Fig. 3.

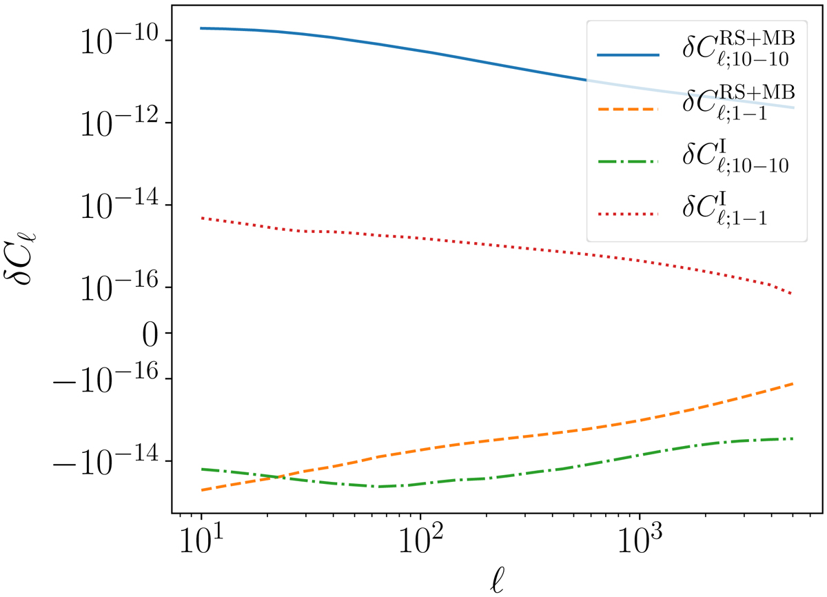
Two components of the IA-enhanced lensing bias correction, Eqs. (14) and (30), for the cross-spectra of our first (0.001 ≤ z ≤ 0.418), and tenth bins (1.576 ≤ z ≤ 2.50). For the first bin, the basic correction is already sub-dominant, and the additional IA-enhanced terms cancels it out. In the higher redshift bin, the second term is sub-dominant. This trend persists across all bins.
Current usage metrics show cumulative count of Article Views (full-text article views including HTML views, PDF and ePub downloads, according to the available data) and Abstracts Views on Vision4Press platform.
Data correspond to usage on the plateform after 2015. The current usage metrics is available 48-96 hours after online publication and is updated daily on week days.
Initial download of the metrics may take a while.