Fig. 4

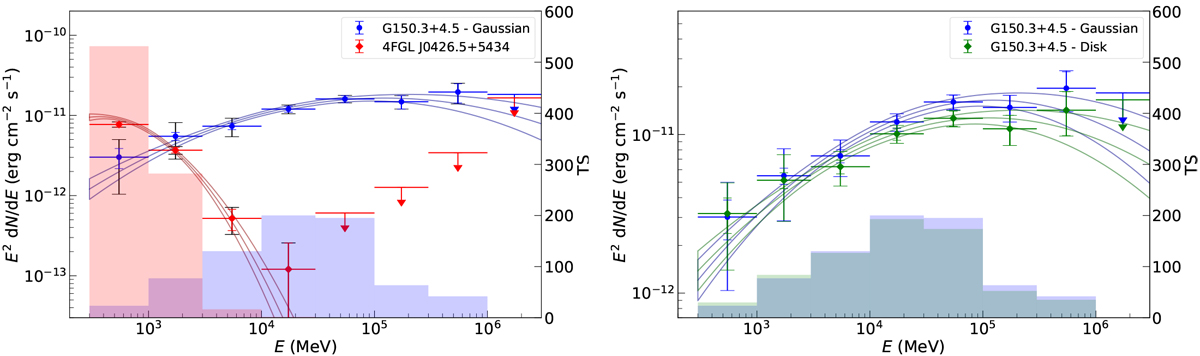
Left: SEDs of G150.3+4.5 (blue circles) and 4FGL J0426.5+5434 (red diamonds) with the associated statistical errors (colored bars) and the quadratic sum of the statistical and systematic errors (black bars). The shaded areas correspond to the TS value in each energy band, and the upper limits are calculated at the 95% confidence level. Right: comparisonsof the SEDs obtained using a Gaussian (blue circles) and a disk (green diamonds) model for G150.3+4.5. For visibility purpose, the colored bars represent the quadratic sum of the statistical and systematic errors.
Current usage metrics show cumulative count of Article Views (full-text article views including HTML views, PDF and ePub downloads, according to the available data) and Abstracts Views on Vision4Press platform.
Data correspond to usage on the plateform after 2015. The current usage metrics is available 48-96 hours after online publication and is updated daily on week days.
Initial download of the metrics may take a while.