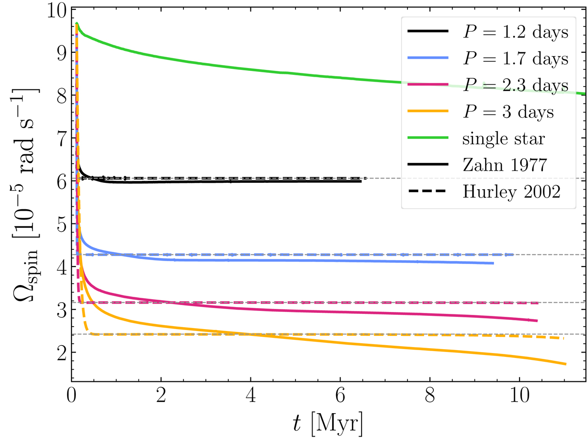
Fig. 2.

Download original image
MS Ωspin evolution in the spin-down case for stellar models with initial velocity v/vcrit = 0.5 and orbital periods P = [1.2, 1.7, 2.3, 3] days with the tidal torques defined in Eqs. (12) (Zahn 1977, solid line) and (13) (Hurley et al. 2002, dashed line). The grey dashed lines represent the orbital angular velocities corresponding to the selected periods. The single star evolution is shown as a reference.
Current usage metrics show cumulative count of Article Views (full-text article views including HTML views, PDF and ePub downloads, according to the available data) and Abstracts Views on Vision4Press platform.
Data correspond to usage on the plateform after 2015. The current usage metrics is available 48-96 hours after online publication and is updated daily on week days.
Initial download of the metrics may take a while.