| Issue |
A&A
Volume 651, July 2021
Rosetta mission full comet phase results
|
|
|---|---|---|
| Article Number | C2 | |
| Number of page(s) | 1 | |
| Section | Planets and planetary systems | |
| DOI | https://doi.org/10.1051/0004-6361/201935018e | |
| Published online | 09 July 2021 | |
Distributed glycine in comet 67P/Churyumov-Gerasimenko (Corrigendum)
1
Laboratoire Interuniversitaire des Systèmes Atmosphériques (LISA), UMR CNRS 7583, Université Paris Diderot and Université Paris Est Créteil,
Créteil, France
e-mail: This email address is being protected from spambots. You need JavaScript enabled to view it.
2
INAF – Osservatorio Astronomico di Trieste,
Via Tiepolo 11,
34143
Trieste, Italy
3
Physikalisches Institut, University of Bern,
Sidlerstrasse 5,
3012
Bern, Switzerland
4
Center for Space and Habitability, University of Bern,
Sidlerstrasse 5,
3012
Bern, Switzerland
5
LESIA, Observatoire de Paris, Université PSL, CNRS, Sorbonne Université, Univ. Paris Diderot, Sorbonne Paris Cité,
5 place Jules Janssen,
92195
Meudon, France
6
INAF - Istituto di Astrofisica e Planetologia Spaziali, Ricerca Tor Vergata,
Via Fosso del Cavaliere 100,
00133
Rome, Italy
7
Università degli Studi di Napoli Parthenope, Dip. di Scienze e Tecnologie, CDN IC4,
80143
Naples, Italy
8
IRAP, Université de Toulouse, CNRS, UPS,
Toulouse, France
9
Max-Planck-Institut für Sonnensystemforschung,
Justus-von-Liebig-Weg 3,
37077,
Göttingen, Germany
Key words: comets: individual: 67P/Churyumov-Gerasimenko / astrochemistry / errata, addenda
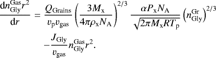
Equations (5) and (6) in the published version were incorrectly written. In addition to that, the units given in the first sentence below Eqs. (4) and (5) were incorrect. The correct versions are given below. However, the results presented in the paper were computed with the correct formulas. The figures, results, and discussion are therefore not affected.
In Sect. 2.1, the text related to Eqs. (4) and (5) should read:
Equation (4) is related to the decrease in the number of glycine molecules in a dust particule, and n
(molec) is the total number of glycine molecules in a dust particle at a nucleocentric distance r. Additionally, Eq. (5) is related to the glycine density profile; n
(molec m−3) is the volumic density of gaseous glycine at a nucleocentric distance r.
© K. Hadraoui et al. 2021
Open Access article, published by EDP Sciences, under the terms of the Creative Commons Attribution License (https://creativecommons.org/licenses/by/4.0), which permits unrestricted use, distribution, and reproduction in any medium, provided the original work is properly cited.
Current usage metrics show cumulative count of Article Views (full-text article views including HTML views, PDF and ePub downloads, according to the available data) and Abstracts Views on Vision4Press platform.
Data correspond to usage on the plateform after 2015. The current usage metrics is available 48-96 hours after online publication and is updated daily on week days.
Initial download of the metrics may take a while.

