Free Access
| Issue |
A&A
Volume 660, April 2022
|
|
|---|---|---|
| Article Number | A24 | |
| Number of page(s) | 20 | |
| Section | Astrophysical processes | |
| DOI | https://doi.org/10.1051/0004-6361/202141914 | |
| Published online | 04 April 2022 | |
Movies
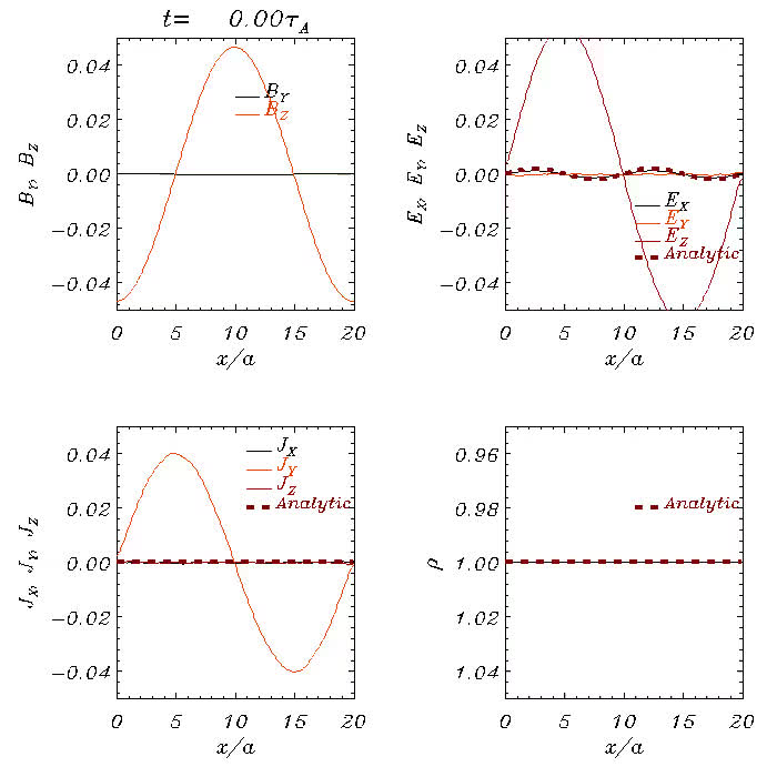
Movie 1 associated with Fig. 1 (fig1)
Download Video: Formats: mp4 (1.6 MB) | webm (246.2 KB) | ogg (5.0 MB) | Original mp4 (1.6 MB)
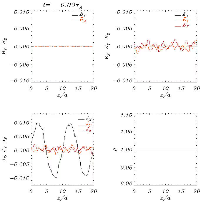
Movie 2 associated with Fig. 8 (fig8)
Download Video: Formats: mp4 (1.5 MB) | webm (237.2 KB) | ogg (6.4 MB) | Original mp4 (1.5 MB)
© ESO 2022
Current usage metrics show cumulative count of Article Views (full-text article views including HTML views, PDF and ePub downloads, according to the available data) and Abstracts Views on Vision4Press platform.
Data correspond to usage on the plateform after 2015. The current usage metrics is available 48-96 hours after online publication and is updated daily on week days.
Initial download of the metrics may take a while.