| Issue |
A&A
Volume 650, June 2021
|
|
|---|---|---|
| Article Number | A141 | |
| Number of page(s) | 4 | |
| Section | Planets and planetary systems | |
| DOI | https://doi.org/10.1051/0004-6361/202140736 | |
| Published online | 21 June 2021 | |
Homogeneous model for the TRAPPIST-1e planet with an icy layer
Instituto de Matemática e Estatística, Universidade de São Paulo,
São Paulo 05508-090,
SP, Brazil
e-mail: This email address is being protected from spambots. You need JavaScript enabled to view it.
Received:
5
March
2021
Accepted:
23
April
2021
In this work, we investigate whether a multilayered planet can be approximated as a homogeneous planet, and in particular how well the dissipation rate of a multilayered planet can be reproduced with a homogeneous rheology. We study the case of a stratified body with an icy crust that, according to recent studies, displays a double peak feature in the tidal response that cannot be reproduced with a homogeneous planet with an Andrade rheology. We revisit the problem with a slightly more complex rheology for the homogeneous body, the Sundberg–Cooper rheology, which naturally has a double peak feature, and apply the model to the TRAPPIST-1e planet. Our results compare very well with the results obtained when employing a multilayered model, showing that it is possible to approximate the behavior of a multilayer icy planet with a homogeneous planet using the Sundberg–Cooper rheology. This highlights the fact that we do not need the complexity of the multilayer planet model in order to estimate the tidal dissipation of an icy planet.
Key words: planets and satellites: terrestrial planets / planets and satellites: interiors / celestial mechanics
© ESO 2021
1 Introduction
Large amounts of data collected in recent decades from space missions as well as terrestrial and orbital observatories have allowed the structure and dynamics of celestial bodies in our Solar System to be constrained with ever increasing precision. Understanding the accurate observations of the rotation of the planets and icy moons of the Solar System currently requires, and allows for, the modeling of their stratified structures, which are typically composed of icy crusts, subsurface oceans, molten mantles, and solid cores, among other possibilities. Several models that account for the layered internal structure of these bodies have appeared in the recent literature (Matsuyama 2014; Matsuyama et al. 2018; Folonier & Ferraz-Mello 2017; Boué et al. 2017; Bolmont et al. 2020). The more complex the model, the more parameters have to be fit from the data. For exoplanets and exomoons, the extremely limited information we have regarding their structure and dynamics severely constrains the number of parameters that can be employed in the models. In these cases, homogeneous models come in handy, with fewer parameters to fit. The question now is how well a multilayered planet can be approximated by a homogeneous body. The answer depends on the phenomena we are interested in. Here, we try to answer this question for the dissipation rate of a stratified body with an icy crust. The inspiration for this work comes from the recent paper by Bolmont et al. (2020). In that paper the authors observe two peaks in the frequency dependence of the dissipation rate for a multilayered planet, TRAPPIST-1e, that has an icy crust. Here we study the same planet with parameters compatible with the ones in Bolmont et al. (2020) but modeled after a homogeneous rheology (Sundberg–Cooper) that is able to reproduce the double-peaked feature of the dissipation.
This paper is organized as follows. In Sect. 2, we present the motivation of the work. In Sect. 3, we present the equations required to calculate the dissipation rate for a homogeneous body with the Sundberg–Cooper rheology, which is a mixed Andrade–Maxwell–Voigt rheology, and in Sect. 4 we apply the model to the motion of TRAPPIST-1e and compare the results to those in Bolmont et al. (2020). Section 5 summarizes our results.
2 The double-peaked feature of the dissipation for bodies with an ice layer
In Bolmont et al. (2020), the authors apply their multilayered modeling to two types of planets: terrestrial planets and planets with an icy crust. For the terrestrial planets, the authors found that the tidal dissipation of the energy of stratified bodies is well approximated by that of a homogeneous model with the Andrade rheology. In the presence of an icy crust, the dissipation dependence on the frequency changes qualitatively at low frequencies: Two peaks in the dissipation appear; the first can be fit using the Andrade rheology, but the second requires a different rheology. At high frequencies, the Andrade rheology is once again applicable.
The simplest rheological model with two dissipation peaks at low frequencies is the well-known Burgers rheology in Fig. 1 (Shoji et al. 2013). It would then be natural to use a model that displays Burgers behavior at low frequencies and Andrade behavior at high frequencies. Such a composite viscoelastic model was proposed by Sundberg & Cooper (2010) to incorporate both the effects of elastically accommodated grain boundary sliding and the transient diffusion creep observed in fine-grained peridotite. The viscoelastic oscillator with Sundberg–Cooper rheology can be seen in Fig. 2. The rheology was previously used to model the interiors of Mars, Io, and some exoplanets by Renaud & Henning (2018) and Bagheri et al. (2019).
The qualitative comparison of the dissipation rate for various rheologies can be seen in Fig. 3. One can observe that the Sundberg–Cooper rheology indeed has two peaks in the dissipation rate at intermediate frequencies and preserves the Andrade behavior at high frequencies. The parameter values used to plot the figure are given in Tables 1 to 3. The details on how to calculate the energy dissipation rate with the Sundberg–Cooper rheology are discussed in the next section.
![]() |
Fig. 1 General oscillator with a Burgers rheology. The external force f(t) splits into the force λ(t), which acts upon the rheology array, and the force f(t) − λ(t), which acts upon the γ spring. |
![]() |
Fig. 3 Imaginary part of the Love number for four different rheologies. The dashed vertical line marks the value of the TRAPPIST-1e mean rotation rate. |
3 Energy dissipation and the Love number
In Gevorgyan et al. (2020), the authors obtained an analytic formula for the tidal energy dissipation rate of a body in 1: 1 spin–orbit resonance on a slightly eccentric planar orbit in the presence of forced librations. If we discard the contribution from the forced librations (here we are not interested in this contribution, which could be added to the problem if needed), the equation for the average energy dissipation rate becomes
(1)
where k2(ω), ω, n, R, G, m1, m2, and e are, respectively, the Love number, rotation frequency, mean rotation rate, mean radius, gravitational constant, mass of the planet, mass of the host body, and orbit eccentricity.
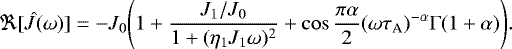
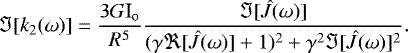
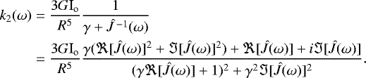
The frequency-dependent part of the dissipation rate is encoded in the imaginary part of the Love number, k2 (ω). The following expression for k2(ω) was obtained in Correia et al. (2018) using the “association principle” in the frequency domain,
(2)
where γ, μ, and Ĵ (ω) are, respectively, the rigidity constant, inertia constant, and creep function, and where Io is the mean moment of inertia of the planet. This formula is valid for an arbitrary rheology represented by a general oscillator.
The association principle was formulated by Ragazzo & Ruiz (2017) and can be used to obtain equations of motion and rheology parameters, such as the Love number in the frequency domain, for an arbitrary rheology represented by a general oscillator, such as those in Figs. 1 and 2. The one-dimensional general oscillators are constructed from spring-dashpot systems (bottom part in Figs. 1 and 2), used to represent linear viscoelastic rheologies, by adding a parallel spring of elastic constant, γ, which represents gravity.
If the inertia of deformation is neglected (μ = 0), as assumed in this paper, then
(3)
This expression is equivalent to the
used in Efroimsky (2015, Eq. (36)). A detailed comparison of the two notations can be found in Correia et al. (2018, Sect. 4). The imaginary part of the Love number that controls the behavior of the dissipation is given by
(4)
For the Sundberg–Cooper rheology in Fig. 2,
(5)
where J0 = 1∕α0, J1 = 1∕α1, τM = η0∕α0 is the Maxwell time and
is the Andrade time, with α and A being parameters of the Andrade element. The other parameters are defined in Table 1. The physical dimensions of η0, η1 and α0, α1 are 1∕s and 1∕s2, respectively.These constants can be obtained from the parameters in Table 2 with the usual dimensions (viscosity[Pas] and elasticity[Pa]) if the parameters are multiplied by
![\[\frac{152\pi}{15}\frac{R}{m_{1}}=4.15375\times10^{-17}\, \mathrm{m\,kg^{-1}}.\]](/articles/aa/full_html/2021/06/aa40736-21/aa40736-21-eq8.png)
The unusual dimension of these parameters and of γ as well as the equivalence of the two sets of parameters are explained in detail in Correia et al. (2018, Sects. 2.1 and 4). Consequently,
(6)
Equations (1), (4), (6), and (7) combined are used in the next section to evaluate the dissipative behavior of the TRAPPIST-1e planet modeled after the Sundberg–Cooper rheology.
4 TRAPPIST-1e
As an application of the Sundberg–Cooper rheology, we study the revolution of the TRAPPIST-1e planet. TRAPPIST-1e is a solid, close-to-Earth-sized exoplanet orbiting within the habitable zone around the ultra-cool dwarf star TRAPPIST-1 (Gillon et al. 2017; Grimm et al. 2018). We assume the planet to be a homogeneous body with a Sundberg–Cooper rheology that is experiencing tidal deformations due to its host star. The parameters and assumptions on the planet orbit are either the same as or close to the ones in Bolmont et al. (2020) and can be seen in Table 3. The mean moment of inertia and the rigidity constant in Table 3 are estimated using the approach in Correia et al. (2018). We assume that the planet is in 1:1 spin–orbit resonance with its host red dwarf. The orbit is assumed to be planar and just slightly eccentric.
We are interested in reproducing the dissipation rate of the planet modeled after a multilayered rheology with an icy layer in Bolmont et al. (2020). As mentioned before, it suffices to study the frequency dependence of the imaginary part of the Love number. In Fig. 4 (top) we plot ℑ[k2 (ω)] against ω for three different values of the viscosity parameter, η1, of the Voigt element (1017, 1019, and 1021 Pa s) and observe the behavior of the second dissipation peak. We see that with increased viscosity the peak migrates to the left, closer and closer to the first peak. This behavior mimics the behavior in Fig. 4 (bottom), which was obtained with a multilayered model. The viscosities used in our model are 103 times larger than those of the ice employed in Bolmont et al. (2020). It is important to note that the viscosity of the Voigt element in our model isjust part of a whole rheological model and, unlike in Bolmont et al. (2020), does not relate directly to the actual ice crust in TRAPPIST-1e conditions. The remaining parameters were chosen such that we observe the same dissipation rate as that in Bolmont et al. (2020); they are given in Table 1. Overall, one can see from Fig. 4 that the imaginary part of the Love number for the homogeneous model with the Sundberg–Cooper rheology (top) can reproduce the same curve for the multilayered body (bottom).
In Fig. 5, we plot the energy dissipation rate dependence on the frequency for η1 = 1019 Pa s and e = 0.00452 using Eq. (1). We estimate the dissipation rate for three possible orbit eccentricities and compare the results to the ones obtained by Bolmont et al. (2020) for a multilayered body with no icy layer. According to these authors, the dissipation rate for TRAPPIST-1e increases by ~15% when an icy layer is assumed. One can see from Table 4 that the ~ 15% difference is preserved for all three eccentricities.
Orbital parameters for the TRAPPIST-1e planet taken from Bolmont et al. (2020) or calculated.
![]() |
Fig. 4 Comparison of dissipation for homogeneous and stratified rheologies. Top: imaginary part of the Love number for TRAPPIST-1e modeled after the Sundberg–Cooper rheology for different values of η1 and τA = 1.18 × τM. The dashed vertical line marks the value of the TRAPPIST-1e mean rotation rate. Bottom: same as top but for multilayeredrheology. The figure is taken from Bolmont et al. (2020, Fig. 11). |
![]() |
Fig. 5 Dissipation rate for η1 = 1019 Pa s and τA = 1.18 × τM. The dashed vertical line marks the value of the TRAPPIST-1e mean rotation rate. |
Energy dissipation rate for three possible TRAPPIST-1e orbit eccentricities for the multilayer model (MLM) with no icy layer (or a low iron composition) taken from Bolmont et al. (2020) and for the homogeneous model (HM) with an icy layer obtained here.
5 Conclusions
We have shown that a multilayered body with an icy layer can be reasonably approximated by a homogeneous body with the Sundberg–Cooper rheology as long as we are interested in the tidal dissipation of energy in the body. The mean dissipation rate at the rotation frequency as well as its behavior for the entire range of frequencies obtained here for the body modeled with an effective rheology are in very good agreement with the values obtained for the multilayeredbody in Bolmont et al. (2020). Our results support the idea that for some bodies and ranges of parameters we do not really need to use complex multilayer models and that effective homogeneous models can be a good approximation for possibly stratified planets and satellites. It would be interesting to study the connection between theparameters of homogeneous and stratified models, such as the relationship between the viscosity parameters in the Sundberg–Cooper rheology and the viscosities of the actual components of the stratified bodies being modeled.
Acknowledgements
The author thanks Clodoaldo G. Ragazzo (IME/USP) for useful discussions and a careful reading of the manuscript, and J. Ricardo G. Mendonça (EACH/USP) and an anonymous referee for several remarks and many suggestions improving the manuscript. The author is partially supported by FAPESP, Brazil under grant no. 2019/25356-9.
References
- Bagheri, A., Khan, A., Al-Attar, D., Crawford, O., & Giardini, D. 2019, J. Geophys. Res. (Planets), 124, 2703 [CrossRef] [Google Scholar]
- Bolmont, E., Breton, S. N., Tobie, G., et al. 2020, A&A, 644, A165 [CrossRef] [EDP Sciences] [Google Scholar]
- Boué, G., Rambaux, N., & Richard, A. 2017, Celest. Mech. Dyn. Astron., 129, 449 [CrossRef] [Google Scholar]
- Correia, A. C. M., Ragazzo, C., & Ruiz, L. S. 2018, Celest. Mech. Dyn. Astron., 130, 51 [CrossRef] [Google Scholar]
- Efroimsky, M. 2015, AJ, 150, 98 [NASA ADS] [CrossRef] [Google Scholar]
- Folonier, H. A., & Ferraz-Mello, S. 2017, Celest. Mech. Dyn. Astron., 129, 359 [NASA ADS] [CrossRef] [Google Scholar]
- Gevorgyan, Y., Boué, G., Ragazzo, C., Ruiz, L. S., & Correia, A. C. M. 2020, Icarus, 343, 113610 [CrossRef] [Google Scholar]
- Gillon, M., Triaud, A. H. M. J., Demory, B.-O., et al. 2017, Nature, 542, 456 [Google Scholar]
- Grimm, S. L., Demory, B.-O., Gillon, M., et al. 2018, A&A, 613, A68 [NASA ADS] [CrossRef] [EDP Sciences] [Google Scholar]
- Matsuyama, I. 2014, Icarus, 242, 11 [NASA ADS] [CrossRef] [Google Scholar]
- Matsuyama, I., Beuthe, M., Hay, H. C. F. C., Nimmo, F., & Kamata, S. 2018, Icarus, 312, 208 [NASA ADS] [CrossRef] [Google Scholar]
- Ragazzo, C., & Ruiz, L. S. 2017, Celest. Mech. Dyn. Astron., 128, 19 [CrossRef] [Google Scholar]
- Renaud, J. P., & Henning, W. G. 2018, ApJ, 857, 98 [Google Scholar]
- Shoji, D., Hussmann, H., Kurita, K., & Sohl, F. 2013, Icarus, 226, 10 [CrossRef] [Google Scholar]
- Sundberg, M., & Cooper, R. F. 2010, Phil. Mag., 90, 2817 [CrossRef] [Google Scholar]
All Tables
Orbital parameters for the TRAPPIST-1e planet taken from Bolmont et al. (2020) or calculated.
Energy dissipation rate for three possible TRAPPIST-1e orbit eccentricities for the multilayer model (MLM) with no icy layer (or a low iron composition) taken from Bolmont et al. (2020) and for the homogeneous model (HM) with an icy layer obtained here.
All Figures
![]() |
Fig. 1 General oscillator with a Burgers rheology. The external force f(t) splits into the force λ(t), which acts upon the rheology array, and the force f(t) − λ(t), which acts upon the γ spring. |
| In the text | |
![]() |
Fig. 2 Same as Fig. 1 but for the Sundberg–Cooper rheology. |
| In the text | |
![]() |
Fig. 3 Imaginary part of the Love number for four different rheologies. The dashed vertical line marks the value of the TRAPPIST-1e mean rotation rate. |
| In the text | |
![]() |
Fig. 4 Comparison of dissipation for homogeneous and stratified rheologies. Top: imaginary part of the Love number for TRAPPIST-1e modeled after the Sundberg–Cooper rheology for different values of η1 and τA = 1.18 × τM. The dashed vertical line marks the value of the TRAPPIST-1e mean rotation rate. Bottom: same as top but for multilayeredrheology. The figure is taken from Bolmont et al. (2020, Fig. 11). |
| In the text | |
![]() |
Fig. 5 Dissipation rate for η1 = 1019 Pa s and τA = 1.18 × τM. The dashed vertical line marks the value of the TRAPPIST-1e mean rotation rate. |
| In the text | |
Current usage metrics show cumulative count of Article Views (full-text article views including HTML views, PDF and ePub downloads, according to the available data) and Abstracts Views on Vision4Press platform.
Data correspond to usage on the plateform after 2015. The current usage metrics is available 48-96 hours after online publication and is updated daily on week days.
Initial download of the metrics may take a while.



![\begin{equation*}\Re[\hat{J}(\omega)]=-J_{0}\Bigg(1 + \frac{J_1/J_{0}}{1+(\eta_{1} J_1\omega)^2} + \cos \frac{\pi\alpha}{2}(\omega\tau_{\textrm{A}})^{-\alpha}\Gamma(1+\alpha)\Bigg).\end{equation*}](/articles/aa/full_html/2021/06/aa40736-21/aa40736-21-eq10.png)

