| Issue |
A&A
Volume 643, November 2020
|
|
|---|---|---|
| Article Number | A28 | |
| Number of page(s) | 10 | |
| Section | Interstellar and circumstellar matter | |
| DOI | https://doi.org/10.1051/0004-6361/202038503 | |
| Published online | 28 October 2020 | |
High-energy gamma-ray study of the dynamically young SNR G150.3+4.5
1
Univ. Bordeaux, CNRS, CENBG, UMR 5797,
33170
Gradignan, France
e-mail: This email address is being protected from spambots. You need JavaScript enabled to view it.
; This email address is being protected from spambots. You need JavaScript enabled to view it.
2
Harvard-Smithsonian Center for Astrophysics,
60 Garden Street,
Cambridge,
MA
02138, USA
3
Laboratoire AIM, CEA-IRFU/CNRS/Université Paris Diderot, Département d’Astrophysique, CEA Saclay,
91191
Gif-sur-Yvette, France
4
Department of Physics, University of North Florida,
1 UNF Drive,
Jacksonville,
FL
32224, USA
Received:
26
May
2020
Accepted:
11
September
2020
Abstract
Aims. The supernova remnant (SNR) G150.3+4.5 was recently discovered in the radio band; it exhibits a shell-like morphology with an angular size of ~ 3°, suggesting either an old or a nearby SNR. Extended γ-ray emission spatially coincident with the SNR was reported in the Fermi Galactic Extended Source Catalog, with a power-law spectral index of Γ = 1.91 ± 0.09. Studying particle acceleration in SNRs through their γ-ray emission is of primary concern to assess the nature of accelerated particles and the maximum energy they can reach.
Methods. Using more than ten years of Fermi-LAT data, we investigate the morphological and spectral properties of the SNR G150.3+4.5 from 300 MeV to 3 TeV. We use the latest releases of the Fermi-LAT catalog, the instrument response functions and the Galactic and isotropic diffuse emissions. We use ROSAT all-sky survey data to assess any thermal and nonthermal X-ray emission, and we derive minimum and maximum distance to G150.3+4.5.
Results. We describe the γ-ray emission of G150.3+4.5 by an extended component which is found to be spatially coincident with the radio SNR. The spectrum is hard and the detection of photons up to hundreds of GeV points towards an emission from a dynamically young SNR. The lack of X-ray emission gives a tight constraint on the ambient density n0 ≤ 3.6 × 10−3 cm−3. Since G150.3+4.5 is not reported as a historical SNR, we impose a lower limit on its age of t = 1 kyr. We estimate its distance to be between 0.7 and 4.5 kpc. We find that G150.3+4.5 is spectrally similar to other dynamically young and shell-type SNRs, such as RX J1713.7−3946 or Vela Junior. The broadband nonthermal emission is explained with a leptonic scenario, implying a downstream magnetic field of B = 5 μG and acceleration of particles up to few TeV energies.
Key words: cosmic rays / ISM: supernova remnants / gamma rays: ISM
© J. Devin et al. 2020
Open Access article, published by EDP Sciences, under the terms of the Creative Commons Attribution License (https://creativecommons.org/licenses/by/4.0), which permits unrestricted use, distribution, and reproduction in any medium, provided the original work is properly cited.
1 Introduction
Supernova remnants (SNRs) have long been thought to be the most likely accelerators of cosmic rays (CRs) up to the knee (~3 × 1015 eV) of the CR spectrum, with diffusive shock acceleration (DSA, Bell 1978) being the primary mechanism accelerating the charged particles to γ-ray emitting energies. The Large Area Telescope (LAT) on board the Fermi satellite has already demonstrated that CR protons can indeed be accelerated at SNR shocks, through detection of the characteristic “pion bump” feature due to accelerated protons colliding with ambient matter. However, evidence of CR protons is often found in some evolved SNRs interacting with molecular clouds (MCs), like IC 443 or W44 (Ackermann et al. 2013), and the maximum particle energy only reaches hundreds of GeV. Cassiopeia A, one of the youngest Galactic SNR (t ~ 350 yr) exhibits a γ-ray spectrum with a low-energy break (Yuan et al. 2013), characteristic of emission from CR protons, and a photon cutoff energy at a few TeV (Ahnen et al. 2017; Abeysekara et al. 2020). Thus, the question of whether SNRs can accelerate particles up to PeV energies is still open. Moreover, the spectrum of the TeV shell-like and young SNRs can often be accurately described by a leptonic scenario due to inverse Compton (IC) scattering of accelerated electrons on ambient photon fields (Acero et al. 2015).
G150.3+4.5 was first considered an SNR candidate, due to the radio detection of the brightest part of the shell, before being firmly identified as a radio SNR. Faint radio emission from the southeastern part of the shell of G150.3+4.5 (called G150.8+3.8) was reported in Gerbrandt et al. (2014) using the Canadian Galactic Plane Survey (CGPS) and considered a strong SNR candidate due to its semi-circular shell-like appearance and its nonthermal spectrum (α = −0.62 ± 0.07 where Sν ∝να). Using a larger extraction region (128.2′ × 37.6′), they deriveda radio spectral index of α = −0.38 ± 0.10, centered on l = 150.78° and b = 3.75°. Gerbrandt et al. (2014) also detected faint red optical filaments spatially coincident with the southeastern shell. Gao & Han (2014) performed simultaneous observations of the region using Urumqi 6 cm survey data (as well as Effelsberg 11 and 21 cm data and CGPS 1420 and 408 MHz observations), taking advantage of the survey’s extended Galactic latitude range, up to b = 20°. They reported the discovery of a 2.5° wide by 3° high (l = 150.3°, b = + 4.5°, as illustrated in Fig. 1), synchrotron emitting, shell-like object (named G150.3+4.5), bolstering an SNR origin for the radio emission. The radio spectral indices of the two brightest parts of the shell (southeastern and western sides, red boxes in Fig. 1) are α = −0.40 ± 0.17 and α = −0.69 ± 0.24 compatible with the results obtained in Gerbrandt et al. (2014).
In the Second Catalog of Hard Fermi-LAT Sources (2FHL, Ackermann et al. 2016), an extended source located nearthe radio SNR was reported (2FHL J0431.2+5553e) and modeled as a uniform disk with a radius r = 1.27° ± 0.04°, exhibiting a hard power-law spectral index (Γ = 1.7 ± 0.2) from 50 GeV to 2 TeV. The Fermi Galactic Extended Source catalog (FGES, Ackermann et al. 2017) reported a uniform disk (r = 1.52° ± 0.03°), spatially coincident with the radio shape, but with a softer power-law spectrum (Γ = 1.91 ± 0.09 from 10 GeV to 2 TeV) than previously derived. This FGES source is contained in the latest Fermi-LAT catalog (4FGL, The Fermi-LAT Collaboration 2019), called 4FGL J0427.2+5533e, and its emission is described by a logarithmic parabola (LP) spectrum.
In this paper we present a detailed study of the γ-ray emission in the direction of G150.3+4.5 from 300 MeV to 3 TeV. In Sect. 2 we investigate the morphology of the γ-ray emission towards G150.3+4.5 from 1 GeV to 3 TeV and we explore its spectral properties from 300 MeV to 3 TeV. In Sect. 3 we use ROSAT observations to assess any thermal and nonthermal X-ray emission from the SNR, and we derive two bounding distance estimates for G150.3+4.5. Finally, in Sect. 4 we discuss potential γ-ray emission scenarios and model the broadband nonthermal emission from G150.3+4.5 to understand the nature of the accelerated particles.
![]() |
Fig. 1 Urumqi 6 cm observations of the SNR G150.3+4.5. The red boxes correspond to the brightest parts of the shell, which is represented by the red dashed circle. The figure is from Gao & Han (2014). |
2 Fermi-LAT analysis
2.1 Data reduction and preparation
The Fermi-LAT is a pair-conversion instrument that detects γ-ray photons in an energy range from 20 MeV to higher than hundreds of GeV (a detailed description of the instrument can be found in Atwood et al. 2009). We used ~10.5 yr of Fermi-LAT data (from August 4, 2008, to January 31, 2019) and we performed a binned likelihood analysis within a region of interest (ROI) of 23° × 23° centered on the SNR G150.3+4.5. A maximumzenith angle of 100° was applied to reduce the contamination of the Earth limb, and the time intervals during which the satellite passed through the South Atlantic Anomaly were excluded. Since the point spread function (PSF) of the Fermi-LAT is energy dependent and broad at low energy, we started the morphological analysis at 1 GeV while the spectral analysis was made from 300 MeV to 3 TeV. The Summedlikelihood method was used to simultaneously fit events with different angular reconstruction quality (PSF event types). We used version 1.0.10 of the Fermitools and, from 1 GeV to 3 TeV, we used the Fermipy package (version 0.17.4, Wood et al. 2017) that allows for simultaneous morphological and spectral fits, setting a pixel size to 0.1° and eight energy bins per decade. The spectral analysis was made from 300 MeV to 3 TeV with ten energy bins per decade and a pixel size of 0.1°. For the entire analysis, we used the SOURCE event class and a preliminary inflight corrected version of the P8R3_V2 instrument response functions (IRFs) that corrects for a ~10% discrepancy of the PSF event type effective areas. For consistency with the 4FGL analysis, the energy dispersion was taken into account except for the isotropic diffuse emission.
To model the γ-ray data aroundG150.3+4.5, we started with the 4FGL catalog keeping in the model the sources located within a 20° radius from the ROI center. We used the gll_iem_v07.fits model to describe the Galactic diffuse emission and the isotropic templates derived using the preliminary inflight corrected version of the P8R3_V2 IRFs and extrapolated up to 3 TeV1. The spectral parameters of the sources in the model were first fit simultaneously with the Galactic and isotropic diffuse emissions from 1 GeV to 3 TeV. To search for additional sources in the ROI, we computed a residual test statistic (TS) map that tests in each pixel the significance of a source with a generic E−2 spectrum against the null hypothesis:
(1)
Here
and
are the likelihood obtained with the model including and excluding the source, respectively. The TS follows a χ2 distribution with n degrees of freedom corresponding to the additional free parameters between the models 1 and 0. We iteratively added three point sources in the model where the TS exceeded 25. We localized the position of these additional sources (RA−Dec = 52.08°−53.51°, 76.62°−45.76° and 79.43°−50.49°) and we fit their spectral parameters simultaneously with the Galactic and isotropic diffuse emissions. The residual TS map obtained with all the sources considered in the model shows no significant residual emission, indicating that the ROI is adequately modeled.
2.2 Morphological analysis
In the 4FGL catalog, a point source (4FGL J0426.5+5434) is located in the southern part of the SNR with a significance of ~ 25σ between 100 MeV and 1 TeV and a LP spectrum. We performed the morphological analysis from 1 GeV to 3 TeV, with the free parameters in the model being the normalization of the sources located closer than 5° from the ROI center, of the Galactic and isotropic diffuse emissions and the spectral parameters of G150.3+4.5 and 4FGL J0426.5+5434.
Using the morphological parameters of G150.3+4.5 reported in the 4FGL catalog, we first localized the position of 4FGL J0426.5+5434 and we obtained RAJ2000 = 66.61° ± 0.02° and DecJ2000 = 54.58° ± 0.02° which is similar to the values reported in the 4FGL catalog (RAJ2000 = 66.63° and DecJ2000 = 54.57°). We tested its extension by localizing a 2D symmetric Gaussian. The significance of the extension is calculated through TSext = 2 × (log
− log
) where
and
are the likelihood obtained with the extended and point-source model, respectively. Since the extended model adds only one parameter to the point-source model (the sigma extent), the significance of the extension is
. A source is usually considered significantly extended if TSext ≥ 16 (corresponding to 4σ). For 4FGL J0426.5+5434, we found TSext = 7.7 indicating that the emission is not significantly extended.
We then tested two spatial models to describe the emission of G150.3+4.5: a uniform disk and a 2D symmetric Gaussian. The best-fit position of 4FGL J0426.5+5434 was initially derived with a disk model for G150.3+4.5, following the procedure in the 4FGL catalog. In order to account for possible spatial variations of this point source when using a different spatial model for G150.3+4.5,we fit iteratively (two times) the morphological parameters of G150.3+4.5 (using either the disk or the Gaussian model) and those of 4FGL J0426.5+5434. The best-fit position of 4FGL J0426.5+5434 using the Gaussian model was similar to the one using the disk (with a likelihood variation of 0.2). So we fixed the position of 4FGL J0426.5+5434 to RAJ2000 = 66.61° and DecJ2000 = 54.58° for both spatial models of G150.3+4.5.
Table 1 reports the best-fit positions and extensions obtained for the 2D symmetric Gaussian and disk models, with the associated TS and TSext values. The Akaike criterion (Akaike 1974) indicates a preference for the 2D symmetric Gaussian model compared to the uniform disk model (ΔTSDisk→Gaussian = 29.2). A possible source of systematic uncertainties is related to the specific Galactic diffuse model used in the analysis. Thus, we repeated the analysis using the former diffuse emission models (gll_iem_v06.fits and the associated isotropic component file iso_P8R3_SOURCE_V2.txt). We refit all the sources in the ROI to account for possible spectral differences induced by the different background model before doing the morphological analysis. We still found that the γ-ray emission is best described by a 2D symmetric Gaussian.
We also replaced the extended component by the Urumqi 6 cm map of the SNR (Fig. 1, Gao & Han 2014) and we obtained ΔTSRadio→Gaussian = 262.5 (see Table 1). The residual TS map after fitting the radio template shows significant emission in the inner part of the shell. We therefore tested a two-component model, involving the radio map of the SNR and a 2D symmetric Gaussian, whose best-fit spatial parameters were found to be similar to those listed in Table 1. We found ΔTSGaussian→Gaussian+Radio = 1.4 for three additional parameters, indicating that the radio template does not fit the gamma-ray morphology.
Figure 2 depicts the residual count map and TS map without G150.3+4.5 included in the model with the best-fit spatial models and the radio contours overlaid. The radio emission is spatially coincident with the γ-ray emission, although the brightest parts of the radio and γ-ray emission do not arise from the same region. Residual count maps in different energy bands without G150.3+4.5 and 4FGL J0426.5+5434 included in the model (not shown here) indicate that 4FGL J0426.5+5434 is brighter than G150.3+4.5 below 3 GeV, while the emission from the SNR is dominant at higher energies (E > 3 GeV).
We also investigated a possible energy-dependent morphology by fitting a Gaussian and a disk model between 1–10 GeV and 10–100 GeV. The comparison between the two spatial models gives ΔTSDisk→Gaussian = –13.7 (1−10 GeV) and ΔTSDisk→Gaussian = 19.5 (10−100 GeV). Figure 3 shows the residual TS maps without G150.3+4.5 in the model between 1−10 GeV and 10−100 GeV, with the best-fit spatial models overlaid. The low-energy γ-ray emission (E < 10 GeV) is dominated by the southwestern part of the SNR, while the centroid of the best-fit spatial models displaces towards the center of the SNR at higher energies (E > 10 GeV). We note that the best-fit models from 10 to 100 GeV are very similar to those found between 1 GeV and 3 TeV (Fig. 2). The displacement of the centroid of the best-fit models at low energy may be due to a possible contamination from 4FGL J0426.5+5434. Using the Gaussian model, the centroid moves from RA = 65.98° ± 0.09° and Dec = 55.19° ± 0.08° (1−10 GeV) to RA = 66.59° ± 0.08° and Dec = 55.45° ± 0.08° (10−100 GeV). The γ-ray morphology does not shrink at higher energies with the Gaussian extents between 1−10 GeV (
) and 10−100 GeV (
) being compatible within statistical errors.
Best-fit positions and extensions (1 GeV–3 TeV) of G150.3+4.5 (r68 being the 68% containment radius) with the associated statistical errors, using a 2D symmetric Gaussian and a uniform disk model.
![]() |
Fig. 2 Residual count map (left, smoothed with a Gaussian kernel of 0.2°) and residual TS map (right) obtained from 1 GeV to 3 TeV without G150.3+4.5 included in the model. The best-fit Gaussian and disk are represented in green and blue, respectively. The crosses are the centroid uncertainties (1σ), while the solid and dashed circles correspond to the r68 with its associated statistical errors (1σ). The 4FGL sources are shown in white and the Urumqi 6 cm radio contours (at 6, 11, and 16 mK TB) are overlaid in yellow. |
![]() |
Fig. 3 Residual TS maps without G150.3+4.5 in the model from 1 to 10 GeV (left panel) and 10 to 100 GeV (right panel). The best-fit Gaussian and disk are represented in green and blue, respectively, the crosses being the centroid uncertainties (1σ) and the solidand dashed circles corresponding to the r68 with its associated statistical errors (1σ). The white symbols and yellow contours are the same as in Fig. 2. The red circle and line show the northeastern and southwestern hemispheres of the best-fit disk found between 1 GeV and 3 TeV (see Sect. 2.3). |
2.3 Spectral analysis
Using the best-fit spatial model found in Sect. 2.2 (the Gaussian shape for G150.3+4.5), we performed the spectral analysis from 300 MeV to 3 TeV. For comparison, we also performed the same analysis with the disk model. We first fit the spectral parameters of the sources located up to 7° from the ROI center and the normalization of all sources in the model, simultaneously with the Galactic and isotropic diffuse emissions. We verified that no additional sources were needed in the model by examining the residual count and TS maps. When testing different spectral shapes for G150.3+4.5 and 4FGL J0426.5+5434, the spectral parameters of sources located up to 5° from the ROI center were left free during the fit, like those of the Galactic and isotropic diffuse emissions. In the 4FGL catalog, the emission from G150.3+4.5 and 4FGL J0426.5+5434 is described by a LP spectrum of the form
(2)
Given our best-fit LP spectral parameters for 4FGL J0426.5+5434, reminiscent of a pulsar, we first replaced its LP spectrum by a power law with an exponential cutoff that did not significantly improve the fit. Keeping the LP to describe the emission of 4FGL J0426.5+5434, we then tried a power-law spectrum for G150.3+4.5 compared to the LP spectrum. We obtained a significant curvature of the spectrum with ΔTSPL→LP = 23.3 (~4.8σ). We also tested a broken power-law spectrum that did not significantly improve the fit compared to the LP spectrum. The spectra of G150.3+4.5 and 4FGL J0426.5+5434 are thus best described with a LP. We repeated the procedure with the model using the disk component and we obtained the same results. The best-fit spectral parameters are listed in Table 2, with the associated statistical and systematic errors. The systematic errors on the spectral analysis depend on our uncertainties on the Galactic diffuse emission model and on the effective area. The former is calculated using eight alternative diffuse emission models following the same procedure as in the first Fermi-LAT supernova remnant catalog (Acero et al. 2016) and the latter is obtained by applying two scaling functions on the effective area2. We also considered the impact on the spectral parameters when changing the spatial model from Gaussian to disk. All these sources of systematic uncertainties (related to the Galactic diffuse emission model, the effective area, and the spatial model) were thus added in quadrature.
The spectrum of G150.3+4.5 is hard, with α = 1.62 ± 0.04stat ± 0.23syst at E0 = 9.0 GeV, similar to the value obtained for young TeV shell-type SNRs such as RX J1713.7−3946 or RCW 86 (Acero et al. 2015). With a soft spectral index α = 2.48 ± 0.08stat ± 0.10syst at E0 = 651.2 MeV and a large curvature, 4FGL J0426.5+5434 has a spectrum reminiscent of a pulsar. Barr et al. (2013) found no pulsations from this source with the 100-m Effelsberg radio telescope, making the nature of 4FGL J0426.5+5434 unclear.
Since the centroid of the best-fit spatial models displaces with energy (Sect. 2.2), we investigated possible spectral differences between the southwestern (SW) and northeastern (NE) parts of the emission, dividing the best-fit disk (found between 1 GeV and 3 TeV) into two components (red circle and line in Fig. 3). We found a softer spectrum in the SW part than in the NE part, with αNE = 1.57 ± 0.07 (βNE = 0.08 ± 0.03) and αSW = 1.82 ± 0.06 (βSW = 0.04 ± 0.03), confirming the morphological analysis in the 1−10 and 10−100 GeV bands. We therefore obtained spectral differences between the NE and SW parts, although both regions exhibit a hard spectrum.
We then computed the spectral energy distributions (SEDs) of the Gaussian and the disk components dividing the whole energy range (300 MeV–3 TeV) into eight bins. We described the emission of G150.3+4.5 and 4FGL J0426.5+5434 by a power law with fixed spectral index (Γ = 2) to avoid anydependence on the spectral models. The normalizations of G150.3+4.5 and 4FGL J0426.5+5434 were fit simultaneously with the Galactic and isotropic diffuse emissions (fixing the spectral index of the Galactic component to 0). The normalization of 4FGL J0414.6+5711, located in the northwest of G150.3+4.5 (at ~ 2.4° from the SNR center), was also left free during the fit, while the spectral parameters of the other sources are fixed to their best-fit values found between 300 MeV and 3 TeV since they lie farther than 3.8° from the SNR center. We calculated a flux upper limit in the energy bands where the TS of the source is lower than 1. Figure 4 (left) shows the SEDs of G150.3+4.5 and 4FGL J0426.5+5434, with the statistical and systematic errors. The emission at low energy is dominated by the contribution from 4FGL J0426.5+5434, while the emission from the SNR arises at higher energy. Figure 4 (right) compares the SEDs obtained with the Gaussian and the disk model, showing that the spatial model used for G150.3+4.5 has a negligible impact on the spectral analysis. Since SNRs normally have a sharp edge (and the disk model is found to be spatially coincident with the radio morphology), we use the morphological and spectral properties of the disk throughout the paper to calculate the physical parameters of the SNR and discuss the nature of the emission.
![]() |
Fig. 4 Left: SEDs of G150.3+4.5 (blue circles) and 4FGL J0426.5+5434 (red diamonds) with the associated statistical errors (colored bars) and the quadratic sum of the statistical and systematic errors (black bars). The shaded areas correspond to the TS value in each energy band, and the upper limits are calculated at the 95% confidence level. Right: comparisonsof the SEDs obtained using a Gaussian (blue circles) and a disk (green diamonds) model for G150.3+4.5. For visibility purpose, the colored bars represent the quadratic sum of the statistical and systematic errors. |
3 Multiwavelength observations
3.1 H I spectrum and CO data towards G150.3+4.5
Knowing the distance of G150.3+4.5 is crucial in determining the physical size of the SNR and in turn understanding the origin of the γ-ray emission. Using data from the Leiden/Argentine/Bonn survey of Galactic H I (Kalberla et al. 2005), we obtained the H I spectrum in the direction of G150.3+4.5 (shown in Fig. 5) that displays clear velocity peaks at − 44.7, − 35.9, − 6.9, and +2.9 km s−1. The widths of all peaks are 5 km s−1 or less, thus there is no evidence of shock-broadening from the SNR shock, where broadening is an indicator of the shock of an SNR overtaking nearby molecular clouds (Wootten 1981). Assuming a flat Galactic rotation curve with Galactocentric distance, R0 = 8.34 kpc, and circular rotation speed at the sun Θ = 240 km s−1, the three negative velocities noted above (a positive velocity is not permitted at this Galactic longitude) translate into distances of 4.83, 3.45, and 0.31 kpc, respectively. Since there is no hint of any interaction of the SNR with interstellar material, Fig. 5 is only indicative of the H I emission towards G150.3+4.5 and could be used to derive column density values in future works.
Looking at CO data (Dame et al. 2001), we found molecular contents spatially coincident with the SNR (or at least part of it) with velocities between −9.8 and −3.8 km s−1, which translate into distances of
and
kpc, respectively.
![]() |
Fig. 5 H I spectrum obtained from the Leiden/Argentine/Bonn survey (Kalberla et al. 2005) in the direction of G150.3+4.5. |
3.2 X-ray observations and distance estimate
We used archival observations from the ROSAT all-sky survey (Voges et al. 1999) to determine whether there is significant X-ray emission (0.1−2.4 keV) in the direction of G150.3+4.5. The ROSAT data was extracted within a 1.3° circle centered on RA = 4:27:08.528, Dec = +55:27:29.53 with a total exposure of 19 ks (observation ID: WG930708P_N1_SI01.N1, ROSAT/PSPC in survey mode). We used the tool xselect to extract the spectrum from the region of interest and the instrument response function (ancillary response function, ARF) was obtained using “pcarf 2.1.3”, the latest version of the HEASOFT-FTOOL3 designed for ROSAT spectrum extraction. The background was derived using an off-source region, excluding any regions that seemed to contain point sources. No significant thermal or nonthermal emission is detected from G150.3+4.5. We modeled the emission using XSPEC4 (Arnaud 1996) as an absorbed thermal non-equilibrium ionization (NEI) plasma (Wilms et al. 2000). The Coulomb equilibration timescale is calculated following Vink (2011) and the initial electron temperature is assumed to be the higher of Tp × me∕mp or 0.3 keV (Rakowski et al. 2008). We found a maximum absorbed photon flux of 0.0004 ph cm−2 s−1 and a corresponding maximum absorbed energy flux of 4.2 × 10−13 erg cm−2 s−1 between 0.1 and 3.0 keV (with kTe = 0.2 keV and net = 1011 s cm−3). Using a power law with a spectral index Γ = 2, the maximum absorbed photon and energy fluxes are 0.0005 ph cm−2 s−1 and 1.1 × 10−12 erg cm−2 s−1 between 0.1 and 3.0 keV. In the direction of G150.3+4.5, the maximum absorbing column density5 is NH = 3.97 × 1021 cm−2, giving maximum unabsorbed thermal and nonthermal photons−energy fluxes of 0.0171 ph cm−2 s−1 − 8.6 × 10−12 erg cm−2 s−1 (kTe = 0.2 keV, net = 1011 s cm−3) and 0.0063 ph cm−2 s−1 −3.6 × 10−12 erg cm−2 s−1 (Γ = 2).
To estimate the minimum distance to G150.3+4.5, we used the Sedov-Taylor self-similar solution
(3)
where Rs, E, ρ0, and t are the radius of the SNR, the kinetic energy released by the supernova, the mass ambient density, and the age of the SNR, respectively. Equation (3) can be written as
(4)
where E51 is the kinetic energy released by the supernova, n0 the ambient density, and tyr the age of the SNR in units of 1051 erg, cm−3, and years. Assuming E51 = 1 and knowing the angular size of G150.3+4.5, we used different combinations of distance and age to calculate the corresponding ambient density. We then modeled the emission as an absorbed thermal NEI plasma for each combination of age, ambient, and column densities, and electron and proton temperature (Castro et al. 2011). For each distance we thus calculated the corresponding column density, and we obtained an upper limit on the ambient density. The maximum ambient density allowed by ROSAT data is n0 = 3.6 × 10−3 cm−3. We also considered that an SNR at a declination of ~5° and younger than 1 kyr should have been reported in historical records. Thus, we imposed a lower limit on the age of the SNR of t = 1 kyr, giving a minimum distance of d = 0.7 kpc for an ambient density consistent with ROSAT data (n0 = 1.5 × 10−3 cm−3 at that distance). We note that the upper limit on the ambient density is not formally correct since an SNR with E51 = 1, Mej ≥ 1.4 (the ejecta mass in units of solar mass) and n0 = 1.5 × 10−3 cm−3 has not yet entered the Sedov phase. This is, however, not critical for deriving an approximate upper limit on the ambient density. For a type Ia SNR, the Sedov phase is reached for d = 0.9−1 kpc and t = 3 kyr (n0 ~ 2.3 × 10−3 cm−3).
To constrain the maximum distance, we imposed a Mach number
(equivalent to a particle spectral index p < 2.4). With the sound speed
(γ = 5/3 being the adiabatic index and PISM the interstellar medium pressure), this condition can be written as
(5)
In the Sedovphase, the shock velocity vs is
(6)
with Rs and t the shock radius and the age of the SNR, respectively. Using Eq. (3) this gives
(7)
The condition
translates into a relation among the physical radius of the SNR, the interstellar medium pressure, and the kinetic energy released by the supernova
(8)
Assuming E51 = 1 and taking (PISM∕k) = 2.3n0TISM = 3000 K cm−3, we found Rs < 117.2 pc, giving d < 4.5 kpc for r = 1.497°. At this distance the age of the SNR is between t = 161.5 kyr (using the maximum ambient density n0 = 3.6 × 10−3 cm−3 allowed by ROSAT data) and t = 85.1 kyr (imposing a lower limit on the ambient density of n0 = 1 × 10−3 cm−3).
We note that the assumption E51 = 1 does not significantly impact the constraint on the ambient density since for E51 = 0.1 the maximum ambient density allowed by ROSAT data is n0 = 3.3 × 10−3 cm−3. The corresponding minimum and maximum distance estimates would be d = 0.3 kpc and d = 2.1 kpc.
In the following sections we assume E51 = 1, and we usethe minimum and maximum distance estimate d = 0.7 kpc (t = 1 kyr, Rs = 18.3 pc, n0 = 1.5 × 10−3 cm−3) and d = 4.5 kpc (t = 85.1−161.5 kyr, Rs = 117.2 pc, n0 = (1.0−3.6) × 10−3 cm−3) to discuss the origin of the emission.
4 Discussion
4.1 Supernova remnant or pulsar wind nebula?
The γ-ray data analysis presented here has led to the characterization of an extended γ-ray source whose centroid and extent are spatially coincident with the radio SNR. The broad size of the extended source and the correlation with the radio shell leaves few plausible scenarios for the nature of the γ-ray emission. Namely, the GeV emission can either arise from a pulsar wind nebula (PWN) or from an SNR.
The Gaussian morphology of the γ-ray emission and the hard γ-ray spectral index extending to hundreds of GeV make plausible the PWN scenario. However, the γ-ray morphology does not get smaller at higher energies (Fig. 3) as expected from electron cooling, and ROSAT X-ray observations detect no significant nonthermal emission suggestive of a PWN in the direction of G150.3+4.5 (Sect. 3.2). We nevertheless note that if the source is located at a large distance, the absorption of low-energy X-ray photons can prevent such a detection. The radio spectral index of the eastern shell (α = −0.62 ± 0.07 and α = −0.40 ± 0.17, Gerbrandt et al. 2014; Gao & Han 2014) and of the western shell (α = −0.69 ± 0.24, Gao & Han 2014), both spatially coincident with the γ-ray extent, are more compatible with that obtained for SNRs than for PWNe. Typical PWN radio spectral indices range from about − 0.3 ≲ α ≲ 0, while SNRs usually have a steeper radio spectral index α ≲−0.4 (Green 2017). Thus, the measured radio spectral index disfavors a PWN scenario as the origin of the emission. Furthermore, there is no pulsar in the vicinity of the γ-ray emission that could power a PWN. The source 4FGL J0426.5+5434, located in the southern part of the SNR, has a pulsar-like spectrum and no pulsations were found with the 100-m Effelsberg radio telescope (Barr et al. 2013). However, this potential pulsar could be radio quiet, or intensity variations from interstellar scintillation could have prevented detection at the epoch of observation. Therefore, 4FGL J0426.5+5434 may be a pulsar or another background source. Assuming that 4FGL J0426.5+5434 was the compact remnant of the progenitor star that birthed G150.3+4.5, with an angular distance from the radio SNR center of 0.881°, it would have to be traveling with a velocity of vPSR ~ 10 533 km s−1 (taking d = 0.7 kpc and t = 1 kyr) or vPSR ~ 419−796 km s−1 (taking d = 4.5 kpc and t = 161.5−85.1 kyr). Typical pulsar velocities range from vPSR ~ 400−500 km s−1 (Lyne & Lorimer 1995), with extreme velocities exceeding 1000 km s−1 (Chatterjee et al. 2005). Thus, the association between G150.3+4.5 and 4FGL J0426.5+5434 would only be possible when considering relatively far distances, such as d = 4.5 kpc. From the spectral properties of 4FGL J0426.5+5434 reported in Table 2, we calculated an energy flux of F0.1−100 GeV = 2.31 × 10−11 erg cm−2 s−1, giving a luminosity
erg s−1. The empirical relation between the luminosity and the spin-down power of the pulsar
erg s−1 (Abdo et al. 2013) gives Ė = 3.14 × 1036
erg s−1 (taking a beam correction factor of 1), indicating that 4FGL J0426.5+5434 could be an energetic pulsar. However, if 4FGL J0426.5+5434 is associated with the SNR and powers a PWN responsible for the observed GeV emission, the PWN γ-ray extent would be as large as the radio extent of its host SNR which never occurs in composite systems. All these arguments disfavor a PWN scenario as the origin of the main γ-ray emission, keeping in mind that a PWN located in the line of sight and contributing to a part of the γ-ray emission cannot be ruled out.
The spatial correlation between the radio and the γ-ray emissions, together with the lack of a γ-ray morphology shrinking at higher energies, points toward an SNR scenario. This is supported by the radio shell-like appearance, the nonthermal radio spectrum similar to that obtained in SNRs, and the detection of red optical filaments structures by Gerbrandt et al. (2014). Unless a pulsar is detected in the future that could power a PWN contributing to the GeV emission, we argue that the γ-ray emission is likely produced by the SNR G150.3+4.5 and is the counterpart of the radio emission detected by Gao & Han (2014).
![]() |
Fig. 6 SEDs of several Fermi-LAT SNRs interacting with molecular clouds (blue tone colors) and being dynamically young (orange tone colors). The black stars correspond to the SED of G150.3+4.5 shown in Fig. 4 (right) using the disk model. References: RX J1713.7−3946 (H.E.S.S. Collaboration 2018a), RCW 86 (Ajello et al. 2016), Vela Junior (H.E.S.S. Collaboration 2018b), IC 443, and W44 (Ackermann et al. 2013). |
4.2 Evolutionary stage of G150.3+4.5
In the following sections we assume that the entire γ-ray emission comes from the SNR G150.3+4.5. We place the SNR in context within the current population of Fermi-LAT SNRs to assess its evolutionary stage. Figure 6 shows the Fermi-LAT SED of G150.3+4.5 (obtained in Sect. 2.3 using a uniform disk) overlaid on the spectra of several Fermi-LAT observed SNRs with ages ranging from ~ 1 to 20 kyr. As shown in Fig. 6, spectral breaks are commonly observed below a few GeV in SNRs interacting with nearby molecular material. G150.3+4.5 exhibits a hard spectrum extending to hundreds of GeV with no spectral break, and is thus spectrally similar to the dynamically young and shell-type SNRs like RX J1713.7−3946 or Vela Junior.
Figure 7 depicts the luminosity of several Fermi-LAT SNRs with respect to their diameter squared. Between 100 MeV to 100 GeV, G150.3+4.5 has a luminosity of 2.53 × 1033(d∕ 0.7 kpc)2 erg s−1. For the minimum distance, the luminosity of G150.3+4.5 is low and similar to that obtained for young SNRs, while for the maximum distance the luminosity is closer to those of SNRs interacting with molecular clouds (MCs). However, there is no hint of an interaction between G150.3+4.5 and a MC in the radio data explored by Gerbrandt et al. (2014) and Gao & Han (2014), as in the catalog of molecular clouds (Rice et al. 2016) and of Galactic H II regions (Anderson et al. 2014), which do not report any object close to G150.3+4.5. The hard spectral shape of G150.3+4.5 and its likely low luminosity from 100 MeV to 100 GeV supports the dynamically young and non-interacting SNR scenario, and therefore a near distance.
![]() |
Fig. 7 Luminosity (0.1−100 GeV) of several Fermi-LAT observed SNRs plotted against their diameter squared. Blue diamonds are the SNRs interacting with molecular clouds, while orange circles are young SNRs. The SNR Puppis A, a middle-aged SNR that is not interacting with a molecular cloud, is represented by the green triangle. Black stars correspond to the SNR G150.3+4.5 using a distance of 0.7 and 4.5 kpc, respectively. The figure is reproduced from Thompson et al. (2012) with the addition of G150.3+4.5. |
4.3 Broadband nonthermal modeling
Particle acceleration arises at the shock front of the SNR G150.3+4.5, producing γ rays up to hundreds of GeV. These γ rays can either be produced by accelerated electrons through IC scattering on photon fields and Bremsstrahlung, or by accelerated protons colliding with ambient matter and leading to the decay of the neutral pion. To understand the origin of the emission, we performed multiwavelength modeling using the naima package (Zabalza 2015) in a one-zone model assumption. As shown in Fig. 4 (right), the choice of the spatial model for G150.3+4.5 has no impact on the spectral analysis. We used the radio fluxes derived in Gerbrandt et al. (2014) and the γ-ray spectrum obtained with the disk model (Sect. 2.2), and we factored the X-ray absorption into the model, allowing the use of the robust upper limit on the absorbed X-ray flux obtained with ROSAT data (Sect. 3.2). Since the radio fluxes were derived in a region of ~ 2.14° × 0.63° (Gerbrandt et al. 2014) that does not encompass the entire radio SNR (~3° × 2°, as reported in Gao & Han 2014), we considered these data points as lower limits. We modeled the broadband nonthermal emission of the SNR assuming E51 = 1 and for the two extreme distances d = 0.7 kpc and d = 4.5 kpc.
We described the proton spectrum by a power law with an exponential cutoff (defining the maximum energy reached by the particles) and the electron spectrum by a broken power law with an exponential cutoff. The break in the electron spectrum is due to synchrotron cooling, and occurs at the energy Eb above which the particle spectral index is se,2 = se,1 + 1, with se,1 being the spectral index below the energy break. To be consistent with the measured radio spectral index (α = −0.38 ± 0.10), we fixed the electron spectral index to se,1 = 1.8, giving se,2 = 2.8, and we used the same value for the proton spectral index sp = 1.8. To constrain the energy break and the particle maximum energy, we considered the synchrotron loss time
(9)
and the acceleration timescale
(10)
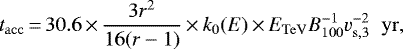
where r is the shock compression ratio, k0 is the ratio between the mean free path and the gyroradius (equivalent to
), and B100 and vs,3 are the magnetic field and the shock velocity in units of 100 μG and 1000 km s−1, respectively(Parizot et al. 2006). For young SNRs we expect k0 ~ 1, while for evolved systems we expect k0 > 1. The break and maximum energy of the electrons are calculated equating τsync = tage and tacc = min(tage, τsync), respectively, while the maximum energy of the protons is found with tage = tacc. For the IC scattering on photon fields, we considered the cosmic microwave background (UCMB = 0.26 eV cm−3, TCMB = 2.7 K), the infrared and optical emissions for which the temperature and energy density are estimated with the GALPROP code6 (Porter et al. 2008). The total energy of accelerated particles is integrated above 1 GeV.
For a distance of d = 0.7 kpc, the temperature and energy density of the infrared and optical emissions are TIR = 25.2 K, UIR = 0.34 eV cm−3 and Topt = 2004.9 K, Uopt = 0.52 eV cm−3. We used the ambient density of n0 = 1.5 × 10−3 cm−3 derived in Sect. 3.2, and the column density of NH = 5.23 × 1020 cm−2 (corresponding to a distance of d = 0.7 kpc) to model the absorbed X-ray nonthermal emission. The radio fluxes constrain the magnetic field to be relatively low. With Wp = 1050 erg (10% of E51 going into CR protons), the data can be reproduced with a downstream magnetic field of B = 5 μG and an electron-to-proton ratio of Kep = 1 × 10−3. We used the value of the velocity in the Sedov phase vs = 7163 km s−1, which is consistent with the data for Eb = Emax,e = Emax,p = 5.2 TeV implying k0 = 16 (using r = 4). Given the low magnetic field and age of the SNR, electrons do not suffer significantly from synchrotron cooling so there is no break in the electron spectrum. We note that if the SNR is in the ejecta-dominated phase, the velocity should be even higher than vs = 7163 km s−1. Although the value of k0 is unknown, k0 = 16 is higher than one would expect. Since we have
, a lower value of k0 would imply a reduced shock velocity to still fit the data. That could indicate that the SNR is located at a larger distance than 0.7 kpc (since we have
). Table 3 reports the physical parameters used for the broadband modeling of the SNR spectrum, shown in Fig. 8 (left).
For a distance of d = 4.5 kpc, the temperature and the energy density of the infrared and optical emissions are TIR = 25.2 K, UIR = 0.11 eV cm−3 and Topt = 2004.9 K, Uopt = 0.24 eV cm−3. We first discuss the case of t = 85.1 kyr obtained with n0 = 1.0 ×10−3 cm−3 and we used a column density of NH = 2.63 × 1021 cm−2 for the absorbed X-ray synchrotron model (corresponding to d = 4.5 kpc). Setting Wp = 1050 erg and using a shock velocity of vs = 539 km s−1 calculated in the Sedov model, the data can be reproduced with B = 5 μG, Kep = 5 × 10−2, and Eb = Emax,e = Emax,p = 5.8 TeV obtained using k0 = 7. The spectrum is shown in Fig. 8 (right) with the corresponding values reported in Table 3. For t = 161.5 kyr, the shock velocity in the Sedov phase is vs = 284 km s−1 implying a lower value of k0 to still fit the data. We also note that the value of Kep = 5 × 10−2 is slightly higher than one would expect, strengthening the fact that the distance of G150.3+4.5 is likely smaller than d = 4.5 kpc.
Using the two extreme distances of d = 0.7 kpc and d = 4.5 kpc, the broadband spectrum of the SNR is explained by a leptonic scenario, with acceleration of particles up to ~ 5 TeV and a downstream magnetic field of B = 5 μG. Under standard shock conditions, this gives an interstellar magnetic field of BISM = 1.5 μG (taking the isotropic compression ratio with r = 4). Since the radio fluxes derived in Gerbrandt et al. (2014) are likely underestimated, we used them as near lower limits. In each of our models, the synchrotron flux never exceeds ~ 2−3 times the values of the radio data, which is reasonable given the difference between the extraction region size taken in Gerbrandt et al. (2014) and the extent of the radio SNR (assuming a uniform emission). The minimum and maximum distances respectively require a higher value of k0 and Kep than one would expect, which indicate that the SNR is indeed located between 0.7 and 4.5 kpc. We did not consider the hadron-dominated scenario dueto the low maximum ambient density allowed by ROSAT data (Sect. 3.2), which would lead to an unrealistic value of Wp, and due to the lack of any hint of interaction of the SNR with interstellar material (Sect. 3.1). For the same reason, we also note that the SNR is likely not located at the same distance as those of the enhanced H I and CO emissions (derived in Sect. 3.1).
Deeper multiwavelength observations are necessary to better constrain the broadband emission from G150.3+4.5. That concerns radio observations to derive the synchrotron spectrum in a region encompassing the entire SNR, X-ray observations to obtain stronger upper limits on the thermal emission and very high-energy observations with Cherenkov telescopes to assess the maximum energy reached by particles in this Galactic cosmic-ray accelerator. Finally, a distance estimate would allow us to more precisely determine the evolutionary stage of the SNR G150.3+4.5.
![]() |
Fig. 8 Broadband nonthermal modeling of the SNR G150.3+4.5 in a leptonic scenario using a distance of d = 0.7 kpc (left) and d = 4.5 kpc (right). The radio fluxes, which are near lower limits (see Sect. 4.3), come from Gerbrandt et al. (2014) and the best-fit spectrum and γ-ray fluxes are those derived using the disk model. The ROSAT upper limit on the absorbed flux is derived in Sect. 3.2 and has to be compared to the absorbed X-ray synchrotron model (dashed blue curve). The values used for the plots are reported in Table 3. |
5 Conclusions
We analyzed more than 10 yr of Fermi-LAT data and we investigated the morphological and the spectral properties of the γ-ray emission towards the recently detected radio SNR G150.3+4.5. From 1 GeV to 3 TeV the emission is adequately described by a 2D symmetric Gaussian or a disk model, which is spatially coincident with the radio emission. Going down to 300 MeV, the spectrum is best described by a logarithmic parabola with a hard spectral index α = 1.62 ± 0.04stat ± 0.23syst at E0 = 9.0 GeV. The point source 4FGL J0426.5+5434, located in the southern part of the SNR, has a pulsar-like spectrum and dominates the low-energy part of the γ-ray emission (E < 3 GeV), while the contribution from the SNR arises at higher energy.
We did not detect significant thermal and nonthermal X-ray emission using ROSAT all-sky survey data, which implies a maximum ambient density n0 = 3.6 × 10−3 cm−3. Setting a lower limit on the age of the SNR t = 1 kyr, we estimated a minimum distance of d = 0.7 kpc, which is consistent with the ROSAT upper limit on the ambient density. Using physical considerations, we estimated a maximum distance of d = 4.5 kpc. Using the maximum ambient density allowed by ROSAT data and a lower limit of n0 = 0.1 × 10−3, the age of the SNR is t = 85.1–161.5 kyr.
The association between G150.3+4.5 and the pulsar-like 4FGL J0426.5+5434 is unclear and would be possible only if the SNR is located at relatively far distances, giving 4FGL J0426.5+5434 a reasonable transverse velocity. Since there is no hint for a PWN as the origin of the γ-ray emission, the latter being spatially coincident with the radio SNR, we argued that the GeV emission is likely produced by the SNR G150.3+4.5. We compared the spectrum and luminosity of G150.3+4.5 with those of other Fermi-LAT observed SNRs, including young systems and evolved SNRs interacting with molecular clouds. We found that G150.3+4.5 is spectrally similar to the dynamically young and shell-type Fermi-LAT SNRs. We modeled the broadband nonthermal emission of G150.3+4.5 with a leptonic scenario that implies a downstream magnetic field of B = 5μG and an acceleration of particles up to few TeV energies.
Deeper multiwavelength observations are required to better constrain the distance, the environment of G150.3+4.5 and its synchrotron spectrum. Since the detection of X-ray emission with Chandra or XMM-Newton can be challenging for sources with an angular size of 3°, large field-of-view X-ray instruments like eROSITA would be helpful to assess any thermal and nonthermal emission towards G150.3+4.5. Very high-energy analyses are promising in constraining the highest part of the γ-ray spectrum. Although not detected with 507 days of observations by HAWC (Abeysekara et al. 2017), G150.3+4.5 is a good candidate to be observed with the next generation of Cherenkov telescopes CTA (Cherenkov Telescope Array) that will give clear insights into the maximum energy reached by particles in this dynamically young SNR. Finally, deeper pulsation searches on 4FGL J0426.5+5434 would help investigate its nature and its possible association with G150.3+4.5.
Acknowledgements
We thank the referee for the helpful comments on this paper, and X. Y. Gao and J. L. Han for providing us the Urumqi 6 cm map of the SNR. J.D., M.L.G. and M.H.G. acknowledge support from Agence Nationale de la Recherche (grant ANR- 17-CE31-0014). The Fermi LAT Collaboration acknowledges generous ongoing support from a number ofagencies and institutes that have supported both the development and the operation of the LAT as well as scientific data analysis. These include the National Aeronautics and Space Administration and the Department of Energy in the United States, the Commissariat à l’Energie Atomique and the Centre National de la Recherche Scientifique/Institut National de Physique Nucléaire et de Physique des Particules in France, the Agenzia Spaziale Italiana and the Istituto Nazionale di Fisica Nucleare in Italy, the Ministry of Education, Culture, Sports, Science and Technology (MEXT), High Energy Accelerator Research Organization (KEK) and Japan Aerospace Exploration Agency (JAXA) in Japan, and the K. A. Wallenberg Foundation, the Swedish Research Council andthe Swedish National Space Board in Sweden. Additional support for science analysis during the operations phase is gratefully acknowledged from the Istituto Nazionale di Astrofisica in Italy and the Centre National d’Études Spatiales in France. This work performed in part under DOE Contract DE-AC02-76SF00515.
References
- Abdo, A. A., Ajello, M., Allafort, A., et al. 2013, ApJS, 208, 17 [NASA ADS] [CrossRef] [Google Scholar]
- Abeysekara, A. U., Albert, A., Alfaro, R., et al. 2017, ApJ, 843, 40 [NASA ADS] [CrossRef] [Google Scholar]
- Abeysekara, A. U., Archer, A., Benbow, W., et al. 2020, ApJ, 894, 51 [CrossRef] [Google Scholar]
- Acero, F., Lemoine-Goumard, M., Renaud, M., et al. 2015, A&A, 580, A74 [NASA ADS] [CrossRef] [EDP Sciences] [Google Scholar]
- Acero, F., Ackermann, M., Ajello, M., et al. 2016, ApJS, 224, 8 [NASA ADS] [CrossRef] [Google Scholar]
- Ackermann, M., Ajello, M., Allafort, A., et al. 2013, Science, 339, 807 [NASA ADS] [CrossRef] [PubMed] [Google Scholar]
- Ackermann, M., Ajello, M., Atwood, W. B., et al. 2016, ApJS, 222, 5 [NASA ADS] [CrossRef] [Google Scholar]
- Ackermann, M., Ajello, M., Baldini, L., et al. 2017, ApJ, 843, 139 [NASA ADS] [CrossRef] [Google Scholar]
- Ahnen, M. L., Ansoldi, S., Antonelli, L. A., et al. 2017, MNRAS, 472, 2956 [NASA ADS] [CrossRef] [Google Scholar]
- Ajello, M., Baldini, L., Barbiellini, G., et al. 2016, ApJ, 819, 98 [CrossRef] [Google Scholar]
- Akaike, H. 1974, IEEE Trans. Autom. Control, 19, 716 [NASA ADS] [CrossRef] [MathSciNet] [Google Scholar]
- Anderson, L. D., Bania, T. M., Balser, D. S., et al. 2014, ApJS, 212, 1 [NASA ADS] [CrossRef] [Google Scholar]
- Arnaud, K. A. 1996, ASP Conf. Ser., 101, 17 [Google Scholar]
- Atwood, W. B., Abdo, A. A., Ackermann, M., et al. 2009, ApJ, 697, 1071 [NASA ADS] [CrossRef] [Google Scholar]
- Barr, E. D., Guillemot, L., Champion, D. J., et al. 2013, MNRAS, 429, 1633 [NASA ADS] [CrossRef] [Google Scholar]
- Bell, A. R. 1978, MNRAS, 182, 147 [NASA ADS] [CrossRef] [Google Scholar]
- Castro, D., Slane, P., Patnaude, D. J., & Ellison, D. C. 2011, ApJ, 734, 85 [NASA ADS] [CrossRef] [Google Scholar]
- Chatterjee, S., Vlemmings, W. H. T., Brisken, W. F., et al. 2005, ApJ, 630, L61 [NASA ADS] [CrossRef] [Google Scholar]
- Dame, T. M., Hartmann, D., & Thaddeus, P. 2001, ApJ, 547, 792 [NASA ADS] [CrossRef] [Google Scholar]
- Gao, X. Y., & Han, J. L. 2014, A&A, 567, A59 [NASA ADS] [CrossRef] [EDP Sciences] [Google Scholar]
- Gerbrandt, S., Foster, T. J., Kothes, R., Geisbüsch, J., & Tung, A. 2014, A&A, 566, A76 [NASA ADS] [CrossRef] [EDP Sciences] [Google Scholar]
- Green, D. A. 2017, VizieR Online Data Catalog: VII/278 [Google Scholar]
- H.E.S.S. Collaboration (Abdalla, H., et al.) 2018a, A&A, 612, A6 [NASA ADS] [CrossRef] [EDP Sciences] [Google Scholar]
- H.E.S.S. Collaboration (Abdalla, H., et al.) 2018b, A&A, 612, A7 [NASA ADS] [CrossRef] [EDP Sciences] [Google Scholar]
- Kalberla, P. M. W., Burton, W. B., Hartmann, D., et al. 2005, A&A, 440, 775 [NASA ADS] [CrossRef] [EDP Sciences] [Google Scholar]
- Lyne, A. G., & Lorimer, D. R. 1995, J. Astrophys. Astron., 16, 97 [CrossRef] [Google Scholar]
- Parizot, E., Marcowith, A., Ballet, J., & Gallant, Y. A. 2006, A&A, 453, 387 [NASA ADS] [CrossRef] [EDP Sciences] [Google Scholar]
- Porter, T. A., Moskalenko, I. V., Strong, A. W., Orlando, E., & Bouchet, L. 2008, ApJ, 682, 400 [NASA ADS] [CrossRef] [Google Scholar]
- Rakowski, C. E., Laming, J. M., & Ghavamian, P. 2008, ApJ, 684, 348 [NASA ADS] [CrossRef] [Google Scholar]
- Rice, T. S., Goodman, A. A., Bergin, E. A., Beaumont, C., & Dame, T. M. 2016, ApJ, 822, 52 [NASA ADS] [CrossRef] [Google Scholar]
- The Fermi-LAT Collaboration 2019, ApJS, 247, 33 [Google Scholar]
- Thompson, D. J., Baldini, L., & Uchiyama, Y. 2012, Astropart. Phys., 39, 22 [CrossRef] [Google Scholar]
- Vink, J. 2011, A&ARv, 20, 49 [NASA ADS] [CrossRef] [Google Scholar]
- Voges, W., Aschenbach, B., Boller, T., et al. 1999, VizieR Online Data Catalog: IX/010 [Google Scholar]
- Wilms, J., Allen, A., & McCray, R. 2000, ApJ, 542, 914 [NASA ADS] [CrossRef] [Google Scholar]
- Wood, M., Caputo, R., Charles, E., et al. 2017, Int. Cosmic Ray Conf., 301, 824 [Google Scholar]
- Wootten, A. 1981, ApJ, 245, 105 [NASA ADS] [CrossRef] [Google Scholar]
- Yuan, Y., Funk, S., Jóhannesson, G., et al. 2013, ApJ, 779, 117 [NASA ADS] [CrossRef] [Google Scholar]
- Zabalza, V. 2015, in 34th International Cosmic Ray Conference (ICRC2015), 34, 922 [Google Scholar]
Fermi-LAT background models can be found at https://fermi.gsfc.nasa.gov/ssc/data/access/lat/BackgroundModels.html
Calculated with the Chandra Proposal Planning Toolkit https://cxc.harvard.edu/toolkit/colden.jsp
All Tables
Best-fit positions and extensions (1 GeV–3 TeV) of G150.3+4.5 (r68 being the 68% containment radius) with the associated statistical errors, using a 2D symmetric Gaussian and a uniform disk model.
All Figures
![]() |
Fig. 1 Urumqi 6 cm observations of the SNR G150.3+4.5. The red boxes correspond to the brightest parts of the shell, which is represented by the red dashed circle. The figure is from Gao & Han (2014). |
| In the text | |
![]() |
Fig. 2 Residual count map (left, smoothed with a Gaussian kernel of 0.2°) and residual TS map (right) obtained from 1 GeV to 3 TeV without G150.3+4.5 included in the model. The best-fit Gaussian and disk are represented in green and blue, respectively. The crosses are the centroid uncertainties (1σ), while the solid and dashed circles correspond to the r68 with its associated statistical errors (1σ). The 4FGL sources are shown in white and the Urumqi 6 cm radio contours (at 6, 11, and 16 mK TB) are overlaid in yellow. |
| In the text | |
![]() |
Fig. 3 Residual TS maps without G150.3+4.5 in the model from 1 to 10 GeV (left panel) and 10 to 100 GeV (right panel). The best-fit Gaussian and disk are represented in green and blue, respectively, the crosses being the centroid uncertainties (1σ) and the solidand dashed circles corresponding to the r68 with its associated statistical errors (1σ). The white symbols and yellow contours are the same as in Fig. 2. The red circle and line show the northeastern and southwestern hemispheres of the best-fit disk found between 1 GeV and 3 TeV (see Sect. 2.3). |
| In the text | |
![]() |
Fig. 4 Left: SEDs of G150.3+4.5 (blue circles) and 4FGL J0426.5+5434 (red diamonds) with the associated statistical errors (colored bars) and the quadratic sum of the statistical and systematic errors (black bars). The shaded areas correspond to the TS value in each energy band, and the upper limits are calculated at the 95% confidence level. Right: comparisonsof the SEDs obtained using a Gaussian (blue circles) and a disk (green diamonds) model for G150.3+4.5. For visibility purpose, the colored bars represent the quadratic sum of the statistical and systematic errors. |
| In the text | |
![]() |
Fig. 5 H I spectrum obtained from the Leiden/Argentine/Bonn survey (Kalberla et al. 2005) in the direction of G150.3+4.5. |
| In the text | |
![]() |
Fig. 6 SEDs of several Fermi-LAT SNRs interacting with molecular clouds (blue tone colors) and being dynamically young (orange tone colors). The black stars correspond to the SED of G150.3+4.5 shown in Fig. 4 (right) using the disk model. References: RX J1713.7−3946 (H.E.S.S. Collaboration 2018a), RCW 86 (Ajello et al. 2016), Vela Junior (H.E.S.S. Collaboration 2018b), IC 443, and W44 (Ackermann et al. 2013). |
| In the text | |
![]() |
Fig. 7 Luminosity (0.1−100 GeV) of several Fermi-LAT observed SNRs plotted against their diameter squared. Blue diamonds are the SNRs interacting with molecular clouds, while orange circles are young SNRs. The SNR Puppis A, a middle-aged SNR that is not interacting with a molecular cloud, is represented by the green triangle. Black stars correspond to the SNR G150.3+4.5 using a distance of 0.7 and 4.5 kpc, respectively. The figure is reproduced from Thompson et al. (2012) with the addition of G150.3+4.5. |
| In the text | |
![]() |
Fig. 8 Broadband nonthermal modeling of the SNR G150.3+4.5 in a leptonic scenario using a distance of d = 0.7 kpc (left) and d = 4.5 kpc (right). The radio fluxes, which are near lower limits (see Sect. 4.3), come from Gerbrandt et al. (2014) and the best-fit spectrum and γ-ray fluxes are those derived using the disk model. The ROSAT upper limit on the absorbed flux is derived in Sect. 3.2 and has to be compared to the absorbed X-ray synchrotron model (dashed blue curve). The values used for the plots are reported in Table 3. |
| In the text | |
Current usage metrics show cumulative count of Article Views (full-text article views including HTML views, PDF and ePub downloads, according to the available data) and Abstracts Views on Vision4Press platform.
Data correspond to usage on the plateform after 2015. The current usage metrics is available 48-96 hours after online publication and is updated daily on week days.
Initial download of the metrics may take a while.







