l], MgSiO3[l], and FeO[l].
Towards lower temperatures, fluorine becomes stable in form of CaF2[s] (fluorite) around 1500 K, reducing HF in the gas phase. At about 1150 K, sulphur becomes thermally stable in form of CaSO4[s] (anhydrite) on the expense of CaMgSi2O6[s] (diopside). This transition removes sulphur from the gas phase, leading to a fast decrease of the SO2 concentration below 1150 K. Eventually, in our model without phyllosilicates, H2O[l] (liquid water) is thermally stable for T ≲ 570 K and leaves behind an N2-rich atmosphere.
When we do include phyllosilicates in our model (lower panel of Fig. 3), the atmospheric composition does not change at higher temperatures, however, at T < 720 K, phyllosilicates become stable and have a profound influence on both the molecular and solid composition. We find two phyllosilicates in our CC model, Mg3Si4O12H2[s] (talc) at T < 720 K, and Ca2FeAl2Si3O13H[s] (epidote) at T < 410 K. These are very effective in removing water from the gas phase, for example
![\begin{equation*} \textrm{SiO}_2[\textrm{s}] + 3\;\textrm{MgSiO}_3[\textrm{s}] + \textrm{H}_2\textrm{O} \longleftrightarrow {\textrm{Mg}}_3\textrm{Si}_4\textrm{O}_{12}\textrm{H}_2[\textrm{s}],\nonumber \end{equation*}](/articles/aa/full_html/2020/04/aa36614-19/aa36614-19-eq9.png)
thereby inhibiting the stability of liquid water on the surface. Since hydrogen disappears sooner than carbon from the gas phase in themodel including phyllosilicates, there is in fact a narrow temperature interval 600 K–720 K where CO2 is the most abundant molecule.
3.2.2 Bulk silicate Earth
Bulk silicateEart is an approximation for the composition of the Earth excluding its core. This leads to a composition that is rich in MgO and FeO-bearing silicates (mafic), but relatively poor in C, N, F, P, S, Cl, and K. For the model comparison we use the same total element abundance as Schaefer et al. (2012) taken from Kargel & Lewis (1993).
Relevant liquids at high temperatures in our GGCHEM-model are SiO2[l], FeO[l], MgSiO3[l], Mg2SiO4[l], MgAl2O4[l], MgO[l], and CaO[l], with the first stable condensate being MgAl2O4[l] at 4900 K. The relevant solid composition at lower temperatures includes Mg2SiO4[s] (fosterite), MgSiO3[s] (enstatite), FeO[s] (ferropericlase), CaMgSi2O6[s] (diopside), MgAl2O4[s] (spinel), NaAlSiO4[s] (nepheline), Fe2SiO4[s] (fayalite), Fe3O4[s] (magnetite), FeAl2O4[s] (hercynite), CaAl2Si2O8[s] (anorthite), NaAlSi3O8[s] (albite), NaAlSi2O6[s] (jadeite), MgFe2O4[s] (magnetoferrite), Ca3Al2Si3O12[s] (grossular), Ca2MgSi2O7[s] (åkermanite), and Ca2SiO4[s] (larnite).
Concerning the gas phase abundances, both the Schaefer et al. (2012) model and our GGCHEM-model show that H2O and O2 are the most abundant gas species in a wide temperature range, but the deviations between the models are more pronounced for BSE abundances. For high temperatures ≳ 4200 K, both models find the gas phase to be mostly composed of O, Na, Mg, Fe, SiO, and MgO, in addition to O2. The most obvious deviation is the concentration of O2, which dominates the gas phase in our GGCHEM-model between about 2300 K and 4200 K, whereas it drops already at 3100 K in the model by Schaefer et al. (2012). Similar to the model for CC abundances, the disappearance of O2 in our model for BSE abundances is caused by the solidification of FeO[l] around 2300 K, which consumes oxygen as
![\begin{equation*} \textrm{Mg}_2\textrm{SiO}_4[l] + 2\;\textrm{FeO}[l] + \textstyle{\frac{1}{2}}\,\textrm{O}_2 \longleftrightarrow {\textrm{MgSiO}}_3[l] + \textrm{MgFe}_2\textrm{O}_4[\textrm{s}]. \nonumber \hfill \end{equation*}](/articles/aa/full_html/2020/04/aa36614-19/aa36614-19-eq10.png)
Once O2 has disappeared, H2O becomes the most abundant and SO2 the second most abundant species. At T ≈ 1300 K, sulphur condenses in form of FeS[s] (troilite), for example as
![\begin{equation*} 2\;\textrm{FeO[s]} + 2\;\textrm{SO}_2 \longleftrightarrow 2\;\textrm{FeS[s]} + 3\;\textrm{O}_2. \nonumber \end{equation*}](/articles/aa/full_html/2020/04/aa36614-19/aa36614-19-eq11.png)
This removes SO2 and hence sulphur from the gas phase, making CO2 the second most abundant gas species after H2O.
For T ≲ 550 K, H2O is thermally stable as liquid water H2O[l]. Both our GGCHEM model and the Schaefer et al. (2012) model suggest that, after water is stable as a liquid, the atmosphere becomes rich in CH4, with some traces of H2. At even lower temperatures, the GGCHEM model predicts that NH4Cl (ammonium chloride) becomes stable at 330 K and CH4[s] (methane ice) at 220 K, below which there is no solution anymore for a 100 bar atmosphere.
At temperatures below about 1000 K, the inclusion of phyllosilicates (lower panel in Fig. 4) again leads to substantial differences between our model and Schaefer et al. (2012). As the phyllosilicates KMg3AlSi3O12H2[s] (phlogopite) and NaMg3AlSi3O12H2[s] (sodaphlogopite) become stable at temperatures of 970 and 930 K, respectively, the water in the atmosphere is removed. This removal leads to an earlier domination of CO2 and subsequently to the formation of solid C[s] (graphite) at about 800 K, and the development of an N2 -rich atmosphere, in contrast to the model without phyllosilicates. In fact, nitrogen stays in the atmosphere down to 100 K and does not condense in form of NH4Cl as in our CC model.
Our models without phyllosilicates match those of Schaefer et al. (2012), which do not include phyllosilicates. The inclusion of phyllosilicates as condensed species causes strong deviations in the gas phases for temperatures below ~ 1000 K. This underlines the importance of phyllosilicates for the investigation of atmospheres of rocky exoplanets.
![]() |
Fig. 3 Comparing the molecular concentrations (nmol∕ntot) over Continental Crust (CC) at P = 100 bar predicted by GGCHEM with the results obtained by Schaefer et al. (2012). Top panel: results by Schaefer et al. (2012) scanned from their Fig. 1. Middle panel: results from GGCHEM disregarding phyllosilicates. Bottom panel: results from GGCHEM for the full dataset. All species with log nmol∕ntot > 1.5 are shown. The thin, vertical dotted lines indicate the upper and lower limits of the models. For the GGCHEM models this means that all elements are condensed below the corresponding temperature. |
4 Other total element abundances
One of the major aims and challenges of exoplanet research is to determine the element composition of surfaces and atmospheres, for the purpose of characterisation. After having studied the theoretical predictions for Continental Crust (CC) and Bulk Silicate Earth (BSE) element abundances in the previous section, where we also have checked our results against previously published results, we now explore three additional sets of total element abundances for our phase equilibrium models: (1) mid oceanic ridge basalt (MORB) elemental abundances, (2) measured elemental abundances of carboneceous chondrites (CI), and (3) exoplanet elemental abundances deduced from spectral analyses of polluted white dwarfs. In Fig. 5, we plot these element abundances in units of the silicon abundance, the dominant rock-forming element, and compare them to the element abundances discussed earlier in this paper.
![]() |
Fig. 5 Element abundances relative to silicon (nuclei particle ratios) for different materials and astronomical sources. |
4.1 Mid Oceanic Ridge Basalt
Measurements by probes and orbiter missions infer that rocks of basaltic composition are very common in the solar system as they can also be found on Mars, Venus, Mercury, and on our Moon (e.g. Grotzinger 2013; Gilmore et al. 2017; Wang et al. 2019b). The major difference of these rock compositions is the Fe content, which is related to the planetary mass, causing a different degree of differentiation (Elkins-Tanton 2012). Another factor is the accretion history of the planet as well as the interior chemistry, causing different interior redox states. On Earth, basalt is most common in the oceanic crust. Therefore, we use the mean composition of the MORB from Arevalo & McDonough (2010) for our analysis.
Figure 5 and Table A.2 show that MORB, in general, has element abundances similar to CC and BSE, but is enriched in S, Ca, and Ti, and poor in N. The abundance of Mg in MORB is significantly larger than in CC, but less than in BSE. We restrict our model to the same elements as in the previous section (H, C, N, O, F, Na, Mg, Al, Si, P, S, Cl, K, Ca, Ti, Cr, Mn, Fe, and their corresponding ions).
The results of this model are shown in Fig. 6. Important liquids at high temperatures are found to be SiO2[l], FeO[l], MgSiO3[l], Al2O3[l], Na2SiO3[l], MgTi2O5[l], CaO[l], and MgAl2O4[l], with the first condensate being Al2O3[l] at 5150 K in this model. At lower temperatures, MORB shows a particularity rich solid composition in our model, including SiO2[s] (quartz), MgSiO3[s] (enstatite), FeTiO3[s] (ilmenite), Fe2SiO4[s] (fayalite), NaAlSi3O8[s] (albite), CaTiSiO5[s] (sphene), CaMgSi2O6[s] (diopside), Fe3O4[s] (magnetite), CaAl2Si2O8[s] (anorthite), Al2SiO5[s] (kyanite), FeO[s] (ferropericlase), Mg2SiO4[s] (fosterite), NaAlSi2O6[s] (jadeite), Ca3Al2Si3O12[s] (grossular), CaSiO3[s] (wollastonite) Fe2TiO4[s] (ulvospinel), Ca2SiO4[s] (larnite), FeS[s] (troilite), and C[s] (graphite).
The atmosphere over MORB is predicted to be more reducing than over CC and BSE, with O2 only playinga minor role. Between temperatures of about 1300 and 3500 K, the atmosphere consists mainly of H2O and SO2 with a particle ratio of about 6:1, according to the assumed element abundances of H and S. At higher temperatures, the gas mainly consists of SiO molecules and O atoms. At lower temperatures, FeS[s] condenses at T < 1300 K, removing SO2 from the gas phase. The following phyllosilicates become stable below about 750 K: Mg3Si4O12H2[s] (talc), FeAl2SiO7H2[s] (Fe-chloritoid), and KMg3AlSi3O12H2[s] (phlogopite). These phyllosilicates remove the water from the atmosphere and lead to a narrow temperature interval within which CO2 becomes the most abundant gas species. They also prevent the formation of liquid water at lower temperatures. At T < 650 K, C[s] (graphite) condenses, leaving behind an N2-rich atmosphere.
![]() |
Fig. 6 Molecular concentrations nmol∕ntot for Mid Oceanic Ridge Basalt (MORB) element abundances as function of temperature for a constant pressure of p = 100 bar. Phyllosilicates are included in this model. All species with maximum log concentration > − 1.4 are shown. |
4.2 CI chondrite abundances
Chondrites are believed to be remainders of the formation period of the planets and thus can provide insights into the composition of the planets at very early stages. It remains a matter of debate whether it is still possible today to find meteorites that resemble the building blocks of Earth, since their isotope ratios do not match those on Earth (see e.g. Drake & Righter 2002; Yoshizaki et al. 2018). However, the isotope ratios of the planets can be explained by a mixture of different types of chondrites.
In order to investigate potential atmospheres based on these primitive remainders of the planet formation, Fig. 7 shows theresults for CI chondrite element abundances, based on the Orgueil meteorite (see Lodders et al. 2009, and Table A.2). This meteorite has an extraordinarily primitive composition, which is rich in Fe, Mg, and S, but has only little Si, Ca, and Al. The volatile elements H, C, and N are significantly more abundant than for CC, BSE, and MORB (see Fig. 5).
Due to these differences, the liquid and solid composition is very different from all other cases studied so far. The first condensate MgAl2O4[l] appears at T ≈ 4500 K at 100 bar, while other abundant liquids are SiO2[l], FeO[l], FeS[l], MgSiO3[l], Mg2SiO4[l], and MgO[l]. The most important solid condensates are SiO2[s] (quartz), FeS[s] (troilite), MgSiO3[s] (enstatite), NaAlSi3O8[s] (albite), C[s] (graphite), FeS2[s] (pyrite), Fe3O4[s] (magnetite), FeO[s] (ferropericlase), Fe2SiO4[s] (fayalite), and NaAlSiO4[s] (nepheline). A number of carbonates becomes stable below about 500 K, among them FeCO3[s] (siderite), MgCO3[s] (magnesite), and MnCO3[s] (rhodochrosite). At temperatures below 400–900 K, hydration is very common, to the formation as phyllosilicates as Mg3Si4O12H2[s] (talc), NaMg3AlSi3O12H2[s] (sodaphlogopite), Mg3Si2O9H4[s] (lizardite), and Fe3Si2O9H4[s] (greenalite). Despite the formation of those phyllosilicates, there is still enough hydrogen available for liquid and solid water to become thermally stable in this model, H2O[l] at 560 K and H2O[s] at 271 K. Interestingly, FeO2H[s] (goethite) becomes stable at about 170 K.
The gas phase mainly consists of H2O for almost all temperatures considered, followed by CO2, CO and H2, and the sulphur molecules H2S and SO2. At very high temperatures, T > 4500 K, O, H, OH, SiO, and CO become more abundant. Once the phyllosilicates, graphite and the carbonates have formed around 500 K, the gas phase is dominated by N2. Although NH4Cl (ammoniumchloride) becomes stable around 250 K in this model, the chlorine abundance is not large enough here to exhaustively consume N2.
In the bottom panel of Fig. 7 we show the hydrogen bearing species between 100 and 1000 K. The different phases of H2O incorporate most of the H atoms. The first H bearing condensate is NaMg3AlSi3O12H2[s] (sodaphlogopite) at about 910 K, followed by Mg3Si4O12H2[s] (talc), MgAl2SiO7H2[s] (Mg-chloritoid), Mg3Si2O9H4[s] (lizardite), and FeAl2SiO7H2[s] (Fe-chloritoid), before H2O[l] condenses at about 550 K. The amount of H kept in phyllosilicates increases steadily to lower temperatures, but is insufficient to suppress the thermal stability of liquid water.
The CI chondrite composition is the only rocky element composition considered in this paper that produces liquid and solid water without the need for additional hydrogen and oxygen. Although other rock compositions produce large amounts of gaseous water as well, phyllosilicates are thermodynamically more favourable than the liquid water, and hence inhibits the stability of liquid water for those other element abundances in phase equilibrium. However, the CI chondrites are hydrated so much that even after the formation of the phyllosilicates, there is still some water left to condense.
![]() |
Fig. 7 Results for carbonaceous chondrite (CI) total element abundances at constant pressure p = 100 bar. Phyllosilicates are included in the model. Top panel: gas phase concentrations (nmol ∕ntot) between 100 and 5000 K. All species with maximum log concentration >−1.4 are shown. Bottom panel: gaseous and condensed species that contain hydrogen per H-nucleus (n∕n⟨H ⟩) between 100 and 1000 K, we note the different scaling. The linestyles correspond to the different categories of condensates: silicates (solid), liquids (dotted), phyllosilicates (short dashed), other H-bearing species (long dashed), and other condensates (dash dotted). |
4.3 Polluted white dwarf abundances
The bulk composition of an exoplanet can be studied in terms of its mean density, which is determined by the planet’s mass and diameter. These quantities can be measured by a combination of radial velocity and transit observations (e.g. Weiss & Marcy 2014; Rice et al. 2019). A new, powerful and potentially more direct approach to measure the bulk composition of exoplanets is to determine the element composition in the atmospheres of polluted white dwarfs.
White dwarfs (WDs), the burnt-out cores of low-mass stars which become visible only after the terminal ejection of a planetary nebulae, usually have pure hydrogen or helium atmospheres, because all elements heavier then He settle down quickly (~ 105 yr) in the extremely strong gravitational field of the object (see e.g. Paquette et al. 1986; Koester 2009). Nevertheless, some WDs show an enrichment in elements like O, Mg, Al, Si, Ca, Fe, Si, and C (e.g. Wilson et al. 2016; Farihi et al. 2016). These white dwarfs with metal absorption line features are hence called polluted white dwarfs (PWDs). The observed relative metal abundances in these PWDs are comparable to the Earth’s composition with some deviations, see references in Wilson et al. (2019) and Fig. 5. The most plausible reason for such enrichment with heavy elements in a white dwarf’s atmosphere is the accretion of planetesimals or planets from the white dwarf’s planetary system. The challenge is, however, that the datasets from PWDs are lacking some important elements as their detection is presently very challenging.
In Table A.2 we list the measurements for the WD GD 362 by Zuckerman et al. (2007), which shows a composition that is particularly Fe-rich, see Fig. 5. Unfortunately, the abundances of H and He as pollutant are impossible to derive this way, since these elements originate from the WD atmosphere itself. Thus, we excluded He from our calculations.Furthermore the values for C, N, and O are only provided as upper limits. In our model, we have therefore used averaged abundances for elements H, C, N, and O, computed from mean values of the logarithmic abundances from the columns denoted by “CC Schaefer”, “BSE Schaefer”, “MORB” and “CI meteorite” in Table A.2. This results in ɛH = 6.218, ɛC = 5.344, ɛN = 3.5365 and ɛO = 7.903. In this work, we only investigate element abundances from a single PWD which has inferred abundances for a large number of elements allowing a more diverse atmosphere and condensate composition. An in-depth analysis of multiple elemental abundances inferred from PWD is beyond the scope of this paper. The origin of the pollutant material range from complete planets, stripped planetary cores, comets to gas giants (see e.g. Harrison et al. 2018; Bonsor et al. 2020).
We have included 17 elements in our model (H, C, N, O, Na, Mg, Al, Si, Ca, Ti, V, Cr, Mn, Fe, Ni, and Cu). Some important elements have been disregarded, because their element abundances are not available, in particular F, P, S, Cl, and K. We also excluded Sc and Co because the condensate data in our model is not reliable for these elements. GGCHEM finds 194 gas species and 142 condensed species in its database, 23 of them being liquids, for the included 17 elements.
The results of our phase-equilibrium model are shown in Fig. 8. At T ≳ 3700 K, Fe is the most abundant gas species, followed by SiO and O. Additionally, O2, FeO, Mg and MgO are abundant in the gas, but oxygen never becomes the dominant gas species as it is kept in large quantities in FeO[l].
At T ~4900 K, CaO[l] and MgAl2O4[l] are the first condensates. Other relevant liquids are FeO[l], MgO[l], MgSiO3[l], MgTiO3[l], and Fe[l], before CaO[l] solidifies as Ca2SiO4[s] at T ~3900 K. Further condensates are Ni[l] and Ti4O7[s], before the condensation of SiO2[l], CaSiO3[s], Ca2SiO4[s], Mn2SiO4[s], Na2SiO3[l], and Ca2MgSi2O7[s] in the temperature range 2900 K < T < 3400 K causes the atmospheric composition to change from an SiO dominated atmosphere to an H2 dominated atmosphere with H2O and CO being further abundant gas species.
At T≲ 1300 K, CO transforms into CH4, which causes the H2O concentration to decrease, which leaves an atmosphere rich in H2, CH4 and H2O. The thermal stability of the phyllosilicates NaMg3AlSi3O12H2[s] (sodaphlogopite) at T ≲ 770 K, FeAl2SiO7H2[s] (iron-chloritoid) at T ≲ 460 K, and Mg3Si2O9H4[s] (lizardite) at T ≲ 380 K removes H2 and H2O from the gas phase, eventually leading to a pure CH4 atmosphere. The trace gas NH3 condenses at T ≲ 250 K. The last gas species to become stable as a condensate is CH4 at T ≲ 220 K. For even lower temperatures, no species remain stable in the gas, and therefore no physical solution is possible for a p = 100 bar atmosphere. The formation of phyllosilicates inhibits once again the formation of water as a condensate.
The PWD element abundances are particularly rich in Fe, which binds oxygen from the atmosphere to form additional Fe-bearing solid compounds. Hence, increasing the total Fe abundance causes a more reducing atmosphere. The same effect can be achieved by increasing the Fe content in other element mixtures. For example, considering BSE abundances, an increase for the Fe abundance by 1 wt % causes the atmosphere to change from a mixture of H2O, CO2, and SO2 to a mixture of H2, H2O, and CH4 (see Fig. A.2). The results for Fe-enriched BSE abundances and PWD abundances are indeed very similar. Thus, a reducing atmosphere is expected for planets with increased total iron abundance in the crust, or could be caused by the late delivery of iron-rich bodies to the planet surface.
![]() |
Fig. 8 Results for Polluted White Dwarf (PWD) total element abundances at constant pressure p = 100 bar. Phyllosilicates are included as possible condensates. Top panel: gas phase concentrations (nmol ∕ntot) between 100 and 5000 K. All species with maximum lognmol∕ntot > − 1.4 are shown. Bottom panel: gaseous and condensed species that contain hydrogen are plotted with their concentration per H-nucleus n∕n⟨H⟩ between 100and 1000 K (we note the different scalings). |
5 Stability of condensed water
The occurrence of surface water is believed to be one of the necessary conditions for the emergence of life as we know it (e.g. Westall & Brack 2018). Therefore, we investigate the potential stability of water in an equilibrium crust-atmosphere model.
The results of our models, as discussed in the previous sections, show that the formation of phyllosilicates can inhibit the formation ofliquid and solid water for most rock compositions, except for the CI chondrite abundances. This raises the question by how much we need to change the total element abundances in order to allow for water to condense. We therefore have carriedout additional simulations with altered element abundances based on the Bulk Silicate Earth (BSE) dataset.
Crucial for the water formation is the presence of hydrogen. We have therefore tested two approaches: (i) increasing the H abundance, and (ii) increasing the H and O abundances with particle ratio 2:1. The respective elements are added to the BSE abundances before normalising them to 1. Figure 9 shows our results for temperatures between 100 and 1000 K for these models.
The two top panels once again demonstrate the effect of the phyllosilicates. Only if the phyllosilicates are artificially removed from our list of condensates, we find liquid water to be thermally stable between about 350 and 550 K. If the phyllosilicates are included, however, in particular NaMg3AlSi3O12H2[s] (sodaphlogopite) and KMg3AlSi3O12H2[s] (phlogopite), hydrogen is very efficiently removed from the gas phase, and liquid water cannot become thermally stable (upper right panel of Fig. 9).
With additional H only, we have been unable to find models where liquid water would be thermally stable. We depict the concentrations of the hydrogen species in the middle panels of Fig. 9 after increasing the hydrogen abundance by 1 and 10 wt%, respectively. The dominant H bearing species in both cases is found to be H2. In comparison to the unaltered BSE model, however, a larger variety of phyllosilicates is found to form: NaMg3AlSi3O12H2[s] (sodaphlogopite), FeAl2SiO7H2[s] (iron-chloritoid), Ca2Al3Si3O13H[s] (clinozoisite), Mg3Si4O12H2[s] (talc), MgAl2SiO7H2[s] (Mg-chloritoid), Mg3Si2O9H4[s] (lizardite), and AlO2H (diaspore).
With additional H and O, the formation of liquid and solid water succeeds in our models, see lower panels of Fig. 9. Since the mass ratio O:H is 16:1, the inclusion of 1 wt% water results in an increase of 1/9 wt% for H and 8/9 wt% for O. We find that liquid water becomes stable after adding about 12 wt% of H2O to the total BSE element abundances, whereas 15 wt% are required for the stability of solid water. The diversity of phyllosilicates increases again. In addition we find Ca2FeAl2Si3O13H[s] (epidote), CaAl2Si2O10H4[s] (lawsonite), Ca2FeAlSi3O12H2[s] (ferri-prehnite), CaAl4Si2O12H2[s] (margarite), and Fe3Si2O9H4[s] (greenalite). For T < 200 K, no atmosphere is found to be stable, since all included elements are thermally stable in condensates.
This analysis shows that phyllosilicates can act as a reservoir for capturing a certain amount of water. By adding sufficient hydrogen and oxygen, it is possible to saturate the phyllosilicates and to have liquid and solid water as stable condensates. The added water in our model could be an indicative of an additional delivery of water to the planet, for example via the incorporation of icy comets. However, there are other possible explanations. For example, the existence of phyllosilicates is thermodynamically impossible in the hot core and the overwhelming part of the mantle. The large amount of water that had once been present in this matter is likely to have been driven out into the crust and atmosphere during planet evolution. This way, there is plenty of water available to saturate the phyllosilicates in the crust and to have excess water to form an ocean.
![]() |
Fig. 9 Distribution of hydrogen among the different gas and condensed species. All models are run at 100 bar and for the following abundances: top left panel: BSE without phyllosilicates; top right panel: BSE; middle left panel: BSE + 1.339 wt% H; middle right panel: BSE + 15 wt% H; bottom left panel: BSE + 12 wt% H2O; bottom right panel: BSE + 15 wt% H2O. The threshold concentration for species to be shown is set to 10−3 for all abundances except for BSE + 10% H (10−3.5). |
![]() |
Fig. 10 Results for BSE total abundances at different pressures. Upper panel: dominant gas species with respect to the highest concentration in the p−T plane. Middle panel: gas concentrations (nmol∕ntot) at p = 1 bar. Lower panel:gas concentrations (nmol∕ntot) at p = 0.001 bar. The transitions in composition are caused by phase changes as listed in Table A.3. Further pressure levels are shown in Fig. A.1. |
6 Pressure variation
In the previous sections only a particular, fixed pressure of 100 bar was considered. However, the atmospheric pressures at the bottom of rocky planets can vary by orders magnitude, from several mbars to about 100 bars, comparable to our Solar System planets Mars and Venus, respectively. The hot atmospheres of very young rocky exoplanets might even have atmospheric pressures of multiple 100 bars (e.g. Dhaliwal et al. 2018; Olson & Sharp 2018), following the general trend of increased vapour pressures for higher temperatures. Therefore, we investigate the influence of the atmospheric pressure on the atmospheric and crust composition in this section. This analysis is based on the BSE total element abundances.
In Fig. 10 we show the most abundant gas species in the p− T plane between 0.001 bar and 100 bar, and between 100 and 5000 K. The middle and lower panels show the atmosphericcompositions at selected, constant pressures of 1 bar and at 0.001 bar, respectively. The plot for p = 100 bar was already shown in Fig. 4, lower panel. Additional pressure levels (10 bar and 0.1 bar) are available in the Appendix, see Fig. A.1.
Generally speaking, the phase changes occurring in the atmosphere are the same, but shift to lower temperatures for lower pressures. In particular, the temperature window in which O2 is the dominant gas species becomes narrower for lower pressures. At 100 bar this range is roughly 2000–4000 K, whereas at 0.001 bar it narrows down to about 1600–1900 K. The temperatures where the various condensates appear and disappear are shifted likewise, see Table A.3.
7 Timescales
All calculations presented assumed that our systems have reached chemical equilibrium. We address this assumption by investigating three timescales. First, the timescale for the condensation from the gas phase to form the different condensates. Second, an annealing timescale that rearranges the condensate phase towards the thermodynamically favoured phase. Last, we investigate the chemisorption timescale, describing the formation of phyllosilicates.
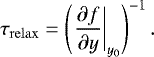
We consider the relaxation of a state y(t) towards equilibrium y0 via the first-order ordinary differential equation dy∕dt = f(y), where f is the given time derivative. The relaxation timescale is found by considering small deviations from the equilibrium state as
(1)
where f(y0) = 0. The relaxation timescale is (y − y0)∕(dy∕dt), hence
(2)
Close to the equilibrium state, the system relaxes as
(3)
equilibrium. For the gas-condensed phase transition we have y = Vs and

where Vs is the volume of a condensate s per cm3, Vs0 its value in phase equilibrium, n the number of key molecules in the gas phase forming the condensate, and n0 its value in phase equilibrium. n and V are connected as
(6)
in other words, an excess of key molecules in the gas phase means that the condensation is momentarily not complete. V1 is the monomer volume. Atot is the total surface of all condensates and α the sticking coefficient, assumed to be unity. vth is the thermal velocity calculated by
(7)
with the mass m of the gas species containing most of the limiting element. The limiting element is the least abundant element in the gas phase that is included in the considered condensate. When computing Eq. (8), we consider the longest timescale of all active condensates. The identifications of the slowest condensate, its limiting element and key species havelittle effect on the results as they only enter via the thermal velocity which requires a species mass. kB is the Boltzmann constant and Tg the gas temperature. Inserting Eq. (5) in (2) the condensation timescale τcond follows as
(8)
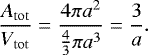
Vtot is the total volume of all condensates. Equation (8) expresses the time it takes for the key molecule of the slowest condensate to collide with an existing surface. We approximate the surface-volume fraction Atot ∕Vtot by the dimension ratio
(9)
with a length scale of a. The inclusion of different scales introduces factors of the order of 100. For example, spherical symmetric grains with a radius of a have a surface-volume ratio of
(10)
In Fig. 11, the condensation timescale for BSE abundances is shown for pressures of 100 bar and 1 mbar as well as for different length scales of 1 μm and 1 m. For the 1 mbar calculation, no condensates are stable for T ≳ 2900 K, thus the condensation timescale cannot be calculated. In case of the 100 bar atmosphere, this threshold is at T ≈4900 K.
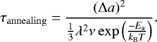
The timescale based on reorganisation of condensates in the lattice structure itself is based on the transfer of sub groups of molecules from one point in the lattice to another by solid diffusion. This annealing process is described by Duschl et al. (1996) and Gail & Sedlmayr (1999) and the timescale can be calculated by
(11)
λ is the step length, ν the oscillation frequency, Ea the activation energy that needs to be overcome in order to move from one to an adjacent lattice place, kB the Boltzmann constant and T the temperature. Δa is the total distance that the particle needs to travel in the lattice structures by random walk.
The black lines in Fig. 11 show the annealing timescales for different annealing distances Δa of 1 μm and 1 m. As Gail & Sedlmayr (1999), we use the typical SiO4 vibration frequency ν = 2 × 1013 s−1 for the annealing process. SiO nucleation experiments from Nuth & Donn (1982) resulted in a characteristic activation energies for silicates of Ea ∕kB = 41 000 K. We assume a step size of λ = 1 nm, based on the order of magnitude of the monomer size calculated by
for monomer volumes V1.
For the formation of phyllosilicates, the chemisorption of H2O in silicates is of importance (Thi et al. 2020). The formula to calculate these timescales is also given by Eq. (11). Thi et al. (2020) calculate the oscillation frequency for H2O a surface sight as ν = 1012 s−1. The activation energy for a chemisorbed H2O at the surface to occupy a free silicate core chemisorption site is Ea∕kB = 13 470 K (Okumura & Nakashima 2004). The chemisorption timescales for different thicknesses of 1 m and 1 μm are shown in Fig. 11 as blue lines.
The timescales in Fig. 11 show that the formation of new condensates from the gas phase is quicker than 1 yr for all temperatures and pressures considered. However, the formation of the thermodynamically most favourable lattice structure by rearrangement via solid diffusion may take a long time. For μm-sized particles, the silicate rearrangement (annealing) timescale exceeds 1 Myr at about 900 K. In comparison, the chemisorption timescale for the diffusion of water into the rock structure is faster, exceeding 1 Myr at about 300 K for μm-sized particles.
The comparison of condensation timescales and annealing timescales provides a first order insight to the structure of the condensates. The condensate is crystalline if τcond > τannealing, because the condensates can rearrange quick enough to form the crystalline structure. For τcond ≪ τannealing the condensation occurs much faster and the formed condensate is amorphous (Gail & Sedlmayr 1999).
Especially the timescales for the phyllosilicate formation are very interesting as small rocks can be hydrated on timescales of planetary evolution which is in agreement to the conclusions of Thi et al. (2020). This underlines the importance of the inclusion of phyllosilicates to atmosphere-crust models.
![]() |
Fig. 11 Timescale estimates for the BSE total element abundances. The condensation timescale is shown for different pressures and length scales of 1 μm and 1 m. The timescales for annealing and chemisorption are shown for scales of 1 μm and 1 m each. The horizontal dotted lines illustrate times of 1 s, 1 Myr and 1 Gyr, respectively. |
8 Summary and discussion
The composition of the near-crust atmosphere of a rocky planet depends on the composition of the crust, and vice versa, as the atmosphere and the crust form a coupled thermo-chemical system. The gas in such near-crust atmospheres diffuses (or is transported) into the higher, low-pressure atmospheric regions where it may become, for example, subject to cloud-formation and/or mass loss. In our model we investigate the composition of the atmospheric gas directly in contact with the crust based on chemical phase equilibrium. The assumed total element abundances, and the thermo-chemical data of the condensed species included, are crucial factors for the determination of the composition of crust and atmosphere. All temperature values correspond to an atmospheric pressure of 100 bar.
Near-crust gas composition regimes
The near-crust atmospheres of the investigated rocky compositions (CC, BSE, MORB and CI chondrite) fall roughly into three regimes:
- (i)
near-crust atmospheres with T ≲ 600 K are dominated by N2 or CH4,
- (ii)
near-crust atmospheres with 600 K ≲ T ≲ 3000 K are dominated by H2O, CO2 and SO2, but O2 dominates for a BSE-crust for T ≳ 2000 K,
- (iii)
near-crust atmospheres with T ≳ 3000 K consist of a combination of O2, metal atoms, oxides, and hydroxides.
The resulting near-crust atmospheric composition at lower temperatures (T ≲ 700 K) depends on whether or not phyllosilicates are included. This can result in a shift from CH4 as a dominant gas species to N2, as the hydrogen is consumed by condensates in the form of phyllosilicates. The model results for the CI chondrite abundances are the only ones that produces CO in gas concentrations higher than 10%, due to the relatively high C abundance.
The near-crust atmosphere for a rocky surface according to the polluted white dwarfs metal abundance remains inconclusive with respect to P, S, and K species as they are not measured in the PWD spectra. Nevertheless, our results for PWD abundances provide insight into the atmospheric composition of a potential iron rich planet. The major species of the corresponding near-crust gas phase would be CH4 (T ≲ 750 K), H2 (750 K ≲ T ≲ 3300 K), SiO (330 K ≲ T ≲ 4700 K), and Fe (4700 K ≲ T).
Implications on magma oceans
We observe in our models that liquids start to play a role at temperatures T ≳ 1700 K, where parts of the crust are molten for all total element abundances considered. For hot super Earth planets like 55 Cnc e or CoRoT-7b with dayside temperatures in the range from about 2500–3000 K the crust is mainly liquid, but also contains some solids. The crust composition can be grouped into two regimes, correlating with the difference in the Mg/Si ratio:
- (i)
BSE/CI:melt consisting of mainly MgSiO3[l], FeO[l], and MgSiO4[l] while themain solids are Ca2MgSi2O7[s] (åkermanite), MgCr2O4[s] (picrochomite), and MnO[s] (manganosite).
- (ii)
CC/MORB: melt consisting of mainly SiO2[l], MgTi2O5[l] and FeO[l] while the solids contain MnSiO4[s] (tephroite), Cr2O3[s] (eskolaite), and CaSiO3[s] (wollastonite).
The near-crust atmosphere above a magma ocean consists, in all cases, mainly of H2O, O2, CO2, and SO2. The major differences are the dominance of O2 over H2O for the BSE abundances and the occurrence of H2 and CO as the second and third most abundant gases in case of the CI chondrite element abundances.
Water stability
Phyllosilicates inhibit the thermal stability of liquid and solid water. The CI chondrite total element abundance is the only case for which the thermal stability of water as a condensate is not inhibited by phyllosilicates. In fact, water is abundant enough to overcome the stability of phyllosilicates in the CI chondrite case. Similarly, we are able to force the BSE composition to have liquid water as a thermally stable condensate by adding 12 wt% H2O to the total element abundance. An additional 3 wt% H2O allow solid water to be thermally stable. This shows the importance of phyllosilicates for the search for planets with potential liquid water. The role of phyllosilicates for the water content of exoplanets is further emphasised by their continuous formation on Earth’s surface on short timescales. On the other hand, it is hypothesised, that most of the Earth’s water is trapped in phyllosilicates in the wet mantle transition zone (Wang et al. 2019a). But this zone is not saturated with water and is believed to be able to take up all of Earth’s water.
Timescale investigations show that hydration of small rocks occurs on evolutionary timescales also for temperatures as low as 300 K underlining the importance of phyllosilicates to the system. The rearrangement in refractory condensates towards the thermodynamically most favourable state is only valid for small scales and temperatures above 900 K. However, the major changes of the atmospheric composition at temperatures below 1000 K are caused by the formation of phyllosilicates and ices.
Implication for habitability
The search for habitable and inhabited planets is one of astrophysics ultimate goals. The occurrence of life alters the atmosphere and produce some gas species that can be used as biotracers. Earlier studies suggest that O2 and O3 would be a good biosignature, but more recent studies show that also abiotic sources can produce sufficient levels of O2 in atmospheres(Domagal-Goldman et al. 2014; Harman et al. 2015, 2018; Luger & Barnes 2015). This underlines the necessity of understanding the difference between biosignatures and false positives. Previous studies show that various gas species can be used as biotracers (O2, O3, N2O, CH4, CH3Cl, NH3s, C2H6, and sulphur hazes (Domagal-Goldman et al. 2011; Lammer et al. 2019, and references therein)). In this study we find that some of these species are consistent with equilibrium models, but the occurrence of multiple of these species can be a sign for non equilibrium chemistry. While O2 is a major constituent of the atmosphere at T < 2000 K, we are unable to produce stable O2 at lower temperatures (T ≲ 1500 K). Some further gas species that might be linked to life, especially N2 and CH4, only occur at low temperatures. According to our model and the element abundances analysed in this work, we conclude that the following gas compositions as possible signs for non-equilibrium and potential signature of life, ordered by the strength of argument
- (i)
O2 as abundant gas species for T ≲ 1500 K,
- (ii)
N2 and O2 at the same time for T ≲ 1500 K (see also Stüeken et al. 2016),
- (iii)
NO or NO2 for T ≲ 1500 K,
- (iv)
CH4 and O2 at the same time.
The simultaneous occurrence of N2 and O2 with high concentrations is also possible for sufficiently high N abundances. N2 is usually outgassing as a volatile whereas O2 is produced from molten rock at high temperatures, but if we simply assume a much higher N-abundance, both O2 and N2 can coexist also at high temperatures in equilibrium. We note, however, that the detection of N2 can be affected by lightning in cloudy atmospheres Ardaseva et al. (2017).
One of the crucial aspects in the formation of life as we know it is the occurrence of liquid water. From the results of this work, the upper crust of a (cooling) planet needs to be saturated in phyllosilicates in order to allow for the stabilityof liquid water on the surface. The detection of gaseous water in the atmosphere is not conclusive for the existence of liquid water, as the phyllosilicates are able to incorporate all potential liquid water in phase equilibrium.
Other conclusions about the crust composition on the basis of observations of the atmospheric composition can be ambiguous. However, the use of equilibrium models can provide the first steps to characterise the conditions on the surface of terrestrial exoplanets based on observations of atmospheric species.
Acknowledgements
O.H. acknowledges the PhD stipend form the University of St Andrews’ Centre for Exoplanet Science. We thank Stephen J. Mojzsis, Inga Kamp, Sami Mikhail and Mark Claire for valuable discussions on phyllosilicates and their stability.
Appendix A Additional figures and tables
Glossary for different condensed species.
![]() |
Fig. A.1 Two further pressure profiles for the pressure levels of 10 bar and 0.1 bar are shown as described in Fig. 10. |
Element abundances from different astronomical and geological sources.
Temperatures where different condensed species appear (Thigh) and disappear (Tlow) in phase equilibrium for BSE abundances.
![]() |
Fig. A.2 Results for BSE total element abundances at constant pressure p = 100 bar. Phyllosilicates are included as possible condensates. Left panel: gas phase concentrations (nmol ∕ntot) between 100 K and 5000 K. All species with maximum lognmol∕ntot > − 1.4 are shown. Right panel: gaseous and condensed species that contain hydrogen are plotted with their concentration per H-nucleus n∕n⟨H⟩ between 100and 1000 K (we note the different scalings). |
References
- Anglada-Escudé, G., Amado, P. J., Barnes, J., et al. 2016, Nature, 536, 437 [NASA ADS] [CrossRef] [PubMed] [Google Scholar]
- Arcangeli, J., Désert, J.-M., Line, M. R., et al. 2018, ApJ, 855, L30 [NASA ADS] [CrossRef] [Google Scholar]
- Ardaseva, A., Rimmer, P. B., Waldmann, I., et al. 2017, MNRAS, 470, 187 [NASA ADS] [CrossRef] [Google Scholar]
- Arevalo, R., & McDonough, W. F. 2010, Chem. Geol., 271, 70 [NASA ADS] [CrossRef] [Google Scholar]
- Barklem, P. S., & Collet, R. 2016, A&A, 588, A96 [NASA ADS] [CrossRef] [EDP Sciences] [Google Scholar]
- Belov, G. V., Iorish, V. S., & Yungman, V. S. 1999, Calphad, 23, 173 [CrossRef] [Google Scholar]
- Bischoff, A. 1998, Meteorit. Planet. Sci., 33, 1113 [NASA ADS] [CrossRef] [Google Scholar]
- Blecic, J., Harrington, J., & Bowman, M. O. 2016, ApJS, 225, 4 [NASA ADS] [CrossRef] [Google Scholar]
- Bonsor, A., Carter, P. J., Hollands, M., et al. 2020, MNRAS, 492, 2683 [NASA ADS] [CrossRef] [Google Scholar]
- Chase, M. W. 1986, JANAF Thermochemical Tables (Gaithersburg, Maryland: NIST) [Google Scholar]
- Chase, M. W. 1998, JANAF Thermochemical Tables, Monograph 9, 3rd edn. (Gaithersburg, Maryland: NIST) [Google Scholar]
- Chase, M. W., Curnutt, J. L., Downey, J. R., et al. 1982, J. Phys. Conf. Ser., 11, 695 [NASA ADS] [Google Scholar]
- Cousin, A., Sautter, V., Payré, V., et al. 2017, Icarus, 288, 265 [NASA ADS] [CrossRef] [Google Scholar]
- D’Angelo, M., Cazaux, S., Kamp, I., Thi, W. F., & Woitke, P. 2019, A&A, 622, A208 [NASA ADS] [CrossRef] [EDP Sciences] [Google Scholar]
- Demory, B.-O., Gillon, M., Madhusudhan, N., & Queloz, D. 2016, MNRAS, 455, 2018 [NASA ADS] [CrossRef] [Google Scholar]
- Désert, J.-M., Vidal-Madjar, A., Lecavelier Des Etangs, A., et al. 2008, A&A, 492, 585 [NASA ADS] [CrossRef] [EDP Sciences] [Google Scholar]
- Dhaliwal, J. K., Day, J. M., & Moynier, F. 2018, Icarus, 300, 249 [NASA ADS] [CrossRef] [Google Scholar]
- Domagal-Goldman, S. D., Meadows, V. S., Claire, M. W., & Kasting, J. F. 2011, Astrobiology, 11, 419 [NASA ADS] [CrossRef] [Google Scholar]
- Domagal-Goldman, S. D., Segura, A., Claire, M. W., Robinson, T. D., & Meadows, V. S. 2014, ApJ, 792, 90 [NASA ADS] [CrossRef] [Google Scholar]
- Dorn, C., Harrison, J. H. D., Bonsor, A., & Hands, T. O. 2019, MNRAS, 484, 712 [NASA ADS] [CrossRef] [Google Scholar]
- Drake, M. J., & Righter, K. 2002, Nature, 416, 39 [NASA ADS] [CrossRef] [Google Scholar]
- Duschl, W. J., Gail, H. P., & Tscharnuter, W. M. 1996, A&A, 312, 624 [NASA ADS] [Google Scholar]
- Elkins-Tanton, L. T. 2012, Annu. Rev. Earth Planet. Sci., 40, 113 [Google Scholar]
- Farihi, J., Koester, D., Zuckerman, B., et al. 2016, MNRAS, 463, 3186 [NASA ADS] [CrossRef] [Google Scholar]
- Follert, R., Dorn, R. J., Oliva, E., et al. 2014, Proc. SPIE, 9147, 914719 [Google Scholar]
- Gail, H. P., & Sedlmayr, E. 1999, A&A, 347, 594 [NASA ADS] [Google Scholar]
- Gale, A., Dalton, C. A., Langmuir, C. H., Su, Y., & Schilling, J.-G. 2013, Geochem. Geophys. Geosyst., 14, 489 [NASA ADS] [CrossRef] [Google Scholar]
- Gillon, M., Triaud, A. H. M. J., Demory, B.-O., et al. 2017, Nature, 542, 456 [NASA ADS] [CrossRef] [PubMed] [Google Scholar]
- Gilmore, M., Treiman, A., Helbert, J., & Smrekar, S. 2017, Space Sci. Rev., 212, 1511 [NASA ADS] [CrossRef] [Google Scholar]
- Greber, N. D., Dauphas, N., Bekker, A., et al. 2017, Science, 357, 1271 [NASA ADS] [CrossRef] [Google Scholar]
- Grotzinger, J. P. 2013, Science, 341, 1475 [NASA ADS] [CrossRef] [Google Scholar]
- Harman, C. E., Schwieterman, E. W., Schottelkotte, J. C., & Kasting, J. F. 2015, ApJ, 812, 137 [NASA ADS] [CrossRef] [Google Scholar]
- Harman, C. E., Felton, R., Hu, R., et al. 2018, ApJ, 866, 56 [NASA ADS] [CrossRef] [Google Scholar]
- Harrison, J. H. D., Bonsor, A., & Madhusudhan, N. 2018, MNRAS, 479, 3814 [NASA ADS] [CrossRef] [Google Scholar]
- Hashimoto, G. L., Roos-Serote, M., Sugita, S., et al. 2008, J. Geophys. Res. Planets, 113, E00B24 [CrossRef] [Google Scholar]
- Helling, C. 2019, Annu. Rev. Earth Planet. Sci., 47, 583 [NASA ADS] [CrossRef] [Google Scholar]
- Holland, T. J. B., & Powell, R. 2011, J. Metamorph. Geol., 29, 333 [Google Scholar]
- Kaltenegger, L. 2017, ARA&A, 55, 433 [NASA ADS] [CrossRef] [Google Scholar]
- Kargel, J. S., & Lewis, J. S. 1993, Icarus, 105, 1 [NASA ADS] [CrossRef] [Google Scholar]
- Kislyakova, K. G., Noack, L., Johnstone, C. P., et al. 2017, Nat. Astron., 1, 878 [NASA ADS] [CrossRef] [Google Scholar]
- Kite, E. S., Fegley, Jr. B., Schaefer, L., & Gaidos, E. 2016, ApJ, 828, 80 [NASA ADS] [CrossRef] [Google Scholar]
- Koester, D. 2009, A&A, 498, 517 [NASA ADS] [CrossRef] [EDP Sciences] [Google Scholar]
- Kreidberg, L., Bean, J. L., Désert, J.-M., et al. 2014, Nature, 505, 69 [NASA ADS] [CrossRef] [Google Scholar]
- Lammer, H., Sproß, L., Grenfell, J. L., et al. 2019, Astrobiology, 19, 927 [NASA ADS] [CrossRef] [Google Scholar]
- Leconte, J., Forget, F., & Lammer, H. 2015, Exp. Astron., 40, 449 [Google Scholar]
- Léger, A., Rouan, D., Schneider, J., et al. 2009, A&A, 506, 287 [NASA ADS] [CrossRef] [EDP Sciences] [MathSciNet] [Google Scholar]
- Léger, A., Grasset, O., Fegley, B., et al. 2011, Icarus, 213, 1 [NASA ADS] [CrossRef] [Google Scholar]
- Lodders, K., Palme, H., & Gail, H. P. 2009, Abundances of the Elements in the Solar System (Berlin: Springer-Verlag), 4B, 712 [Google Scholar]
- Luger, R., & Barnes, R. 2015, Astrobiology, 15, 119 [NASA ADS] [CrossRef] [Google Scholar]
- Mahapatra, G., Helling, C., & Miguel, Y. 2017, MNRAS, 472, 447 [NASA ADS] [CrossRef] [Google Scholar]
- Mayor, M., & Queloz, D. 1995, Nature, 378, 355 [Google Scholar]
- McArthur, B. E., Endl, M., Cochran, W. D., et al. 2004, ApJ, 614, L81 [NASA ADS] [CrossRef] [Google Scholar]
- Miguel, Y. 2019, MNRAS, 482, 2893 [NASA ADS] [Google Scholar]
- Nikolov, N., Sing, D. K., Fortney, J. J., et al. 2018, Nature, 557, 526 [NASA ADS] [CrossRef] [Google Scholar]
- Nuth, J. A., & Donn, B. 1982, J. Chem. Phys., 77, 2639 [NASA ADS] [CrossRef] [Google Scholar]
- Okumura, S., & Nakashima, S. 2004, Phys. Chem. Minerals, 31, 183 [NASA ADS] [CrossRef] [Google Scholar]
- Olson, P., & Sharp, Z. D. 2018, Earth Planet. Sci. Lett., 498, 418 [NASA ADS] [CrossRef] [Google Scholar]
- Paquette, C., Pelletier, C., Fontaine, G., & Michaud, G. 1986, ApJS, 61, 197 [NASA ADS] [CrossRef] [Google Scholar]
- Poulet, F., Bibring, J.-P., Mustard, J., et al. 2005, Nature, 438, 623 [NASA ADS] [CrossRef] [Google Scholar]
- Quirrenbach, A., Amado, P. J., Seifert, W., et al. 2012, Proc. SPIE, 8446, 84460R [CrossRef] [Google Scholar]
- Ribas, I., Tuomi, M., Reiners, A., et al. 2018, Nature, 563, 365 [NASA ADS] [CrossRef] [Google Scholar]
- Rice, K., Malavolta, L., Mayo, A., et al. 2019, MNRAS, 484, 3731 [NASA ADS] [CrossRef] [Google Scholar]
- Robie, R. A., & Hemingway, B. S. 1995, US Geol. Survey Bull., 2131, 461 [Google Scholar]
- Rudnick, R. L., & Gao, S. 2003, Treatise Geochem., 3, 659 [Google Scholar]
- Salz, M., Czesla, S., Schneider, P. C., et al. 2018, A&A, 620, A97 [NASA ADS] [CrossRef] [EDP Sciences] [Google Scholar]
- Schaefer, L., Lodders, K., & Fegley, B. 2012, ApJ, 755, 41 [NASA ADS] [CrossRef] [Google Scholar]
- Sharp, C. M., & Huebner, W. F. 1990, ApJS, 72, 417 [NASA ADS] [CrossRef] [Google Scholar]
- Snellen, I. A. G., de Kok, R. J., de Mooij, E. J. W., & Albrecht, S. 2010, Nature, 465, 1049 [NASA ADS] [CrossRef] [PubMed] [Google Scholar]
- Stock, J. 2008, PhD thesis, Technische Universität Berlin, Berlin, Germany [Google Scholar]
- Stüeken, E. E., Kipp, M. A., Koehler, M. C., et al. 2016, Astrobiology, 16, 949 [NASA ADS] [CrossRef] [Google Scholar]
- Taylor, S. R., & McLennan, S. M. 1995, Rev. Geophys., 33, 241 [NASA ADS] [CrossRef] [PubMed] [Google Scholar]
- Thi, W. F., Hocuk, S., Kamp, I., et al. 2020, A&A 635, A16 [NASA ADS] [CrossRef] [EDP Sciences] [Google Scholar]
- Turbet, M., Leconte, J., Selsis, F., et al. 2016, A&A, 596, A112 [NASA ADS] [CrossRef] [EDP Sciences] [Google Scholar]
- Velde, B. 1995, Origin and Mineralogy of Clays: Clays and the Environment (Berlin Heidelberg: Springer) [CrossRef] [Google Scholar]
- Wang, Y., Pavlis, G. L., & Li, M. 2019a, Earth Planet. Sci. Lett., 505, 42 [NASA ADS] [CrossRef] [Google Scholar]
- Wang, Z.-C., Wu, Y.-Z., Zhang, X.-M., & Lu, Y. 2019b, Res. Astron. Astrophys., 19, 052 [NASA ADS] [CrossRef] [Google Scholar]
- Wedepohl, K. H. 1995, Geochim. Cosmochim. Acta, 59, 1217 [Google Scholar]
- Weiss, L. M., & Marcy, G. W. 2014, ApJ, 783, L6 [NASA ADS] [CrossRef] [Google Scholar]
- Westall, F., & Brack, A. 2018, Space Sci. Rev., 214, 50 [NASA ADS] [CrossRef] [Google Scholar]
- Wilson, D. J., Gänsicke, B. T., Farihi, J., & Koester, D. 2016, MNRAS, 459, 3282 [NASA ADS] [CrossRef] [Google Scholar]
- Wilson, T. G., Farihi, J., Gänsicke, B. T., & Swan, A. 2019, MNRAS, 487, 133 [NASA ADS] [CrossRef] [Google Scholar]
- Woitke, P., Helling, C., Hunter, G. H., et al. 2018, A&A, 614, A1 [NASA ADS] [CrossRef] [EDP Sciences] [Google Scholar]
- Wolszczan, A., & Frail, D. A. 1992, Nature, 355, 145 [NASA ADS] [CrossRef] [Google Scholar]
- Yoshizaki, T., Ash, R. D., Yokoyama, T., Lipella, M. D., & McDonough, W. F. 2018, Chemically defining the building blocks of the Earth [arXiv:1812.11717] [Google Scholar]
- Zimmer, K., Zhang, Y., Lu, P., et al. 2016, Computers and Geosciences, 90, 97 [NASA ADS] [CrossRef] [Google Scholar]
- Zuckerman, B., Koester, D., Melis, C., Hansen, B. M., & Jura, M. 2007, ApJ, 671, 872 [NASA ADS] [CrossRef] [Google Scholar]
All Tables
Temperatures where different condensed species appear (Thigh) and disappear (Tlow) in phase equilibrium for BSE abundances.
All Figures
![]() |
Fig. 1 Principle modelling procedure of ggchem: elements are selected and included with given total abundances
|
| In the text | |
![]() |
Fig. 2 Comparison of molecular partial pressures computed by GGCHEM (solid lines) to the results by Sharp & Huebner (1990, dotted lines). Calculations are based on the solar element abundances listed in Sharp & Huebner (1990) for a constant pressure of p = 0.5 mbar. The shown elements are chosen to match Fig. 1 in Sharp & Huebner (1990). Upper panel: GGCHEM only uses the molecules and condensates selected by Sharp & Huebner (1990) and applies their thermo-chemical data. Lower panel: GGCHEM uses all molecules and condensates found in its own database and uses its own thermo-chemical data. The agreement is very good. The only visible difference is in FeS, which is slightly depleted in the lower panel. |
| In the text | |
![]() |
Fig. 3 Comparing the molecular concentrations (nmol∕ntot) over Continental Crust (CC) at P = 100 bar predicted by GGCHEM with the results obtained by Schaefer et al. (2012). Top panel: results by Schaefer et al. (2012) scanned from their Fig. 1. Middle panel: results from GGCHEM disregarding phyllosilicates. Bottom panel: results from GGCHEM for the full dataset. All species with log nmol∕ntot > 1.5 are shown. The thin, vertical dotted lines indicate the upper and lower limits of the models. For the GGCHEM models this means that all elements are condensed below the corresponding temperature. |
| In the text | |
![]() |
Fig. 4 Similar to Fig. 3, but for bulk silicate Earth (BSE) total element abundances. |
| In the text | |
![]() |
Fig. 5 Element abundances relative to silicon (nuclei particle ratios) for different materials and astronomical sources. |
| In the text | |
![]() |
Fig. 6 Molecular concentrations nmol∕ntot for Mid Oceanic Ridge Basalt (MORB) element abundances as function of temperature for a constant pressure of p = 100 bar. Phyllosilicates are included in this model. All species with maximum log concentration > − 1.4 are shown. |
| In the text | |
![]() |
Fig. 7 Results for carbonaceous chondrite (CI) total element abundances at constant pressure p = 100 bar. Phyllosilicates are included in the model. Top panel: gas phase concentrations (nmol ∕ntot) between 100 and 5000 K. All species with maximum log concentration >−1.4 are shown. Bottom panel: gaseous and condensed species that contain hydrogen per H-nucleus (n∕n⟨H ⟩) between 100 and 1000 K, we note the different scaling. The linestyles correspond to the different categories of condensates: silicates (solid), liquids (dotted), phyllosilicates (short dashed), other H-bearing species (long dashed), and other condensates (dash dotted). |
| In the text | |
![]() |
Fig. 8 Results for Polluted White Dwarf (PWD) total element abundances at constant pressure p = 100 bar. Phyllosilicates are included as possible condensates. Top panel: gas phase concentrations (nmol ∕ntot) between 100 and 5000 K. All species with maximum lognmol∕ntot > − 1.4 are shown. Bottom panel: gaseous and condensed species that contain hydrogen are plotted with their concentration per H-nucleus n∕n⟨H⟩ between 100and 1000 K (we note the different scalings). |
| In the text | |
![]() |
Fig. 9 Distribution of hydrogen among the different gas and condensed species. All models are run at 100 bar and for the following abundances: top left panel: BSE without phyllosilicates; top right panel: BSE; middle left panel: BSE + 1.339 wt% H; middle right panel: BSE + 15 wt% H; bottom left panel: BSE + 12 wt% H2O; bottom right panel: BSE + 15 wt% H2O. The threshold concentration for species to be shown is set to 10−3 for all abundances except for BSE + 10% H (10−3.5). |
| In the text | |
![]() |
Fig. 10 Results for BSE total abundances at different pressures. Upper panel: dominant gas species with respect to the highest concentration in the p−T plane. Middle panel: gas concentrations (nmol∕ntot) at p = 1 bar. Lower panel:gas concentrations (nmol∕ntot) at p = 0.001 bar. The transitions in composition are caused by phase changes as listed in Table A.3. Further pressure levels are shown in Fig. A.1. |
| In the text | |
![]() |
Fig. 11 Timescale estimates for the BSE total element abundances. The condensation timescale is shown for different pressures and length scales of 1 μm and 1 m. The timescales for annealing and chemisorption are shown for scales of 1 μm and 1 m each. The horizontal dotted lines illustrate times of 1 s, 1 Myr and 1 Gyr, respectively. |
| In the text | |
![]() |
Fig. A.1 Two further pressure profiles for the pressure levels of 10 bar and 0.1 bar are shown as described in Fig. 10. |
| In the text | |
![]() |
Fig. A.2 Results for BSE total element abundances at constant pressure p = 100 bar. Phyllosilicates are included as possible condensates. Left panel: gas phase concentrations (nmol ∕ntot) between 100 K and 5000 K. All species with maximum lognmol∕ntot > − 1.4 are shown. Right panel: gaseous and condensed species that contain hydrogen are plotted with their concentration per H-nucleus n∕n⟨H⟩ between 100and 1000 K (we note the different scalings). |
| In the text | |
Current usage metrics show cumulative count of Article Views (full-text article views including HTML views, PDF and ePub downloads, according to the available data) and Abstracts Views on Vision4Press platform.
Data correspond to usage on the plateform after 2015. The current usage metrics is available 48-96 hours after online publication and is updated daily on week days.
Initial download of the metrics may take a while.














