Free Access
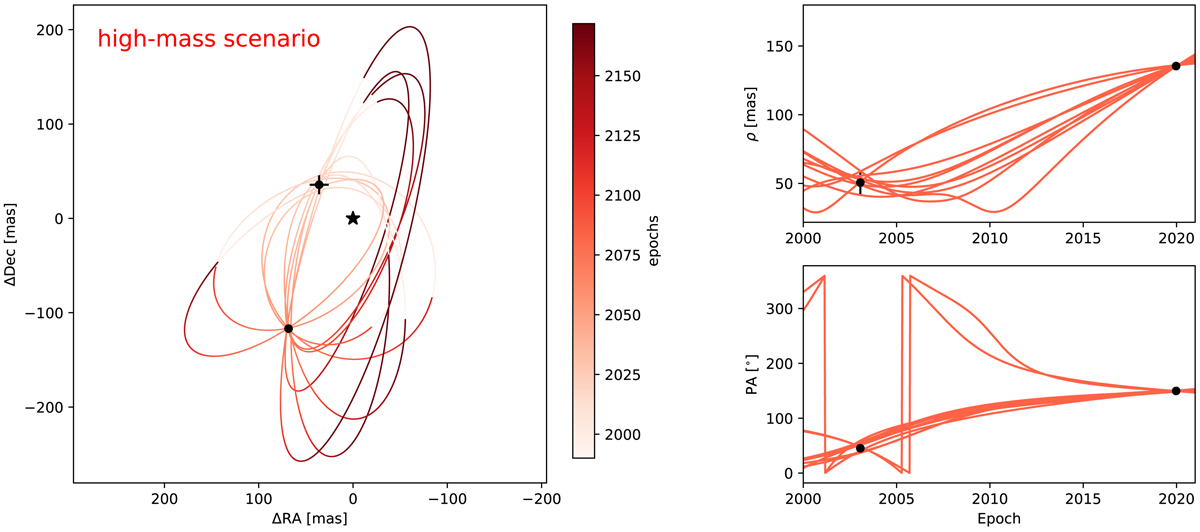
Fig. B.2.

Ten random orbits for the high-mass scenario 2, i.e. a system mass of 0.42 M⊙. On the left, we show the orbit in RA-Dec space and on the right, we show relative separation and position angle of the secondary relative to the primary versus time.
Current usage metrics show cumulative count of Article Views (full-text article views including HTML views, PDF and ePub downloads, according to the available data) and Abstracts Views on Vision4Press platform.
Data correspond to usage on the plateform after 2015. The current usage metrics is available 48-96 hours after online publication and is updated daily on week days.
Initial download of the metrics may take a while.