Fig. 1

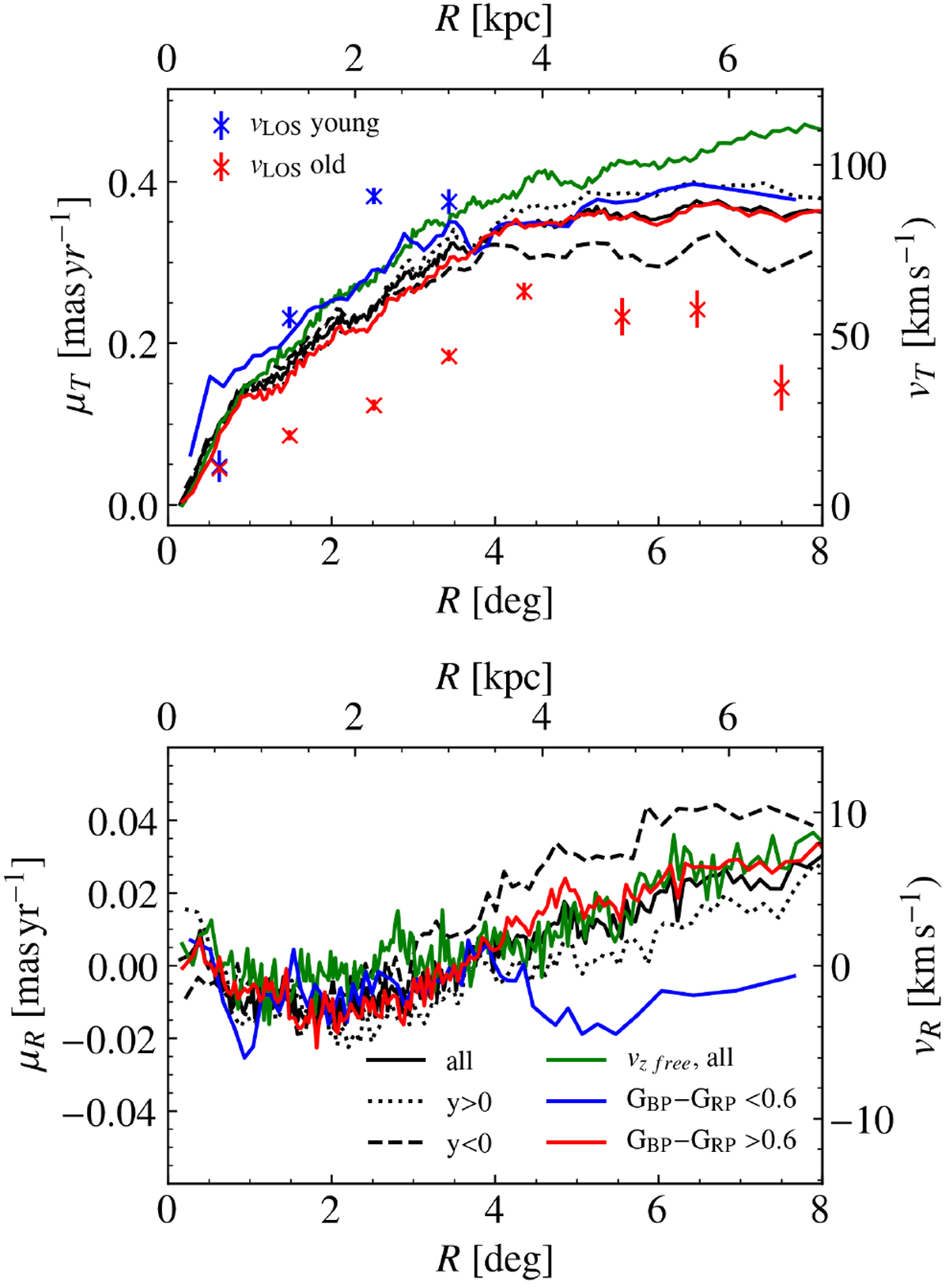
Rotation curve (top) and median vR (bottom)of the LMC, as a correction to Fig. 18 in Gaia Collaboration (2018). The assumed values for the centre-of-mass velocity and orientation of the disc (i and Ω) are taken from a fit to all stars within an angular radius ρ < 3° of the LMC’s centre. Angular distances and velocities given on the lower and left axes have been converted to real-space values on the upper and right axes assuming a distance to the LMC of 50.1 kpc (Freedman et al. 2001). The points shown in the upper panel were derived from observed line-of-sight velocities of old and young stars by van der Marel & Kallivayalil (2014, their Table 4).
Current usage metrics show cumulative count of Article Views (full-text article views including HTML views, PDF and ePub downloads, according to the available data) and Abstracts Views on Vision4Press platform.
Data correspond to usage on the plateform after 2015. The current usage metrics is available 48-96 hours after online publication and is updated daily on week days.
Initial download of the metrics may take a while.