Fig. 1.

Download original image
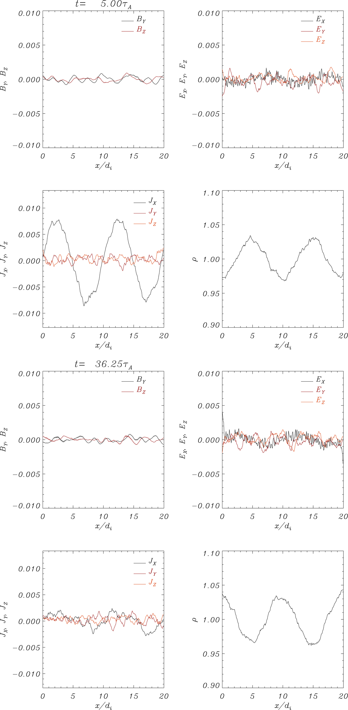
Results from the numerical experiments. Top panel: macroscopic variables calculated from the hybrid simulations at t = 5τA. In this plot βe = 6 × 10−2 and βp = 10−2. Bottom panel: same as the top panel, but at a later stage, t = 36.25τA. A standing ion-acoustic mode is excited in system. In this simulation L = 20 di (di is the ion-inertial length) and k = 2 × 2π/L. The magnetic field is normalised as B = Bunits/B0 and the electric field as E = cEunits/vAB0, where c is the speed of light and vA the equilibrium Alfvén speed. The density is normalised to the equilibrium density. For visualisation purposes a smoothing of the macroscopic variables has been applied over ten grid cells. The temporal evolution is available as an online movie.
Current usage metrics show cumulative count of Article Views (full-text article views including HTML views, PDF and ePub downloads, according to the available data) and Abstracts Views on Vision4Press platform.
Data correspond to usage on the plateform after 2015. The current usage metrics is available 48-96 hours after online publication and is updated daily on week days.
Initial download of the metrics may take a while.