Open Access

Table 2

Best-fit spectral parameters (from 300 MeV to 3 TeV) with the associated errors obtained for G150.3+4.5 and 4FGL J0426.5+5434 using a logarithmic parabola spectrum, as defined in Eq. (2).

N0 (ph cm−2 s−1 MeV−1) α β E0 (MeV) Φ F
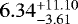
G150.3+4.5 - Gaussian (7.78 ± 0.46stat ± 1.61syst) × 10−14 1.62 ± 0.04stat ± 0.22syst 0.07 ± 0.02stat ± 0.02syst 8973.8
             
4FGL J0426.5+5434 (1.24 ± 0.06stat ± 0.07syst) × 10−11 2.48 ± 0.08stat ± 0.10syst 0.41 ± 0.08stat ± 0.11syst 651.2
             
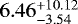
G150.3+4.5 - Disk (6.58 ± 0.40stat ± 1.20syst) × 10−14 1.68 ± 0.04stat ± 0.21syst 0.06 ± 0.02stat ± 0.03syst 8973.8
             
4FGL J0426.5+5434 (1.22 ± 0.06stat ± 0.06syst) × 10−11 2.47 ± 0.08stat ± 0.11syst 0.41 ± 0.08stat ± 0.12syst 651.2

Notes. The first two and lasttwo lines are the parameters obtained when describing the emission from G150.3+4.5 with a Gaussian and a disk respectively. Φ and F are the integral flux and energy flux from 300 MeV to 3 TeV in units of 10−9 cm−2 s−1 and 10−11 erg cm−2 s−1, respectively.

Current usage metrics show cumulative count of Article Views (full-text article views including HTML views, PDF and ePub downloads, according to the available data) and Abstracts Views on Vision4Press platform.

Data correspond to usage on the plateform after 2015. The current usage metrics is available 48-96 hours after online publication and is updated daily on week days.

Initial download of the metrics may take a while.