Open Access
Fig. A.2.

Download original image
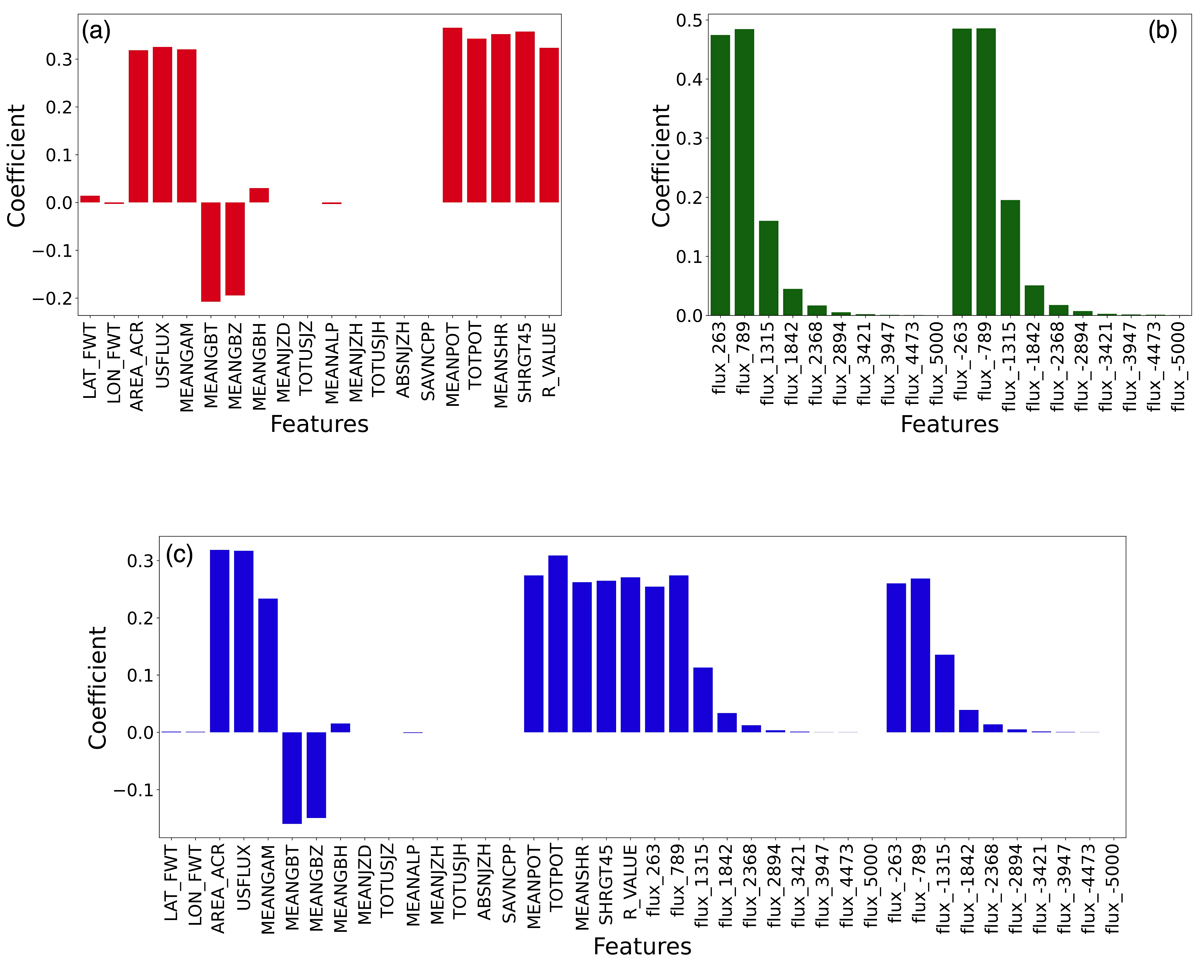
Weights of the features. (a) SHARPs, (b) topological, and (c) combined features in the first principal component of the corresponding feature set for one of the ten training sets examined in this paper. Labels of the topological features indicate the flux level of the threshold value used to construct those features.
Current usage metrics show cumulative count of Article Views (full-text article views including HTML views, PDF and ePub downloads, according to the available data) and Abstracts Views on Vision4Press platform.
Data correspond to usage on the plateform after 2015. The current usage metrics is available 48-96 hours after online publication and is updated daily on week days.
Initial download of the metrics may take a while.