| Issue |
A&A
Volume 650, June 2021
Parker Solar Probe: Ushering a new frontier in space exploration
|
|
|---|---|---|
| Article Number | A14 | |
| Number of page(s) | 7 | |
| Section | The Sun and the Heliosphere | |
| DOI | https://doi.org/10.1051/0004-6361/202039615 | |
| Published online | 02 June 2021 | |
Solar wind energy flux observations in the inner heliosphere: first results from Parker Solar Probe
1
LESIA, Observatoire de Paris, Université PSL, CNRS, Sorbonne Université, Université de Paris,
5 place Jules Janssen,
92195
Meudon,
France
e-mail: This email address is being protected from spambots. You need JavaScript enabled to view it.
2
Department of Physics and Astronomy, University of Iowa,
IA
52242,
USA
3
Climate and Space Sciences and Engineering, University of Michigan,
Ann Arbor,
MI
48109, USA
4
IRAP, Universite Paul Sabatier,
9 Av du Colonel Roche, BP 4346,
31028,
Toulouse Cedex 4, France
5
Space Sciences Laboratory, University of California,
Berkeley,
CA
94720-7450, USA
6
Physics Department, University of California,
Berkeley,
CA
94720-7300, USA
7
The Blackett Laboratory, Imperial College London,
London,
SW7 2AZ, UK
8
School of Physics and Astronomy, Queen Mary University of London,
London
E1 4NS, UK
9
Smithsonian Astrophysical Observatory,
Cambridge,
MA
02138, USA
10
School of Physics and Astronomy, University of Minnesota,
Minneapolis,
MN
55455, USA
11
Solar System Exploration Division, NASA/Goddard Space Flight Center,
Greenbelt,
MD
20771,
USA
12
Laboratory for Atmospheric and Space Physics, University of Colorado,
Boulder,
CO
80303, USA
Received:
8
October
2020
Accepted:
29
December
2020
Abstract
Aims. We investigate the solar wind energy flux in the inner heliosphere using 12-day observations around each perihelion of Encounter One (E01), Two (E02), Four (E04), and Five (E05) of Parker Solar Probe (PSP), respectively, with a minimum heliocentric distance of 27.8 solar radii (R⊙).
Methods. Energy flux was calculated based on electron parameters (density ne, core electron temperature Tc, and suprathermal electron temperature Th) obtained from the simplified analysis of the plasma quasi-thermal noise (QTN) spectrum measured by RFS/FIELDS and the bulk proton parameters (bulk speed Vp and temperature Tp) measured by the Faraday Cup onboard PSP, SPC/SWEAP.
Results. Combining observations from E01, E02, E04, and E05, the averaged energy flux value normalized to 1 R⊙ plus the energy necessary to overcome the solar gravitation (WR⊙) is about 70 ± 14 W m−2, which is similar to the average value (79 ± 18 W m−2) derived by Le Chat, G., Issautier, K., & Meyer-Vernet, N. (2012, Sol. Phys., 279, 197) from 24-yr observations by Helios, Ulysses, and Wind at various distances and heliolatitudes. It is remarkable that the distributions of WR⊙ are nearly symmetrical and well fitted by Gaussians, much more so than at 1 AU, which may imply that the small heliocentric distance limits the interactions with transient plasma structures.
Key words: solar wind / Sun: heliosphere / Sun: corona / Sun: fundamental parameters / plasmas / acceleration of particles
© M. Liu et al. 2021
Open Access article, published by EDP Sciences, under the terms of the Creative Commons Attribution License (https://creativecommons.org/licenses/by/4.0), which permits unrestricted use, distribution, and reproduction in any medium, provided the original work is properly cited.
1 Introduction
The question of how the solar wind is produced and accelerated is unsolved since its discovery about sixty years ago (Parker 1958; Neugebauer & Snyder 1962) and Parker (2001) showed that “we cannot state at the present time why the Sun is obliged by the basic laws of physics to produce the heliosphere”. An important property of the solar wind is its energy flux, which is similar in the whole heliosphere and in the fast and slow wind (e.g., Schwenn & Marsch 1990; Meyer-Vernet 2006; Le Chat et al. 2009, 2012), and much more so than the particle flux itself. As shown by Le Chat et al. (2009), the energy flux is of a similar fraction of the luminosity for Solar-like and cool giant stars, which suggests that stellar winds may share a basic process for their origin and acceleration. Investigations of the solar wind energy flux in the inner heliosphere are of significant importance for astrophysics, but there are still very few of them.
Meyer-Vernet (2006, 2007) showed that the average solar wind energy flux scaled to one solar radius of about 70 W m−2 from long-term Helios and Ulysses observations is close to 10−6 times the solar luminosity – a fraction similar to that of a number of other stars. With a much larger solar wind data set from several spacecraft at various distances and latitudes, Le Chat et al. (2012) found an average value of 79 ± 18 W m−2 between 1976 and 2012, whereas McComas et al. (2014) found an average value of about 60 W m−2 with OMNI data at 1 AU between 2011 and 2014. Helios 1 and 2 orbits ranged from 0.3 to 1 AU (Schwenn et al. 1975), whereas Ulysses operated between 1 and 4 AU (Wenzel et al. 1992). The ongoing, pioneering mission of Parker Solar Probe (PSP; Fox et al. 2016)orbits with perihelia of heliocentric distances decreasing from 35.7 solar radii (R⊙) to 9.86 R⊙ within five years. Four instruments onboard PSP, including the Fields experiment (FIELDS; Bale et al. 2016), Solar Wind Electrons Alphas and Protons investigation (SWEAP; Kasper et al. 2016), Integrated Science Investigation of the Sun (IS ⊙IS; McComas et al. 2016), and Wide-field Imager for Solar PRobe (WISPR; Vourlidas et al. 2016), are working together to provide both in situ and remote observations. In situ field and plasma measurements of the inner heliosphere from FIELDS/PSP and SWEAP/PSP offer an opportunity to estimate the solar wind energy flux closer to the Sun than previously derived.
FIELDS/PSP provides accurate electron density and temperature measurements via quasi-thermal noise (QTN) spectroscopy. This technique has been used in a number of space missions (e.g., Meyer-Vernet 1979; Meyer-Vernet et al. 1986, 2017; Issautier et al. 1999, 2001, 2008; Maksimovic et al. 1995; Moncuquet et al. 2005, 2006), and it is an effective and efficient tool. Recently, Moncuquet et al. (2020) and Maksimovic et al. (2020) derived preliminary solar wind electron measurements from the plasma QTN spectra observed by the Radio Frequency Spectrometer (RFS/FIELDS; see Pulupa et al. 2017). SWEAP/PSP consists of the Solar Probe Cup (SPC) and the Solar Probe Analyzers (SPAN; Kasper et al. 2016; Case et al. 2020; Whittlesey et al. 2020). SPC is a fast Faraday cup designed to measure the one dimensional velocity distribution function (VDF) of ions and sometimes electrons and SPAN is a combination of three electrostatic analyzers operated to measure thethree dimensional VDFs of ions and electrons. Due to the instrument design, the SPAN-Ai instrument cannot observe the complete core of the solar wind ions in the first several encounters and SPC can provide ion observationsduring SPAN’s observational gaps by pointing at the Sun during the encounter phase of each orbit, although SPC sometimes cannot detect the whole distribution (Kasper et al. 2016; Whittlesey et al. 2020; Case et al. 2020).
Therefore, we calculated the solar wind energy flux with both the RFS/FIELDS/PSP (electron) and SPC/SWEAP/PSP (ion) observations during Encounters One (E01), Two (E02), Four (E04), and Five (E05) (Sect. 2). The minimum heliocentric distance is 35.66 R⊙ for E01 and E02 and around 27.8 R⊙ for E04 and E05. In Sect. 3, we analyze the relationship between the energy flux, the bulk speed, and the plasma density (Sect. 3.1). How the total energy flux and each component of it evolve with increasing heliocentric distance is studied in Sect. 3.2. In Sect. 4, the results are summarized and discussed.
2 Data analysis
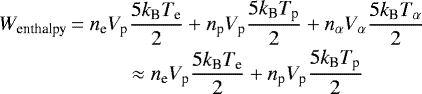
The solar wind energy flux (W), which includes the kinetic energy (Wkinetic), the enthalpy (Wenthalpy), and the heat flux (Q), is expressed as
(1)
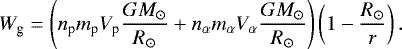
where we have neglected the wave energy flux and added the flux equivalent to the energy required to overcome the solar gravitation Wg (Schwenn & Marsch 1990); Q is the sum of the electron heat flux qe and proton heat flux qp. Halekas et al. (2021, 2020) found that qe ranges from 10−4 to 10−3 W m−2 during E01, E02, E04, and E05 of PSP orbits, which can be neglected (see Sect. 3). We note that at 1 AU, qe measured with Helios is qe ≈ 10−6 W m−2 (Pilipp et al. 1990), while qp ranges from about 10−7 (1 AU) to 10−5 (0.3 AU) W m−2 (Hellinger et al. 2011). We therefore neglected both the electron and proton heat flux compared to the other components, so that
(2)
where the expressions of the different components are given below. It is important to note that Le Chat et al. (2012) neglected the enthalpy at 1 AU. However, this contribution cannot be ignored closer to the Sun, where it contributes to about 5% of the total energy flux (see Sect. 3.2):
(3)
(4)
(5)
Here, np, mp, nα, and mα denote the proton number density, proton mass, α particle number density, and α particle mass, respectively. Furthermore, Vp (Vα) is the solar wind proton (α) bulk speed, ne is the electron number density, kB is the Boltzmannconstant, Tp (Te) is the proton (electron) temperature, G is the gravitational constant, M⊙ is the solar mass, R⊙ is the solar radius, and r is the heliocentric distance of PSP. We note that Te was derived from the core electron temperature Tc and suprathermal electron temperature Th with Te = Tc + (nh∕ne)Th, where nh denotes the suprathermal electron density and nh∕ne is assumed to be 0.1 (see Moncuquet et al. 2020; Štverák et al. 2009). In Eqs. (3)–(5), we assume that Vα ≈ Vp and ignore the enthalpy of the α particles since nα is much smaller than ne (and both Vα and Tα are not available). The energy flux was scaled to one solar radius as written below, yielding the total energy required at the base to produce the wind – a basic quantity for understanding the wind production and comparing the Sun to other wind-producing stars:
(6)
We used the level-3 ion data (moments) from SPC/SWEAP (Kasper et al. 2016; Case et al. 2020) and the electron parameters deduced from the simplified QTN method with the observations from RFS/FIELDS (Moncuquet et al. 2020; Pulupa et al. 2017). For each encounter, only 12-day high-time-resolution observations near the perihelion were considered: SPC collects one sample or more every 0.874 s and the QTN datasets have a 7-s resolution. Since the resolution of the datasets from SPC is different from that of the QTN datasets, we interpolated them to the same resolution to carry out the calculations. Currently, α particle observations directly obtained from SPC/SWEAP cannot be used due to calibration issues. Also, np is too different from ne (being smaller than ne by more than 30% on average) with an estimation of ⟨ nα ∕ne ⟩ = ⟨ (ne − np)∕(2 × ne) ⟩ ≈ 16.0%, which implies unrealistic values for nα obtained based on plasma neutrality. Past studies (e.g., Kasper et al. 2007, 2012; Alterman & Kasper 2019; Alterman et al. 2021) show that the α particle abundance (AHe = nα∕np) rarely exceeds AHe ~ 5%, especially when the bulk speed of the solar wind is below Vp = 400 km s−1. Alterman et al. (2021) show that at 1 AU, AHe ranges from 1 to 5% during Solar Cycle 23 and 24 and predict that 1% < AHe < 4% at the onset of Solar Cycle 25 (solar minimum). We assume that AHe (which is almost the same as nα∕ne) of the solar wind remains the same when it propagates from the inner heliosphere to 1 AU (Viall & Borovsky 2020). As a result, we deduced nα with ne where nα∕ne is a free parameter ranging from 1 to 4% (Alterman et al. 2021). This enabled us to determine np based on the plasma neutrality. The resulting values of nα and np were used to calculate W and then
.
![]() |
Fig. 1 Solar wind density, speed, and energy flux measurements by PSP during Encounter One (from October 31, 2018 00:00:00 to November 12, 2018 00:00:00 UTC). First panel: QTN electron density. Second panel: proton bulk speed. A red horizontal line (Vp = 300 km s−1) is plotted forreference. Third panel: solar wind energy flux W. Fourth panel: solar wind energy flux normalized to one solar radius |
3 Observations and results
During the first and second encounter of PSP, it reached the perihelion of 35.66 R⊙ (~0.17 AU) on November 6, 2018 and April 5, 2019, respectively. For both E04 and E05, PSP arrived at the perihelion of 27.8 R⊙ (~0.13 AU) on January 29, 2020 and June 7, 2020, respectively. In Sect. 3.1, we give an overview of the PSP measurements of solar wind density, speed, and energy flux for all available encounters including E01, E02, E04, and E05. We note that E03 observationsare not considered due to the lack of SPC observations near the perihelion. For each encounter, 12-day observations around the perihelion were used for calculations. The heliocentric distance for both E01 and E02 ranges from 35.66 to about 55 R⊙, and it ranges from 27.8 to about 57 R⊙ for both E04 and E05. In Sect. 3.2, we combine the observations from E01, E02, E04, and E05 to show the histogram distributions and the evolution of the energy flux as a function of heliocentric distance.
3.1 Overview of E01, E02, E04, and E05
Figure 1 shows an overview of the PSP measurements of solar wind density, speed, and energy flux during E01 (from October 31, 2018 00:00:00 to November 12, 2018 00:00:00 UTC). The top panel presents the electron number density (ne) obtained by the QTN method. In the second panel, the proton bulk speed is shown. The third and fourth panels present the solar wind energy flux (W, from Eq. (2)) and its value scaled to one solar radius (
, from Eq. (6)), respectively. In Fig. 1, nα and np were computed from ne based on nα∕ne = 2.5% for calculating W and
. Most of the time, Vp varies around 300 km s−1, and
varies around 70 W m−2. The average values of W and
are 0.045 and 77.3 W m−2, respectively. The average value of
of E01 is consistent with the long-term observations from Le Chat et al. (2012) (around 79 W m−2). We note that
does not vary much with Vp when Vp increases abruptly (i.e., from November 8 to 10, 2018).
Figure 2, which follows the same format as Fig. 1, summarizes the PSP measurements of solar wind density, speed, and energy flux during E02 (from March 30, 2019 00:00:00 to April 11, 2019 00:00:00 UTC). We deduced np and nα with the same method used for E01to calculate both W and
. We note that ne shows two successive low plateaus near the perihelion of E02 (from April 3 to 8, 2019 UT), as shown in the first panel of Fig. 2, whereas Vp shows two high peaks. This is in agreement with the well-known anticorrelation between the solar wind speed and density (e.g., Richardson et al. 1996; Le Chat et al. 2012). Both
and W also show two low plateaus near the perihelion of E02 (from April 3 to 8, 2019 UT), similar to the solar wind density. Elsewhere, Vp remains around 300 km s−1 and
varies around 70 W m−2. The mean values of W and
during E02 are 0.032 and 59.4 W m−2, respectively.
Similarly, Fig. 3 illustrates the PSP observations during E04 (from January 23, 2020 00:00:00 to February 4, 2020 00:00:00 UTC). We used np and nα, which were deduced with the same method used for both E01 and E02, when calculating both W and
. The second panel of Fig. 3 shows that Vp varies around 375 km s−1 before January 29, 2020 and is predominantly 225 km s−1 afterward. Furthermore,
varies around 70 W m−2 and does not change significantly even when Vp decreases sharply from January 28 to 30, 2020. The average values of W and
for E04 are 0.054 and 67.2 W m−2, respectively.
Figure 4 is similar to Figs. 1–3, but for E05 (from June 1, 2020 00:00:00 to June 13, 2020 00:00:00 UTC). We used the same method as previously explained for E01, E02, and E04 for calculating the energy flux. During this encounter, Vp usually stays at around 300 km s−1 except from June 7 to 12, 2020 during which Vp remains approximately at 225 km s−1. For E05,
is predominantly about
W m−2. From June 7 to 10, 2020, both W and
experience sharp changes, which results from a sharp variation in ne. The corresponding values of both W and
are larger (smaller) than the ambient values at the beginning (in the end) of this time period. The average values of W and
for E05 are 0.057 and 73.6 W m−2, respectively.
Table 1 summarizes the average values of the energy flux ⟨ W ⟩ and the values normalized to one solar radius ⟨
⟩ for the four PSP encounters mentioned above. We note that the sequence difference between ⟨
⟩ and ⟨ W ⟩ results from the r−2 normalization when deriving
, whereas theindividual flux tubes vary differently. It is remarkable that these values of ⟨
⟩ are close to those found previously (Meyer-Vernet 2006; Le Chat et al. 2012) despite the smaller time durations and latitude extensions of PSP observations. We note the relatively low ⟨
⟩ of E02 and thelow solar wind density near the perihelion of PSP orbit (see Fig. 2). The dilute transient solar wind structure observed around the perihelion helps to explain this relatively low value compared to the long-term observations of Le Chat et al. (2012). The origins of the low plateaus of plasma density related to high peaks of bulk speed are discussed by Rouillard et al. (2020) and they are outside the scope of this paper. Le Chat et al. (2012) averaged the values over a solar rotation (~27.2 days) to reduce the effect of transient events such as coronal mass ejections (CMEs) or corotating interaction regions (CIRs). Although CMEs or small-scale flux ropes are observed by PSP during E01 (e.g., Hess et al. 2020; Zhao et al. 2020; Korreck et al. 2020), ⟨
⟩ of E01 (77.3 W m−2) is almost the same as the long-term averaged value found by Le Chat et al. (2012).
![]() |
Fig. 2 Solar wind density, speed, and energy flux measurements by PSP for Encounter Two (March 30, 2019 00:00:00 to April 11, 2019 00:00:00 UTC). This figure follows the same format as that of Fig. 1. |
![]() |
Fig. 3 Solar wind density, speed, and energy flux measurements by PSP for Encounter Four (from January 23, 2020 00:00:00 to February 4, 2020 00:00:00 UTC), which follows the same format as that of Fig. 1. |
Energy flux average value of each encounter.
![]() |
Fig. 4 Solar wind density, speed, and energy flux measurements by PSP for Encounter Five (from June 1, 2020 00:00:00 to June 13, 2020 00:00:00 UTC), which follows the same format as that of Fig. 1. |
![]() |
Fig. 5 Distributions of solar wind energy flux (WR) normalized to one solar radius with a ratio between α particle number density (nα) and electron number density (ne) ranging from1 to 4% for Encounters E01, E02, E04, and E05. (a)–(c): assume nα∕ne = 1, 2.5, and 4%, respectively, to illustrate the uncertainty due to the absence of α measurements. Average and median values of each histogram are indicated with Gaussian fits superimposed in blue. Center value and standard deviation (full-width-half-maximum) of the Gaussian fit are also presented. |
3.2 Distributions of energy flux and variation with distance
Figure 5 shows the distributions of
combining the observations from E01, E02, E04, and E05. Based on the assumption that nα ∕ne ranges from 1.0 to 4.0%, we calculated
with nα∕ne = 1.0, 2.5, and 4.0% and the corresponding results are shown in Figs. 5a–c, respectively. Each histogram distribution was fitted with a Gaussian function (blue line), and the center value (the most probable value) and standard deviation (full-width-half-maximum which is short for FWHM) are shown together with the mean and median values. It is remarkable that the histograms of
are very symmetrical and nearly Gaussian. The difference between the average, median, and most probable fit value of
is very small (less than 3%). With a fixed nα∕ne ratio, the uncertainties of ⟨
⟩ resulting from the uncertainties of the plasma parameters ne, Vp, Te, and Tp are 10.0, 4.1, 0.85, and 0.28%, respectively. We used the uncertainty of ne provided bythe QTN method, and Moncuquet et al. (2020) estimated that the uncertainty of Te is around 20%. Case et al. (2020) shared that the estimated uncertainties of Vp and Tp are 3.0 and 19%, respectively. When nα∕ne increases from 1.0 to 2.5% and then to 4.0%, ⟨
⟩ increases from 66.7 to 69.4 W m−2 and then to 72.1 W m−2, and the values of FWHM increase from 41.2 to 42.7 W m−2 and then to 44.4 W m−2. The uncertainty of
resulting from the variation of nα∕ne is around 4%. Furthermore, ⟨
⟩ from the E01, E02, E04, and E05 observations is around 69.4 W m−2 with a total uncertainty that we estimate to be at most 20.0%, which is consistent with previous results (e.g., Schwenn & Marsch 1990; Meyer-Vernet 2006; Le Chat et al. 2009, 2012; McComas et al. 2014).
Figure 6 presents W, Wkinetic∕W, Wenthalpy∕W, and Wg ∕W as a function of heliocentric distance in units of solar radius R⊙, which includes the observations from E01, E02, E04, and E05. Levenberg-Marquardt least-squares fit was performed on each quantity and the fitted functions are shown in the figure. We note that the power index for W is −1.92 (near to −2.0), which is in agreement with Eq. (6) used to scale the solar wind energy flux to one R⊙. When PSP moves from 57.1 R⊙ to 27.8 R⊙, Wkinetic, in order of magnitude, ranges from 10−3 to 10−2 W m−2, while Wenthalpy and Wg range from 10−3 to 10−2 W m−2 and from 10−2 to 10−1 W m−2, respectively. Further, as shown in Fig. 6, Wg is the dominant term for W, Wkinetic is the second most dominant one, and Wenthalpy is the least dominant term. Even though the contribution of Wenthalpy to W is still the least among the three components in the inner heliosphere, it reaches about 30% of the kinetic energy flux at the smallest distances and we cannot neglect it directly (⟨ Wenthalpy ⟩ ∕ ⟨ W ⟩ ≈ 5%). We note that since Wg exceeds Wkinetic by a factor of about four, most of the energy supplied by the Sun to generate the solar wind serves to overcome the solar gravity. As is shown in the first panel of Fig. 6, the energy flux can reach W ≈ 10−1 W m−2 near the perihelia of PSP orbits, whereas the corresponding electron heat flux is qe ≈ 10−3 W m−2 (see Halekas et al. 2021, 2020). At most, qe contributes to 1.0% of W, and proton heat flux qp is usually much less than qe. Therefore, neglecting the heat flux does not affect the conclusions made in this work.
![]() |
Fig. 6 Variation of W and its components with heliocentric distance combining observations from Encounter One (E01), Two (E02), Four (E04), and Five (E05). From top to bottom: evolution of W, Wkinetic∕W, Wenthalpy∕W, and Wg∕W with heliocentric distance are shown, respectively. The fitted profile (yellow) is superimposed on each corresponding panel, respectively. |
4 Discussion and conclusions
This paper presents the first analysis of the solar wind energy flux in the inner heliosphere (adding the flux equivalent to the energy necessary tomove the wind out of the solar gravitational potential) with PSP observations. This covers heliocentric distances from 0.13 AU (~27.8 R⊙) to 0.27 AU (~57.1 R⊙) in combinationof data during E01, E02, E04, and E05. This enables us to study the solar wind energy flux in the inner heliosphere, which is of great importance to understand the acceleration of the solar wind. We note that E03 is excluded due to the lack of SPC observations near perihelion.
We find that the average value of
, ⟨
⟩, is about 69.4 W m−2 with a total uncertainty of at most 20%, which is similar to previous results based on long-term observations at greater distances and various latitudes (e.g., Schwenn & Marsch 1990; Meyer-Vernet 2006; Le Chat et al. 2009, 2012; McComas et al. 2014). This result confirms that this quantity appears as aglobal solar constant, which is of importance since it is often used to deduce the solar wind density from the speed (or the reverse) in global heliospheric studies and modeling (e.g., Shen et al. 2018; McComas et al. 2014, 2017, 2020; Krimigis et al. 2019; Wang et al. 2020).
It is remarkable that the distributions of
are nearly symmetrical and well fitted by Gaussians. This may be explained by the limited interactions between solar wind and transient structures (e.g., CMEs and CIRs) in the inner heliosphere (below 0.27 AU).
Normalizing the solar wind energy flux as 1∕r2 assumes a radial expansion of solar wind, which does not hold true for individual flux tubes, especially close to the Sun. However, this normalization holds true when integrating over a whole sphere surrounding the Sun, so that a large data set is necessary to obtain a reliable result. It is thus noteworthy that with only 12-day observations for each encounter (E01, E02, E04, and E05) and a limited latitude exploration, we find the same normalized energy flux as previous long-term studies at various latitudes. This is consistent with the fact that our dataset yields an energy flux varying with heliocentric distance with a power index close to −2. It is also interesting that this normalized energy flux represents a similar fraction of solar luminosity as observed for a large quantity of stars (Meyer-Vernet 2006; Le Chat et al. 2012). Since this quantity represents the energy flux to be supplied by the Sun for producing the wind (e.g., Meyer-Vernet 1999; Schwadron & McComas 2003), this similarity may provide clues to the physical processes at the origin of stellar winds (e.g., Johnstone et al. 2015).
In this work, the heat flux was neglected when calculating the energy flux. When PSP gets much closer to the Sun, the contribution of the electron heat flux is larger (see Halekas et al. 2021, 2020). Furthermore, the solar wind protons often consist of two populations, that is to say core and beam drifting with respect to each other. The speed difference between them is typically on the order of the local Alfvén speed (Alterman et al. 2018). It is likely that the proton heat flux will also be more important closer to the Sun. Therefore, the heat flux will be considered in a future work. Due to the lack of alpha particle observations, we make an assumption that Vα ≈ Vp. In fact, the differential speed between protons and alpha particles is also typically on the order of the local Alfvén speed (e.g., Steinberg et al. 1996; Ďurovcová et al. 2017; Alterman et al. 2018), so that it may affect the energy flux closer to the Sun. We await more data that are to come in the future PSP encounters, with the recovery of the well calibrated alpha parameters.
Acknowledgements
The research was supported by the CNES and DIM ACAV+ PhD funding. Parker Solar Probe was designed, built, and is now operated by the Johns Hopkins Applied Physics Laboratory as part of NASA’s Living with a Star (LWS) program (contract NNN06AA01C). Support from the LWS management and technical team has played a critical role in the success of the Parker Solar Probe mission. We acknowledge the use of data from FIELDS/PSP (http://research.ssl.berkeley.edu/data/psp/data/sci/fields/l2/) and SWEAP/PSP (http://sweap.cfa.harvard.edu/pub/data/sci/sweap/).
References
- Alterman, B. L., & Kasper, J. C. 2019, ApJ, 879, L6 [Google Scholar]
- Alterman, B. L., Kasper, J. C., Stevens, M. L., & Koval, A. 2018, ApJ, 864, 112 [Google Scholar]
- Alterman, B. L., Kasper, J. C., Leamon, R. J., & McIntosh, S. W. 2021, Sol. Phys., 296, 67 [Google Scholar]
- Bale, S. D., Goetz, K., Harvey, P. R., et al. 2016, Space Sci. Rev., 204, 49 [Google Scholar]
- Case, A. W., Kasper, J. C., Stevens, M. L., et al. 2020, ApJS, 246, 43 [Google Scholar]
- Ďurovcová, T., Šafránková, J., Němeček, Z., & Richardson, J. D. 2017, ApJ, 850, 164 [Google Scholar]
- Fox, N. J., Velli, M. C., Bale, S. D., et al. 2016, Space Sci. Rev., 204, 7 [NASA ADS] [CrossRef] [Google Scholar]
- Halekas, J. S., Whittlesey, P., Larson, D. E., et al. 2020, ApJS, 246, 22 [Google Scholar]
- Halekas, J. S., Whittlesey, P., Larson, D. E., et al. 2021, A&A, 650, A15 (PSP SI) [EDP Sciences] [Google Scholar]
- Hellinger, P., Matteini, L., Štverák, Š., Trávníček, P. M., & Marsch, E. 2011, J. Geophys. Res. Space Phys., 116, A09105 [Google Scholar]
- Hess, P., Rouillard, A. P., Kouloumvakos, A., et al. 2020, ApJS, 246, 25 [Google Scholar]
- Issautier, K., Meyer-Vernet, N., Moncuquet, M., Hoang, S., & McComas, D. J. 1999, J. Geophys. Res., 104, 6691 [Google Scholar]
- Issautier, K., Hoang, S., Moncuquet, M., & Meyer-Vernet, N. 2001, Space Sci. Rev., 97, 105 [Google Scholar]
- Issautier, K., Le Chat, G., Meyer-Vernet, N., et al. 2008, Geophys. Res. Lett., 35, L19101 [Google Scholar]
- Johnstone, C. P., Güdel, M., Lüftinger, T., Toth, G., & Brott, I. 2015, A&A, 577, A27 [NASA ADS] [CrossRef] [EDP Sciences] [Google Scholar]
- Kasper, J. C., Stevens, M. L., Lazarus, A. J., Steinberg, J. T., & Ogilvie, K. W. 2007, ApJ, 660, 901 [Google Scholar]
- Kasper, J. C., Stevens, M. L., Korreck, K. E., et al. 2012, ApJ, 745, 162 [NASA ADS] [CrossRef] [Google Scholar]
- Kasper, J. C., Abiad, R., Austin, G., et al. 2016, Space Sci. Rev., 204, 131 [NASA ADS] [CrossRef] [Google Scholar]
- Korreck, K. E., Szabo, A., Nieves Chinchilla, T., et al. 2020, ApJS, 246, 69 [Google Scholar]
- Krimigis, S. M., Decker, R. B., Roelof, E. C., et al. 2019, Nat. Astron., 3, 997 [Google Scholar]
- Le Chat, G., Meyer-Vernet, N., & Issautier, K. 2009, AIP Conf. Ser., 1094, 365 [Google Scholar]
- Le Chat, G., Issautier, K., & Meyer-Vernet, N. 2012, Sol. Phys., 279, 197 [Google Scholar]
- Maksimovic, M., Hoang, S., Meyer-Vernet, N., et al. 1995, J. Geophys. Res., 100, 19881 [Google Scholar]
- Maksimovic, M., Bale, S. D., Berčič, L., et al. 2020, ApJS, 246, 62 [Google Scholar]
- McComas, D. J., Allegrini, F., Bzowski, M., et al. 2014, ApJS, 213, 20 [Google Scholar]
- McComas, D. J., Alexander, N., Angold, N., et al. 2016, Space Sci. Rev., 204, 187 [Google Scholar]
- McComas, D. J., Zirnstein, E. J., Bzowski, M., et al. 2017, ApJS, 229, 41 [Google Scholar]
- McComas, D. J., Bzowski, M., Dayeh, M. A., et al. 2020, ApJS, 248, 26 [Google Scholar]
- Meyer-Vernet, N. 1979, J. Geophys. Res., 84, 5373 [Google Scholar]
- Meyer-Vernet, N. 1999, Eur. J. Phys., 20, 167 [Google Scholar]
- Meyer-Vernet, N. 2006, IAU Symp., 233, 269 [Google Scholar]
- Meyer-Vernet, N. 2007, Basics of the Solar Wind (Cambridge: Cambridge University Press) [Google Scholar]
- Meyer-Vernet, N., Couturier, P., Hoang, S., et al. 1986, Science, 232, 370 [Google Scholar]
- Meyer-Vernet, N., Issautier, K., & Moncuquet, M. 2017, J. Geophys. Res., 122, 7925 [Google Scholar]
- Moncuquet, M., Lecacheux, A., Meyer-Vernet, N., Cecconi, B., & Kurth, W. S. 2005, Geophys. Res. Lett., 32, L20S02 [Google Scholar]
- Moncuquet, M., Matsumoto, H., Bougeret, J. L., et al. 2006, Adv. Space Res., 38, 680 [Google Scholar]
- Moncuquet, M., Meyer-Vernet, N., Issautier, K., et al. 2020, ApJS, 246, 44 [Google Scholar]
- Neugebauer, M., & Snyder, C. W. 1962, Science, 138, 1095 [Google Scholar]
- Parker, E. N. 1958, ApJ, 128, 664 [Google Scholar]
- Parker, E. N. 2001, Ap&SS, 277, 1 [Google Scholar]
- Pilipp, W. G., Muehlhaeuser, K. H., Miggenrieder, H., Rosenbauer, H., & Schwenn, R. 1990, J. Geophys. Res., 95, 6305 [Google Scholar]
- Pulupa, M., Bale, S. D., Bonnell, J. W., et al. 2017, J. Geophys. Res., 122, 2836 [Google Scholar]
- Richardson, J. D., Belcher, J. W., Lazarus, A. J., Paularena, K. I., & Gazis, P. R. 1996, AIP Conf. Proc., 382, 483 [Google Scholar]
- Rouillard, A. P., Kouloumvakos, A., Vourlidas, A., et al. 2020, ApJS, 246, 37 [Google Scholar]
- Schwadron, N. A., & McComas, D. J. 2003, ApJ, 599, 1395 [Google Scholar]
- Schwenn, R., & Marsch, E. 1990, Physics and Chemistry in Space (Springer), 20 [Google Scholar]
- Schwenn, R., Rosenbauer, H., & Miggenrieder, H. 1975, Raumfahrtforschung, 19, 226 [NASA ADS] [Google Scholar]
- Shen, F., Yang, Z., Zhang, J., Wei, W., & Feng, X. 2018, ApJ, 866, 18 [Google Scholar]
- Steinberg, J. T., Lazarus, A. J., Ogilvie, K. W., Lepping, R., & Byrnes, J. 1996, Geophys. Res. Lett., 23, 1183 [Google Scholar]
- Štverák, Š., Maksimovic, M., Trávníček, P. M., et al. 2009, J. Geophys. Res., 114, A05104 [Google Scholar]
- Viall, N. M., & Borovsky, J. E. 2020, J. Geophys. Res. Space Phys., 125, e26005 [Google Scholar]
- Vourlidas, A., Howard, R. A., Plunkett, S. P., et al. 2016, Space Sci. Rev., 204, 83 [NASA ADS] [CrossRef] [Google Scholar]
- Wang, Y. X., Guo, X. C., Wang, C., et al. 2020, Space Weather, 18, e02262 [Google Scholar]
- Wenzel, K. P., Marsden, R. G., Page, D. E., & Smith, E. J. 1992, A&AS, 92, 207 [Google Scholar]
- Whittlesey, P. L., Larson, D. E., Kasper, J. C., et al. 2020, ApJS, 246, 74 [Google Scholar]
- Zhao, L. L., Zank, G. P., Adhikari, L., et al. 2020, ApJS, 246, 26 [Google Scholar]
All Tables
All Figures
![]() |
Fig. 1 Solar wind density, speed, and energy flux measurements by PSP during Encounter One (from October 31, 2018 00:00:00 to November 12, 2018 00:00:00 UTC). First panel: QTN electron density. Second panel: proton bulk speed. A red horizontal line (Vp = 300 km s−1) is plotted forreference. Third panel: solar wind energy flux W. Fourth panel: solar wind energy flux normalized to one solar radius |
| In the text | |
![]() |
Fig. 2 Solar wind density, speed, and energy flux measurements by PSP for Encounter Two (March 30, 2019 00:00:00 to April 11, 2019 00:00:00 UTC). This figure follows the same format as that of Fig. 1. |
| In the text | |
![]() |
Fig. 3 Solar wind density, speed, and energy flux measurements by PSP for Encounter Four (from January 23, 2020 00:00:00 to February 4, 2020 00:00:00 UTC), which follows the same format as that of Fig. 1. |
| In the text | |
![]() |
Fig. 4 Solar wind density, speed, and energy flux measurements by PSP for Encounter Five (from June 1, 2020 00:00:00 to June 13, 2020 00:00:00 UTC), which follows the same format as that of Fig. 1. |
| In the text | |
![]() |
Fig. 5 Distributions of solar wind energy flux (WR) normalized to one solar radius with a ratio between α particle number density (nα) and electron number density (ne) ranging from1 to 4% for Encounters E01, E02, E04, and E05. (a)–(c): assume nα∕ne = 1, 2.5, and 4%, respectively, to illustrate the uncertainty due to the absence of α measurements. Average and median values of each histogram are indicated with Gaussian fits superimposed in blue. Center value and standard deviation (full-width-half-maximum) of the Gaussian fit are also presented. |
| In the text | |
![]() |
Fig. 6 Variation of W and its components with heliocentric distance combining observations from Encounter One (E01), Two (E02), Four (E04), and Five (E05). From top to bottom: evolution of W, Wkinetic∕W, Wenthalpy∕W, and Wg∕W with heliocentric distance are shown, respectively. The fitted profile (yellow) is superimposed on each corresponding panel, respectively. |
| In the text | |
Current usage metrics show cumulative count of Article Views (full-text article views including HTML views, PDF and ePub downloads, according to the available data) and Abstracts Views on Vision4Press platform.
Data correspond to usage on the plateform after 2015. The current usage metrics is available 48-96 hours after online publication and is updated daily on week days.
Initial download of the metrics may take a while.







