| Issue |
A&A
Volume 642, October 2020
Gaia Data Release 2
|
|
|---|---|---|
| Article Number | C1 | |
| Number of page(s) | 5 | |
| Section | Galactic structure, stellar clusters and populations | |
| DOI | https://doi.org/10.1051/0004-6361/202039217 | |
| Published online | 20 October 2020 | |
Gaia Data Release 2
The kinematics of globular clusters and dwarf galaxies around the Milky Way (Corrigendum)
1
Kapteyn Astronomical Institute, University of Groningen,
Landleven 12,
9747 AD
Groningen,
The Netherlands
2
Institute of Astronomy, University of Cambridge,
Madingley Road,
Cambridge
CB3 0HA,
UK
3
Lund Observatory, Department of Astronomy and Theoretical Physics, Lund University,
Box 43,
22100
Lund,
Sweden
4
Science Support Office, Directorate of Science, European Space Research and Technology Centre (ESA/ESTEC),
Keplerlaan 1,
2201AZ,
Noordwijk,
The Netherlands
5
Institut de Ciències del Cosmos, Universitat de Barcelona (IEEC-UB),
Martí i Franquès 1,
08028
Barcelona,
Spain
6
Institut UTINAM UMR6213, CNRS, OSU THETA Franche-Comté Bourgogne, Université Bourgogne Franche-Comté,
25000
Besançon,
France
7
Astronomisches Rechen-Institut, Zentrum für Astronomie der Universität Heidelberg,
Mönchhofstr. 12-14,
69120
Heidelberg,
Germany
8
GEPI, Observatoire de Paris, Université PSL, CNRS,
5 Place Jules Janssen,
92190
Meudon,
France
9
Univ. Grenoble Alpes, CNRS, IPAG,
38000
Grenoble,
France
10
INAF – Osservatorio Astrofisico di Arcetri,
Largo Enrico Fermi 5,
50125
Firenze,
Italy
11
Space Science Data Center – ASI, Via del Politecnico SNC,
00133
Roma,
Italy
12
Leiden Observatory, Leiden University,
Niels Bohrweg 2,
2333 CA
Leiden,
The Netherlands
13
INAF – Osservatorio astronomico di Padova,
Vicolo Osservatorio 5,
35122
Padova,
Italy
14
Max Planck Institute for Astronomy,
Königstuhl 17,
69117
Heidelberg,
Germany
15
Department of Astronomy, University of Geneva,
Chemin des Maillettes 51,
1290
Versoix,
Switzerland
16
Mission Operations Division, Operations Department, Directorate of Science, European Space Research and Technology Centre (ESA/ESTEC),
Keplerlaan 1,
2201 AZ,
Noordwijk,
The Netherlands
17
Lohrmann Observatory, Technische Universität Dresden,
Mommsenstraße 13,
01062
Dresden,
Germany
18
European Space Astronomy Centre (ESA/ESAC), Camino bajo del Castillo, s/n, Urbanizacion Villafranca del Castillo, Villanueva de la Cañada,
28692
Madrid,
Spain
19
Université Côte d’Azur, Observatoire de la Côte d’Azur, CNRS, Laboratoire Lagrange, Bd de l’Observatoire, CS 34229,
06304
Nice Cedex 4,
France
20
CNES Centre Spatial de Toulouse,
18 avenue Edouard Belin,
31401
Toulouse Cedex 9,
France
21
Institut d’Astronomie et d’Astrophysique, Université Libre de Bruxelles CP 226, Boulevard du Triomphe,
1050
Brussels,
Belgium
22
F.R.S.-FNRS, Rue d’Egmont 5,
1000
Brussels,
Belgium
23
Telespazio Vega UK Ltd for ESA/ESAC, Camino bajo del Castillo, s/n, Urbanizacion Villafranca del Castillo, Villanueva de la Cañada,
28692
Madrid,
Spain
24
Laboratoire d’astrophysique de Bordeaux, Univ. Bordeaux, CNRS, B18N, allée Geoffroy Saint-Hilaire,
33615
Pessac,
France
25
Mullard Space Science Laboratory, University College London,
Holmbury St Mary,
Dorking,
Surrey
RH5 6NT,
UK
26
INAF – Osservatorio Astrofisico di Torino,
Via Osservatorio 20,
10025
Pino Torinese (TO),
Italy
27
INAF – Osservatorio di Astrofisica e Scienza dello Spazio di Bologna,
Via Piero Gobetti 93/3,
40129
Bologna,
Italy
28
Serco Gestión de Negocios for ESA/ESAC, Camino bajo del Castillo, s/n, Urbanizacion Villafranca del Castillo, Villanueva de la Cañada,
28692
Madrid,
Spain
29
ALTEC S.p.a, Corso Marche, 79,
10146
Torino,
Italy
30
Department of Astronomy, University of Geneva,
Chemin d’Ecogia 16,
1290
Versoix,
Switzerland
31
Gaia DPAC Project Office, ESAC, Camino bajo del Castillo, s/n, Urbanizacion Villafranca del Castillo, Villanueva de la Cañada,
28692
Madrid,
Spain
32
SYRTE, Observatoire de Paris, Université PSL, CNRS, Sorbonne Université, LNE,
61 avenue de l’Observatoire
75014
Paris,
France
33
National Observatory of Athens, I. Metaxa and Vas. Pavlou, Palaia Penteli,
15236
Athens,
Greece
34
IMCCE, Observatoire de Paris, Université PSL, CNRS, Sorbonne Université, Univ. Lille,
77 av. Denfert-Rochereau,
75014
Paris,
France
35
Royal Observatory of Belgium,
Ringlaan 3,
1180
Brussels,
Belgium
36
Institut d’Astrophysique Spatiale, Université Paris XI, UMR 8617, CNRS,
Bâtiment 121,
91405,
Orsay Cedex,
France
37
Institute for Astronomy, University of Edinburgh, Royal Observatory,
Blackford Hill,
Edinburgh
EH9 3HJ,
UK
38
Instituut voor Sterrenkunde, KU Leuven,
Celestijnenlaan 200D,
3001
Leuven,
Belgium
39
Institut d’Astrophysique et de Géophysique, Université de Liège, 19c, Allée du 6 Août,
4000
Liège,
Belgium
40
ATG Europe for ESA/ESAC, Camino bajo del Castillo, s/n, Urbanizacion Villafranca del Castillo, Villanueva de la Cañada,
28692
Madrid,
Spain
41
Área de Lenguajes y Sistemas Informáticos, Universidad Pablo de Olavide,
Ctra. de Utrera, km 1. 41013,
Sevilla,
Spain
42
ETSE Telecomunicación, Universidade de Vigo,
Campus Lagoas-Marcosende,
36310
Vigo,
Galicia,
Spain
43
Large Synoptic Survey Telescope,
950 N. Cherry Avenue,
Tucson,
AZ
85719,
USA
44
Observatoire Astronomique de Strasbourg, Université de Strasbourg, CNRS, UMR 7550,
11 rue de l’Université,
67000
Strasbourg,
France
45
Kavli Institute for Cosmology, University of Cambridge,
Madingley Road,
Cambride
CB3 0HA,
UK
46
Aurora Technology for ESA/ESAC, Camino bajo del Castillo, s/n, Urbanizacion Villafranca del Castillo, Villanueva de la Cañada,
28692
Madrid,
Spain
47
Laboratoire Univers et Particules de Montpellier, Université Montpellier, Place Eugène Bataillon, CC72,
34095
Montpellier Cedex 05,
France
48
Department of Physics and Astronomy, Division of Astronomy and Space Physics, Uppsala University,
Box 516,
75120
Uppsala,
Sweden
49
CENTRA, Universidade de Lisboa, FCUL, Campo Grande, Edif. C8,
1749-016
Lisboa,
Portugal
50
Università di Catania, Dipartimento di Fisica e Astronomia, Sezione Astrofisica,
Via S. Sofia 78,
95123
Catania,
Italy
51
INAF – Osservatorio Astrofisico di Catania,
Via S. Sofia 78,
95123
Catania,
Italy
52
University of Vienna, Department of Astrophysics,
Türkenschanzstraße 17,
A1180
Vienna,
Austria
53
CITIC – Department of Computer Science, University of A Coruña,
Campus de Elviña s/n,
15071-,
A Coruña,
Spain
54
CITIC – Astronomy and Astrophysics, University of A Coruña,
Campus de Elviña s/n,
15071-, A Coruña,
Spain
55
INAF – Osservatorio Astronomico di Roma,
Via di Frascati 33,
00078
Monte Porzio Catone (Roma),
Italy
56
University of Helsinki, Department of Physics,
PO Box 64,
00014
Helsinki,
Finland
57
Finnish Geospatial Research Institute FGI,
Geodeetinrinne 2,
02430
Masala,
Finland
58
Isdefe for ESA/ESAC, Camino bajo del Castillo, s/n, Urbanizacion Villafranca del Castillo, Villanueva de la Cañada,
28692
Madrid,
Spain
59
STFC, Rutherford Appleton Laboratory,
Harwell,
Didcot,
OX11 0QX,
UK
60
Departamento de Inteligencia Artificial, UNED, c/ Juan del Rosal 16,
28040
Madrid,
Spain
61
Elecnor Deimos Space for ESA/ESAC, Camino bajo del Castillo, s/n, Urbanizacion Villafranca del Castillo, Villanueva de la Cañada,
28692
Madrid,
Spain
62
Thales Services for CNES Centre Spatial de Toulouse,
18 avenue Edouard Belin,
31401
Toulouse Cedex 9,
France
63
Department of Astrophysics/IMAPP, Radboud University,
PO Box 9010,
6500
GL Nijmegen,
The Netherlands
64
European Southern Observatory,
Karl-Schwarzschild-Str. 2,
85748
Garching,
Germany
65
ON/MCTI-BR, Rua Gal. José Cristino 77,
Rio de Janeiro,
CEP 20921-400,
RJ,
Brazil
66
OV/UFRJ-BR, Ladeira Pedro Antônio 43,
Rio de Janeiro,
CEP 20080-090,
RJ,
Brazil
67
Department of Terrestrial Magnetism, Carnegie Institution for Science,
5241 Broad Branch Road,
NW,
Washington,
DC 20015-1305,
USA
68
Università di Torino, Dipartimento di Fisica,
Via Pietro Giuria 1,
10125
Torino,
Italy
69
Departamento de Astrofísica, Centro de Astrobiología (CSIC-INTA), ESA-ESAC. Camino Bajo del Castillo s/n. 28692 Villanueva de la Cañada,
Madrid,
Spain
70
Leicester Institute of Space and Earth Observation and Department of Physics and Astronomy, University of Leicester, University Road,
Leicester
LE1 7RH,
UK
71
Departamento de Estadística, Universidad de Cádiz, Calle República Árabe Saharawi s/n. 11510,
Puerto Real,
Cádiz,
Spain
72
Astronomical Institute Bern University,
Sidlerstrasse 5,
3012
Bern,
Switzerland (present address)
73
EURIX S.r.l.,
Corso Vittorio Emanuele II 61,
10128
Torino,
Italy
74
Harvard-Smithsonian Center for Astrophysics,
60 Garden Street,
Cambridge
MA
02138,
USA
75
HE Space Operations BV for ESA/ESAC, Camino bajo del Castillo, s/n, Urbanizacion Villafranca del Castillo, Villanueva de la Cañada,
28692
Madrid,
Spain
76
SISSA – Scuola Internazionale Superiore di Studi Avanzati,
Via Bonomea 265,
34136
Trieste,
Italy
77
University of Turin, Department of Computer Sciences,
Corso Svizzera 185,
10149
Torino,
Italy
78
SRON, Netherlands Institute for Space Research,
Sorbonnelaan 2,
3584CA,
Utrecht,
The Netherlands
79
Departamento de Matemática Aplicada y Ciencias de la Computación, Univ. de Cantabria, ETS Ingenieros de Caminos, Canales y Puertos, Avda. de los Castros s/n,
39005
Santander,
Spain
80
Unidad de Astronomía, Universidad de Antofagasta,
Avenida Angamos 601,
Antofagasta
1270300,
Chile
81
CRAAG – Centre de Recherche en Astronomie, Astrophysique et Géophysique, Route de l’Observatoire Bp 63 Bouzareah
16340
Algiers,
Algeria
82
University of Antwerp, Onderzoeksgroep Toegepaste Wiskunde,
Middelheimlaan 1,
2020
Antwerp,
Belgium
83
INAF – Osservatorio Astronomico d’Abruzzo, Via Mentore Maggini,
64100
Teramo,
Italy
84
INAF – Osservatorio Astronomico di Capodimonte,
Via Moiariello 16,
80131
Napoli,
Italy
85
Instituto de Astronomia, Geofìsica e Ciências Atmosféricas, Universidade de São Paulo, Rua do Matão, 1226, Cidade Universitaria,
05508-900
São Paulo,
SP,
Brazil
86
Department of Astrophysics, Astronomy and Mechanics, National and Kapodistrian University of Athens, Panepistimiopolis, Zografos,
15783
Athens,
Greece
87
Leibniz Institute for Astrophysics Potsdam (AIP),
An der Sternwarte 16,
14482
Potsdam,
Germany
88
RHEA for ESA/ESAC, Camino bajo del Castillo, s/n, Urbanizacion Villafranca del Castillo, Villanueva de la Cañada,
28692
Madrid,
Spain
89
ATOS for CNES Centre Spatial de Toulouse,
18 avenue Edouard Belin,
31401
Toulouse Cedex 9,
France
90
School of Physics and Astronomy, Tel Aviv University,
Tel Aviv
6997801,
Israel
91
UNINOVA – CTS, Campus FCT-UNL, Monte da Caparica,
2829-516
Caparica,
Portugal
92
School of Physics, O’Brien Centre for Science North, University College Dublin,
Belfield,
Dublin 4,
Ireland
93
Dipartimento di Fisica e Astronomia, Università di Bologna,
Via Piero Gobetti 93/2,
40129
Bologna,
Italy
94
Barcelona Supercomputing Center – Centro Nacional de Supercomputación,
c/ Jordi Girona 29, Ed. Nexus II,
08034
Barcelona,
Spain
95
Department of Computer Science, Electrical and Space Engineering, Luleå University of Technology,
Box 848,
981 28
Kiruna,
Sweden
96
Max Planck Institute for Extraterrestrial Physics, High Energy Group, Gießenbachstraße,
85741
Garching,
Germany
97
Astronomical Observatory Institute, Faculty of Physics, Adam Mickiewicz University,
Słoneczna 36,
60-286
Poznań,
Poland
98
Konkoly Observatory, Research Centre for Astronomy and Earth Sciences, Hungarian Academy of Sciences,
Konkoly Thege Miklós út 15-17,
1121
Budapest,
Hungary
99
Eötvös Loránd University,
Egyetem tér 1-3,
1053
Budapest,
Hungary
100
American Community Schools of Athens, 129 Aghias Paraskevis Ave. & Kazantzaki Street, Halandri,
15234
Athens,
Greece
101
Faculty of Mathematics and Physics, University of Ljubljana,
Jadranska ulica 19,
1000
Ljubljana,
Slovenia
102
Villanova University, Department of Astrophysics and Planetary Science,
800 E Lancaster Avenue,
Villanova
PA
19085,
USA
103
Physics Department, University of Antwerp,
Groenenborgerlaan 171,
2020
Antwerp,
Belgium
104
McWilliams Center for Cosmology, Department of Physics, Carnegie Mellon University,
5000 Forbes Avenue,
Pittsburgh,
PA
15213,
USA
105
Astronomical Institute, Academy of Sciences of the Czech Republic,
Fričova 298,
25165
Ondřejov,
Czech Republic
106
Telespazio for CNES Centre Spatial de Toulouse,
18 avenue Edouard Belin,
31401
Toulouse Cedex 9,
France
107
Institut de Physique de Rennes, Université de Rennes 1,
35042
Rennes,
France
108
Shanghai Astronomical Observatory, Chinese Academy of Sciences,
80 Nandan Rd,
200030
Shanghai,
PR China
109
School of Astronomy and Space Science, University of Chinese Academy of Sciences,
Beijing
100049,
PR China
110
Niels Bohr Institute, University of Copenhagen,
Juliane Maries Vej 30,
2100
Copenhagen Ø,
Denmark
111
DXC Technology,
Retortvej 8,
2500
Valby,
Denmark
112
Las Cumbres Observatory,
6740 Cortona Drive Suite 102,
Goleta,
CA
93117,
USA
113
Astrophysics Research Institute, Liverpool John Moores University,
146 Brownlow Hill,
Liverpool
L3 5RF,
UK
114
Baja Observatory of University of Szeged,
Szegedi út III/70,
6500
Baja,
Hungary
115
Laboratoire AIM, IRFU/Service d’Astrophysique – CEA/DSM – CNRS – Université Paris Diderot, Bât 709, CEA-Saclay,
91191
Gif-sur-Yvette Cedex,
France
116
Warsaw University Observatory,
Al. Ujazdowskie 4,
00-478
Warszawa,
Poland
117
Institute of Theoretical Physics, Faculty of Mathematics and Physics, Charles University in Prague,
Czech Republic
118
AKKA for CNES Centre Spatial de Toulouse,
18 avenue Edouard Belin,
31401
Toulouse Cedex 9,
France
119
Vitrociset Belgium for ESA/ESAC, Camino bajo del Castillo, s/n, Urbanizacion Villafranca del Castillo, Villanueva de la Cañada,
28692
Madrid,
Spain
120
HE Space Operations BV for ESA/ESTEC,
Keplerlaan 1,
2201AZ,
Noordwijk,
The Netherlands
121
Space Telescope Science Institute,
3700 San Martin Drive,
Baltimore,
MD
21218,
USA
122
QUASAR Science Resources for ESA/ESAC, Camino bajo del Castillo, s/n, Urbanizacion Villafranca del Castillo, Villanueva de la Cañada,
28692
Madrid,
Spain
123
Fork Research, Rua do Cruzado Osberno, Lt. 1, 9 esq.,
Lisboa,
Portugal
124
APAVE SUDEUROPE SAS for CNES Centre Spatial de Toulouse,
18 avenue Edouard Belin,
31401
Toulouse Cedex 9,
France
125
Nordic Optical Telescope, Rambla José Ana Fernández Pérez 7,
38711
Breña Baja,
Spain
126
Spanish Virtual Observatory,
Spain
127
Fundación Galileo Galilei – INAF, Rambla José Ana Fernández Pérez 7,
38712
Breña Baja,
Santa Cruz de Tenerife,
Spain
128
INSA for ESA/ESAC, Camino bajo del Castillo, s/n, Urbanizacion Villafranca del Castillo, Villanueva de la Cañada,
28692
Madrid,
Spain
129
Departamento Arquitectura de Computadores y Automática, Facultad de Informática, Universidad Complutense de Madrid, C/ Prof. José García Santesmases s/n,
28040
Madrid,
Spain
130
H H Wills Physics Laboratory, University of Bristol,
Tyndall Avenue,
Bristol
BS8 1TL,
UK
131
Institut d’Estudis Espacials de Catalunya (IEEC),
Gran Capita 2-4,
08034
Barcelona,
Spain
132
Applied Physics Department, Universidade de Vigo,
36310
Vigo,
Spain
133
Stellar Astrophysics Centre, Aarhus University, Department of Physics and Astronomy,
120 Ny Munkegade, Building 1520,
8000
Aarhus C,
Denmark
134
Argelander-Institut für Astronomie, Universität Bonn,
Auf dem Hügel 71,
53121
Bonn,
Germany
135
Research School of Astronomy and Astrophysics, Australian National University,
Canberra,
ACT 2611
Australia
136
Sorbonne Universités, UPMC Univ. Paris 6 et CNRS, UMR 7095, Institut d’Astrophysique de Paris, 98 bis bd. Arago,
75014
Paris,
France
137
Department of Geosciences, Tel Aviv University,
Tel Aviv
6997801,
Israel
★ Corresponding author: A. Helmi, e-mail: This email address is being protected from spambots. You need JavaScript enabled to view it.
Key words: Galaxy: kinematics and dynamics / astrometry / Magellanic Clouds / galaxies: dwarf / Local Group / errata, addenda
This is a corrigendum to Gaia Collaboration (2018). It corrects errors in Appendix B, which describes the modelling of the Large and Small Magellanic Clouds (LMC and SMC). One of these errors also affects Fig. 18 of the paper, which shows the rotation curve and median radial motion in the LMC. No other results in the paper are affected.
There should be no vector products in Appendix B, and everywhere a vector product appears should be a scalar product. This affects Eqs. (B.5), (B.8), (B.10), (B.12), (B.13), and (B.20).
Equation (B.10), which defines one component of position within the plane of the galaxy, contains an additional typographical error, and it should have read
(1)
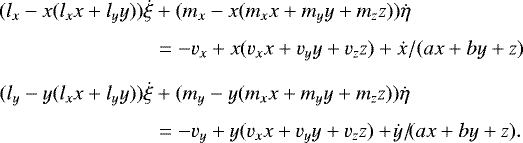
Equation (B.21) is incorrect. The factor of (ax + by + z) is applied to the wrong part of the equation. It should have read
![Mathematical equation: \begin{align*}(l_x-x(l_xx+l_yy))\dot{\xi} &+ (m_x-x(m_xx+m_yy+m_zz))\dot{\eta} \nonumber\\[4pt] &=-v_x+x(v_xx+v_yy+v_zz) + \dot{x}/(ax+by+z)\nonumber\\[6pt] (l_y-y(l_xx+l_yy))\dot{\xi} &+ (m_y-y(m_xx+m_yy+m_zz))\dot{\eta} \nonumber\\[4pt] &=-v_y+y(v_xx+v_yy+v_zz) + \!\dot{y}/\!(ax+by+z) . \end{align*}](/articles/aa/full_html/2020/10/aa39217-20/aa39217-20-eq2.png)
This error affects the derived deprojected motions of stars in the LMC, and means that changes in the observational signature of
the bulk motion away from the centre are not properly accounted for. The effect becomes more significant further from the centre.
Figure 1 shows the resulting median tangential velocity, vT (the rotation curve), and median radial velocity vR as a function of de-projected radius R for the LMC, which is otherwise produced in the same way as before. The major differences between this and the equivalent figure in Gaia Collaboration (2018) are as follows
-
The rotation curve reaches a greater velocity (~ 85 km s−1 versus ~ 75 km s−1) and remains flat beyond 6 kpc, as opposed to starting to fall.
-
The difference in asymmetric drift for the blue and red populations is clearer – the blue population, which is typically younger than the redder population, is rotating faster.
-
The apparent outward motion of the stellar populations is much smaller. The blue population has almost no net radial motion, while the red population has one of ≲8 km s−1 (as opposed to ~20 km s−1).
-
The difference in radial motion between the y < 0 and y > 0 populations is dramatically reduced, as is the difference between the value derived assuming the known line-of-sight bulk motion and the one derived leaving this value free.
![]() |
Fig. 1 Rotation curve (top) and median vR (bottom)of the LMC, as a correction to Fig. 18 in Gaia Collaboration (2018). The assumed values for the centre-of-mass velocity and orientation of the disc (i and Ω) are taken from a fit to all stars within an angular radius ρ < 3° of the LMC’s centre. Angular distances and velocities given on the lower and left axes have been converted to real-space values on the upper and right axes assuming a distance to the LMC of 50.1 kpc (Freedman et al. 2001). The points shown in the upper panel were derived from observed line-of-sight velocities of old and young stars by van der Marel & Kallivayalil (2014, their Table 4). |
Acknowledgements
We are grateful to Eero Vaher, who pointed out the error in Eq. (B.10) and the vector products. This work presents results from the European Space Agency (ESA) space mission Gaia. Gaia data are being processed by the Gaia Data Processing and Analysis Consortium (DPAC). Funding for the DPAC is provided by national institutions, in particular the institutions participating in the Gaia MultiLateral Agreement (MLA). The Gaia mission website is https://www.cosmos.esa.int/gaia. The Gaia archive website is https://archives.esac.esa.int/gaia.
References
- Freedman, W. L., Madore, B. F., Gibson, B. K., et al. 2001, ApJ, 553, 47 [Google Scholar]
- Gaia Collaboration (Helmi, A., et al.) 2018, A&A, 616, A12 [NASA ADS] [CrossRef] [EDP Sciences] [Google Scholar]
- van der Marel, R. P., & Kallivayalil, N. 2014, ApJ, 781, 121 [NASA ADS] [CrossRef] [Google Scholar]
© ESO 2020
All Figures
![]() |
Fig. 1 Rotation curve (top) and median vR (bottom)of the LMC, as a correction to Fig. 18 in Gaia Collaboration (2018). The assumed values for the centre-of-mass velocity and orientation of the disc (i and Ω) are taken from a fit to all stars within an angular radius ρ < 3° of the LMC’s centre. Angular distances and velocities given on the lower and left axes have been converted to real-space values on the upper and right axes assuming a distance to the LMC of 50.1 kpc (Freedman et al. 2001). The points shown in the upper panel were derived from observed line-of-sight velocities of old and young stars by van der Marel & Kallivayalil (2014, their Table 4). |
| In the text | |
Current usage metrics show cumulative count of Article Views (full-text article views including HTML views, PDF and ePub downloads, according to the available data) and Abstracts Views on Vision4Press platform.
Data correspond to usage on the plateform after 2015. The current usage metrics is available 48-96 hours after online publication and is updated daily on week days.
Initial download of the metrics may take a while.
