Open Access
Issue
A&A
Volume 681, January 2024
Article Number L1
Number of page(s) 7
Section Letters to the Editor
DOI https://doi.org/10.1051/0004-6361/202348424
Published online 22 December 2023

© The Authors 2023

Licence Creative CommonsOpen Access article, published by EDP Sciences, under the terms of the Creative Commons Attribution License (https://creativecommons.org/licenses/by/4.0), which permits unrestricted use, distribution, and reproduction in any medium, provided the original work is properly cited.

This article is published in open access under the Subscribe to Open model. Subscribe to A&A to support open access publication.

1. Introduction

Tidal interaction is one of the crucial ingredients in binary system modeling. Despite the recent strides in tidal theory through the development of the resonance locking approach (see, e.g., Witte & Savonije 2002; Burkart et al. 2012; Fuller 2017; Ma & Fuller 2021; Zanazzi & Wu 2021), the formalisms of Zahn (1977, hereafter Z77) for dynamical tides and Hut (1981, hereafter H81) for equilibrium tides remain largely used in detailed binary simulations and population synthesis studies. Z77 derived secular equations for tides in both radiative and convective regions, highlighting radiative damping on the dynamical tides and viscous friction acting on the equilibrium tides as the primary dissipation mechanisms. However, the most widely used formalism for equilibrium tides is that of H81 as their expressions are valid for any eccentricity. Even so, H81 did not treat dynamical tides with radiative damping, and therefore we still rely on Z77 in this case. In order to make the calculations of tides simpler to implement, there have been attempts to unify equilibrium and dynamical tides into a single framework.

In Hurley et al. (2002, hereafter H02), the authors propose a derivation in which dynamical and equilibrium tides are incorporated in a simple way into the H81 formalism. This method has been extensively used in binary and triple modeling, and in population synthesis studies (e.g., Hurley et al. 2002; Sepinsky et al. 2007; Belczynski et al. 2008; Paxton et al. 2015; Toonen et al. 2016; Qin et al. 2018; Fragos et al. 2023).

In this letter we highlight that in many studies dynamical tides are implemented inconsistently with Z77. We identify two types of inconsistencies. First, certain studies incorrectly implement the synchronization equation, deviating from the Z77 definition. Second, we point out that the H02 derivation, although simple to implement, contains implicit approximations that make it inconsistent with Z77. In some cases this prescription can lead to results significantly different from those obtained with Z77, which can impact many binary and triple modeling results.

2. Theory

2.1. Zahn and Hut formalisms

The aim of this section is to emphasize the mathematical differences between the secular equations in the two cases, equilibrium tides by H81 and dynamical tides by Z77, and to show why the two formalisms cannot be combined in a single description without losing consistency. We start by recalling the expressions obtained by H81 in the case of equilibrium tides. They are given by Eqs. (10) and (11) in their paper:

d e d t | Eq = 27 ( k T ) c q ( 1 + q ) ( R a ) 8 e ( 1 e 2 ) 13 / 2 · ( f 3 ( e 2 ) 11 18 ( 1 e 2 ) 3 / 2 f 4 ( e 2 ) Ω spin Ω orb ) , d d t ( I Ω spin ) | Eq = 3 ( k T ) c M R 2 q 2 ( R a ) 6 Ω orb ( 1 e 2 ) 6 · ( f 2 ( e 2 ) ( 1 e 2 ) 3 / 2 f 5 ( e 2 ) Ω spin Ω orb ) . $$ \begin{aligned}&\left.\frac{\text{ d}e}{\text{ d}t}\right|_{\rm Eq}=-27\left(\frac{k}{T}\right)_{\rm c}q(1+q)\left(\frac{R}{a}\right)^8\frac{e}{(1-e^2)^{13/2}} \nonumber \\&\qquad \qquad \cdot \left(f_3(e^2)-\frac{11}{18}(1-e^2)^{3/2}f_4(e^2) \frac{\Omega _{\rm spin}}{\Omega _{\rm orb}}\right),\nonumber \\&\left.\frac{\text{ d}}{\text{ d}t}\left(I\Omega _{\rm spin}\right)\right|_{\rm Eq}=3\left(\frac{k}{T}\right)_{\rm c}MR^2q^2\left(\frac{R}{a}\right)^6\frac{\Omega _{\rm orb}}{(1-e^2)^{6}}\nonumber \\&\qquad \qquad \cdot \left(f_2(e^2)-(1-e^2)^{3/2}f_5(e^2)\frac{\Omega _{\rm spin}}{\Omega _{\rm orb}}\right). \end{aligned} $$(1)

Here e is the eccentricity of the orbit, Ωspin and Ωorb the spin and orbital angular velocities, k the apsidal motion constant, T a typical timescale for orbital changes due to tidal evolution, q = M2/M the mass ratio, I the moment of inertia, R the stellar radius, a the semimajor axis; f2 − 5 are polynomials in e2 whose definition are given in H81; the subscript c refers to convective damping and the subscript Eq to equilibrium tides. From these equations, we can obtain the circularization and synchronization timescales defined as

1 τ circ | Eq e ˙ e | e 0 , Ω spin Ω orb = 21 2 ( k T ) c q ( 1 + q ) ( R a ) 8 , 1 τ sync | Eq Ω ˙ spin Ω spin Ω orb | e 0 , I = const = 3 ( k T ) c M R 2 I q 2 ( R a ) 6 . $$ \begin{aligned}&\left.\frac{1}{\tau _{\mathrm{circ}}}\right|_{\rm Eq} \equiv -\left.\frac{\dot{e}}{e}\right|_{e\approx 0,\ \Omega _{\mathrm{spin}}\approx \Omega _{\rm orb}}=\frac{21}{2}\left(\frac{k}{T}\right)_{\rm c}q(1+q)\left(\frac{R}{a}\right)^8,\nonumber \\&\left.\frac{1}{\tau _{\rm sync}}\right|_{\rm Eq} \equiv -\left.\frac{\dot{\Omega }_{\mathrm{spin}}}{\Omega _{\mathrm{spin}}-\Omega _{\mathrm{orb}}}\right|_{e\approx 0,\ I=\text{ const}}=3\left(\frac{k}{T}\right)_{\mathrm{c}}\frac{MR^2}{I}q^2\left(\frac{R}{a}\right)^6. \end{aligned} $$(2)

It should be noted that these timescales are obtained for e ≈ 0 in both cases, Ωspin ≈ Ωorb in the case of the circularization timescale, and I= const in the case of the synchronization timescale. In other words, we assume that the rotation of the star is already synchronized to the orbit and that the eccentricity is not too large to obtain the circularization timescale.

We now recall the expressions obtained by Z77 for the time evolution of the same quantities in the case of the dynamical tides with radiative damping (i.e., Eqs. (5.6) and (5.10) in their paper1; they already assume e ≈ 0),

d e d t | Dyn = 3 4 e ( GM R 3 ) 1 / 2 q ( 1 + q ) 11 / 6 E 2 ( R a ) 21 / 2 · ( 3 2 1 4 ( 1 + ζ ) 8 / 3 ζ 8 / 3 + 49 4 ( 1 ζ ) 8 / 3 ) , d d t ( I Ω spin ) | Dyn = 3 2 G M 2 R E 2 ( q 2 ( R a ) 6 ) s 22 8 / 3 , $$ \begin{aligned}&\left.\frac{\text{ d}e}{\text{ d}t}\right|_{\mathrm{Dyn}}=-\frac{3}{4}e\left(\frac{GM}{R^3}\right)^{1/2}q(1+q)^{11/6}E_2\left(\frac{R}{a}\right)^{21/2}\nonumber \\&\qquad \qquad \cdot \left(\frac{3}{2}-\frac{1}{4}(1+\zeta )^{8/3}-\zeta ^{8/3}+\frac{49}{4}(1-\zeta )^{8/3}\right),\nonumber \\&\left.\frac{\text{ d}}{\text{ d}t}\left(I\Omega _{\mathrm{spin}}\right)\right|_{\mathrm{Dyn}}=\frac{3}{2}\frac{GM^2}{R}E_2\left(q^2\left(\frac{R}{a}\right)^6\right)s_{22}^{8/3}, \end{aligned} $$(3)

where “Dyn” refers to dynamical tide,

s 22 = 2 ( Ω orb Ω spin ) ( R 3 / G M ) 1 / 2 , ζ = 2 ( Ω spin Ω orb ) / Ω orb . $$ \begin{aligned}&s_{22}=2(\Omega _{\mathrm{orb}}-\Omega _{\mathrm{spin}})(R^3/GM)^{1/2}, \nonumber \\&\zeta =2(\Omega _{\mathrm{spin}}-\Omega _{\mathrm{orb}})/\Omega _{\mathrm{orb}}. \end{aligned} $$(4)

Using Eq. (3), we obtain the circularization and synchronization timescale, defined as above:

1 τ circ | Dyn e ˙ e | e 0 , Ω spin Ω orb = 21 2 ( GM R 3 ) 1 / 2 q ( 1 + q ) 11 / 6 E 2 ( R a ) 21 / 2 , 1 τ sync , s 22 | Dyn Ω ˙ spin Ω spin Ω orb | e 0 , I = const = 3 ( GM R 3 ) 1 / 2 M R 2 I E 2 ( q 2 ( R a ) 6 ) s 22 5 / 3 . $$ \begin{aligned}&\left.\frac{1}{\tau _{\mathrm{circ}}}\right|_{\mathrm{Dyn}}\equiv -\left.\frac{\dot{e}}{e}\right|_{e\approx 0,\ \Omega _{\mathrm{spin}}\approx \Omega _{\mathrm{orb}}}\nonumber \\&\ \qquad \qquad =\frac{21}{2}\left(\frac{GM}{R^3}\right)^{1/2}q(1+q)^{11/6}E_2\left(\frac{R}{a}\right)^{21/2},\nonumber \\&\left.\frac{1}{\tau _{ \text{ sync},s_{22}}}\right|_{\mathrm{Dyn}}\equiv -\left.\frac{\dot{\Omega }_{\mathrm{spin}}}{\Omega _{\mathrm{spin}}-\Omega _{\mathrm{orb}}}\right|_{e\approx 0,\ I=\text{ const}}\nonumber \\&\ \qquad \qquad =3\left(\frac{GM}{R^3}\right)^{1/2}\frac{MR^2}{I}E_2\left(q^2\left(\frac{R}{a}\right)^6\right)s_{22}^{5/3}. \end{aligned} $$(5)

We indicate by the subscript s22 in Eq. (5) that the synchronization timescale is not constant, but depend on s22 (i.e., on the difference Ωspin − Ωorb). This corresponds to the timescale τrot in Z77. In their paper, Z77 then introduce a new timescale, which they call τsync. The definition of τsync for dynamical tides is not the same as in the case of equilibrium tides above in their paper, for which τsync is defined as in Eq. (2). We refer to this timescale as τsync, const. The idea of this timescale is that it is defined in a form that makes it independent of s22. It is given by

1 τ sync,const | Dyn d d t | Ω spin Ω orb Ω orb | 5 / 3 | e 0 , Ω orb = const , I = const = 5 × 2 5 / 3 ( GM R 3 ) 1 / 2 M R 2 I q 2 ( 1 + q ) 5 / 6 E 2 ( R a ) 17 / 2 . $$ \begin{aligned}&\left.\frac{1}{\tau _{\text{ sync,const}}}\right|_{\text{ Dyn}} \equiv \left.\frac{\text{ d}}{\text{ d}t}\left|\frac{\Omega _{\text{ spin}}-\Omega _{\text{ orb}}}{\Omega _{\text{ orb}}}\right|^{-5/3}\right|_{e\approx 0,\ \Omega _{\text{ orb}}=\text{ const},\ I=\text{ const}} \nonumber \\&\qquad \qquad \quad = 5\times 2^{5/3}\left(\frac{GM}{R^3}\right)^{1/2}\frac{MR^2}{I}q^2(1+q)^{5/6}E_2\left(\frac{R}{a}\right)^{17/2}. \end{aligned} $$(6)

This definition for the synchronization timescale is used only in the case of the dynamical tide, as it is the only case where the difference in Ω does not appear linearly in the angular velocity equation. Looking at the equations used in some papers that use the Z77 prescription (e.g., Claret 2004; Siess et al. 2013), it seems there has sometimes been a confusion between τsync, const and τsync, s22. These authors used 1 / τ sync = Ω ˙ spin Ω spin Ω orb $ 1/\tau_{\mathrm{sync}}=-\frac{\dot \Omega_{\mathrm{spin}}}{\Omega_{\mathrm{spin}}-\Omega_{\mathrm{orb}}} $ as the definition for the synchronization timescale, but they assigned the expression of τsync, const (Eq. (7) in Claret 2004 and Eq. (29) in Siess et al. 2013). This confusion may have arisen from the fact that in the original paper (Z77), the definition of τsync is not kept consistent for the two cases (dynamical and equilibrium tides).

2.2. Hurley 2002 derivation

Hurley et al. (2002) proposed a derivation that provides a ratio ( k T ) rad $ \left(\frac{k}{T}\right)_{\mathrm{rad}} $ in the radiative case, which is incorporated into the H81 model of equilibrium tides (see Eq. (1)). It relies on the comparison of the circularization timescales given in Eqs. (2) and (5) in order to obtain the following expression for the ratio

( k T ) rad = G M R 2 a 5 ( 1 + q ) 5 / 6 E 2 $$ \begin{aligned} \left(\frac{k}{T}\right)_{\mathrm{rad}}=\sqrt{\frac{GMR^2}{a^5}}(1+q)^{5/6}E_2 \end{aligned} $$(7)

in the radiative case. Inserting this expression into Eq. (2) in the radiative case gives an expression for the synchronization timescale, which is very similar (up to a constant factor) to that in Eq. (6):

1 τ sync,hur | Dyn Ω ˙ spin Ω spin Ω orb | e 0 , I = const = 3 ( GM R 3 ) 1 / 2 M R 2 I q 2 ( 1 + q ) 5 / 6 E 2 ( R a ) 17 / 2 . $$ \begin{aligned}&\left.\frac{1}{\tau _{ \text{ sync,hur}}}\right|_{\rm Dyn} \equiv -\left.\frac{\dot{\Omega }_{\mathrm{spin}}}{\Omega _{\mathrm{spin}}-\Omega _{\mathrm{orb}}}\right|_{e\approx 0,\ I=\text{ const}}\nonumber \\&\qquad \qquad \qquad =3\left(\frac{GM}{R^3}\right)^{1/2}\frac{MR^2}{I}q^2(1+q)^{5/6}E_2\left(\frac{R}{a}\right)^{17/2}. \end{aligned} $$(8)

We refer to this timescale as τsync, hur, although in their paper H02 do not obtain the same factor in front of the expression, but instead have the 5 × 25/3 factor that comes from Z77. Comparing Eqs. (6) and (8), we note that the expressions of τsync, const and τsync, hur are almost the same, although they have different mathematical definitions. On the other hand, τsync, s22 and τsync, hur have different mathematical expressions, even though their definitions seem to be the same. This is due to the different ways they are obtained. In Appendix A we show a comparison of τsync, s22 and τsync, hur as a function of the difference in Ω.

The problem in the derivation of Eq. (8) is that it relies on the circularization timescales, which are calculated under the simplification that synchronization has already been achieved: Ωspin ≈ Ωorb. Under this assumption the respective dependencies in Ωspin and Ωorb (which are very different) in Eqs. (1) and (3) drop, which allows a somewhat straightforward match between the two circularization timescales. This approach is inconsistent, as in a sense synchronization is assumed in order to obtain an equation for the evolution toward synchronization. One may wonder whether this can be just seen as an additional approximation, and that in the limit Ωspin ≈ Ωorb, the evolution obtained following H02 should converge to the Z77 prescription. But one can actually see that since the difference in Ω is raised to the power 5/3 in Eq. (5), there is no Taylor expansion around Ωspin ≈ Ωorb, and thus the equation does not converge to Eq. (8) when Ωspin ≈ Ωorb. The point is that the approximation Ωspin ≈ Ωorb is applied in the H02 derivation to the eccentricity equation, not the angular velocity equation.

Finally, we note that the H81 formalism was derived for equilibrium tides. Even though comparing the two circularization timescales in order to obtain a value for (k/T)rad, as done by H02, seems reasonable, this method would not work if the circularization timescales were not approximated beforehand, as the respective dependencies in Ω would not drop. As these differences are precisely present because of the different nature of the tides, it does not seem justified to make them disappear.

For these reasons it makes much more sense in our view to directly use Z77 (i.e., Eq. (3)) in order to compute the time evolution of Ωspin and e in the case of dynamical tides with radiative damping.

2.3. Extension and adjustments of Zahn (1977)

Equation (3) has a few flaws, which are discussed in Appendix B. In the rest of the letter we use the following secular equations adapted from the Z77 paper, whose derivations are given in Appendix B. These are the equations we would recommend to use for the dynamical tides when the eccentricity is nonnegligible:

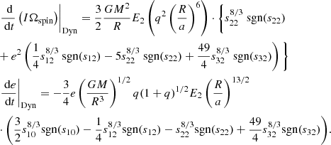
d d t ( I Ω spin ) | Dyn = 3 2 G M 2 R E 2 ( q 2 ( R a ) 6 ) · { s 22 8 / 3 sgn ( s 22 ) + e 2 ( 1 4 s 12 8 / 3 sgn ( s 12 ) 5 s 22 8 / 3 sgn ( s 22 ) + 49 4 s 32 8 / 3 sgn ( s 32 ) ) } d e d t | Dyn = 3 4 e ( GM R 3 ) 1 / 2 q ( 1 + q ) 1 / 2 E 2 ( R a ) 13 / 2 · ( 3 2 s 10 8 / 3 sgn ( s 10 ) 1 4 s 12 8 / 3 sgn ( s 12 ) s 22 8 / 3 sgn ( s 22 ) + 49 4 s 32 8 / 3 sgn ( s 32 ) ) . $$ \begin{aligned}&\left.\frac{\text{ d}}{\text{ d}t}\left(I\Omega _{\mathrm{spin}}\right)\right|_{\mathrm{Dyn}}=\frac{3}{2}\frac{GM^2}{R}E_2\left(q^2\left(\frac{R}{a}\right)^6\right)\cdot \Bigg \{s_{22}^{8/3}\text{ sgn}(s_{22})\nonumber \\ &+e^2\left(\frac{1}{4}s_{12}^{8/3}\text{ sgn}(s_{12})-5s_{22}^{8/3}\text{ sgn}(s_{22})+\frac{49}{4}s_{32}^{8/3}\text{ sgn}(s_{32})\right)\Bigg \}\nonumber \\&\left.\frac{\text{ d}e}{\text{ d}t}\right|_{\mathrm{Dyn}}=-\frac{3}{4}e\left(\frac{GM}{R^3}\right)^{1/2}q(1+q)^{1/2}E_2\left(\frac{R}{a}\right)^{13/2}\nonumber \\&\cdot \Bigg (\frac{3}{2}s_{10}^{8/3}{\mathrm{sgn}}(s_{10})-\frac{1}{4}s_{12}^{8/3}{\mathrm{sgn}}(s_{12})-s_{22}^{8/3}{\mathrm{sgn}}(s_{22})+\frac{49}{4}s_{32}^{8/3}{\mathrm{sgn}}(s_{32})\Bigg ). \end{aligned} $$(9)

2.4. Analytical solutions

Analytical solutions can be obtained in the case of circular orbits (i.e., for both Eqs. (6) and (8)). We note that the analytical solution of Eq. (6) is not found in the literature and should be used instead of that of Eq. (8) in detailed binary simulations and population synthesis studies. We obtain them using the same expression for the synchronization timescale 1 / τ sync = 5 × 2 5 / 3 ( GM R 3 ) 1 / 2 M R 2 I q 2 ( 1 + q ) 5 / 6 E 2 ( R a ) 17 / 2 $ 1/\tau_{\mathrm{sync}}=5\times 2^{5/3}\left(\frac{GM}{R^3}\right)^{1/2}\frac{MR^2}{I}q^2(1+q)^{5/6}E_2\left(\frac{R}{a}\right)^{17/2} $, which is the expression generally used in the literature (the expression of 1/τsync, hur differs from this one by a constant factor).

When the definition in Eq. (6) is used, the analytical solution is a power law

Ω spin ( t ) Ω orb Ω orb = ( ( Ω 0 Ω orb Ω orb ) 5 / 3 + sgn ( Ω 0 Ω orb ) t τ sync ) 3 / 5 , $$ \begin{aligned} \frac{\Omega _{\mathrm{spin}}(t)-\Omega _{\mathrm{orb}}}{\Omega _{\mathrm{orb}}}=\left(\left(\frac{\Omega _{0}-\Omega _{\mathrm{orb}}}{\Omega _{\mathrm{orb}}}\right)^{-5/3}+\text{ sgn} (\Omega _0-\Omega _{\mathrm{orb}})\frac{t}{\tau _{\mathrm{sync}}}\right)^{-3/5}, \end{aligned} $$(10)

where Ω0 = Ωspin(t = 0) and assuming that Ωorb and τsync are constant. When the definition in Eq. (8) is used, the analytical solution is an exponential decay:

Ω spin ( t ) Ω orb Ω orb = ( Ω 0 Ω orb Ω orb ) exp ( t τ sync ) . $$ \begin{aligned} \frac{\Omega _{\mathrm{spin}}(t)-\Omega _{\mathrm{orb}}}{\Omega _{\mathrm{orb}}}=\left(\frac{\Omega _{0}-\Omega _{\mathrm{orb}}}{\Omega _{\mathrm{orb}}}\right)\exp \left(-\frac{t}{\tau _{\mathrm{sync}}}\right). \end{aligned} $$(11)

In Fig. 1 we compare the analytical solutions for typical values for a system of two M = 15 M stars at zero age main sequence. We use R = 3.3 × 109 m, r g 2 =I/M R 2 =0.075 $ r_g^2=I/MR^2=0.075 $, E2 = 3.4 × 10−6, and P = 2.3 days, giving Ω orb = 2 π P = 3.16 × 10 5 $ \Omega_{\mathrm{orb}}=\frac{2\pi}{P}=3.16\times 10^{-5} $ rad s−1, a = ( G ( M + M 2 ) Ω orb 2 ) 1 / 3 0.11 $ a=\left(\frac{G(M+M_2)}{\Omega_{\mathrm{orb}}^2}\right)^{1/3}\approx 0.11 $ au, and τsync ≈ 6.5 × 104 years. We give for the initial condition Ω0 = 9 × 10−5 rad s−1. In the upper panel the relative departure from synchronism, Ω spin Ω orb Ω orb $ \frac{\Omega_{\mathrm{spin}}-\Omega_{\mathrm{orb}}}{\Omega_{\mathrm{orb}}} $ is depicted as a function of time. In the lower panel, the corresponding torques d d t ( I Ω spin ) $ \frac{\text{ d}}{\text{ d}t}(I\Omega_{\mathrm{spin}}) $ can be seen. The Zahn torque was computed consistently with Eq. (9) in the case e ≈ 0,

d d t ( I Ω spin ) zahn = 3 2 G M 2 R E 2 ( q 2 ( R a ) 6 ) sgn ( s 22 ) s 22 8 / 3 , $$ \begin{aligned} \frac{\text{ d}}{\text{ d}t}\left(I\Omega _{\mathrm{spin}}\right)_{\mathrm{zahn}}=\frac{3}{2}\frac{GM^2}{R}E_2\left(q^2\left(\frac{R}{a}\right)^6\right)\text{ sgn}(s_{22})s_{22}^{8/3} ,\end{aligned} $$(12)

thumbnail Fig. 1.

Evolution toward synchronization depending on the adopted definition for τsync. Upper panel: analytical solutions of Eqs. (6) (blue curve) and (8) (orange curve) as functions of t/τsync. Lower panel: torques as functions of t/τsync.

and the Hurley torque was computed consistently with Eq. (8), but with the expression of the timescale of (6):

d d t ( I Ω spin ) hur = 5 × 2 5 / 3 ( GM R 3 ) 1 / 2 M R 2 q 2 ( 1 + q ) 5 / 6 E 2 ( R a ) 17 / 2 · ( Ω orb Ω spin ) . $$ \begin{aligned}&\frac{\text{ d}}{\text{ d}t}\left(I\Omega _{\mathrm{spin}}\right)_{\mathrm{hur}}=5\times 2^{5/3}\left(\frac{GM}{R^3}\right)^{1/2}MR^2q^2(1+q)^{5/6}E_2\left(\frac{R}{a}\right)^{17/2}\nonumber \\&\qquad \qquad \qquad \cdot (\Omega _{\mathrm{orb}}-\Omega _{\mathrm{spin}}). \end{aligned} $$(13)

We see by comparing the two curves in Fig. 1 that depending on the adopted definition for the synchronization timescale the evolution toward synchronization is very different, which is not surprising as the two analytical solutions have different mathematical expressions. Using the definition of H02 (i.e., Eq. (8)), the solution is an exponential decay, which decreases much faster. This implies that a model of dynamical tides using the definition of τsync as in Eq. (8) would in general lead to an overestimation of the strength of the tides. More precisely, the Zahn expression for the torque has a stronger dependence on the difference in Ω than the Hurley expression. When the star is far from synchronism (t/τsync ≲ 0.2), this results in a stronger torque with the Zahn expression. However, as the star gets close to synchronization, the small difference in Ω being raised to the power 8/3 induces a much smaller torque, as can be seen in Fig. 1 when t/τsync ≳ 0.2.

3. Stellar models

In this section we show the results of main sequence (MS) stellar evolution using the two different expressions for the tidal torque: Eqs. (12) and (13). We restrict ourselves to the case of circular orbits, but intend to extend this work to eccentric systems in a follow-up study.

3.1. Ingredients of the stellar models

We used the GENeva Evolutionary Code (GENEC; Eggenberger et al. 2008) to compute the stellar evolution from the onset of central H burning and stopped the simulation when the star filled its Roche lobe. In order to obtain a strong core-envelope coupling (i.e., a case close to solid body rotation), the transport of angular momentum (AM) was computed accounting for the effects of the Tayler-Spruit dynamo (Spruit 2002, Maeder & Meynet 2004). Apart from the AM transport, the stellar physics was handled as in Ekström et al. (2012). The size of the convective core was increased with a step overshoot scheme with αov = 0.1.

We modeled the impact of dynamical tides as in Song et al. (2013, 2016, 2018), who implemented the tides in GENEC. For each model, we computed a comparative model with the Hurley torque.

In order to obtain a case close to the theoretical one, where M, R, and the other quantities in the right hand side of Eq. (6) remain constant throughout the evolution, we did not include stellar winds in the simulations. We kept the orbital velocity constant throughout the simulation, which in this case is equivalent to assuming that the separation does not evolve. For E2, we used the latest prescription from Qin et al. (2018) for MS stars:

E 2 = 10 0.42 · ( R conv / R ) 7.5 . $$ \begin{aligned} E_2 = 10^{-0.42}\cdot (R_{\mathrm{conv}}/R)^{7.5} . \end{aligned} $$(14)

3.2. Spin-down case

The time evolution of the surface angular velocity (Ωspin) of 15 M, Z = Z stellar models with a companion of equal mass, circular orbits, and orbital periods P = [1.2, 1.7, 2.3, 3] days, corresponding to orbital angular velocities Ωorb = [6.06, 4.28, 3.16, 2.42]×10−5 rad/s is presented in Fig. 2. We give the stellar models an initial velocity of v0/vcrit = 0.5 (where vcrit is the critical velocity computed as in Ekström et al. 2012), which corresponds to an angular velocity of Ω0 = 9.6 × 10−5 rad/s (i.e., the spin-down case). Spin-up cases are discussed in Appendix C. We compare the evolution of the surface angular velocity depending on the formula used for the torque, and we show as a reference the evolution of the surface angular velocity for the single star evolution.

thumbnail Fig. 2.

MS Ωspin evolution in the spin-down case for stellar models with initial velocity v/vcrit = 0.5 and orbital periods P = [1.2, 1.7, 2.3, 3] days with the tidal torques defined in Eqs. (12) (Zahn 1977, solid line) and (13) (Hurley et al. 2002, dashed line). The grey dashed lines represent the orbital angular velocities corresponding to the selected periods. The single star evolution is shown as a reference.

The solid lines represent the evolution obtained with the Zahn torque (Eq. (12)) and the dashed lines the evolution with the Hurley torque (Eq. (13)). We note the following differences comparing the evolution obtained with the two prescriptions. When the original Z77 formula is used, the models reach synchronization later and do not remain synchronized for very long, in particular for longer periods, where the tides are less strong. For all periods except P = 1.2 days, the surface angular velocity starts deviating from the orbital angular velocity, as the tides are not strong enough to keep it synchronized. This can be explained by the fact that when the stellar evolution is taken into account, the angular velocity is also modified by the evolution: the natural evolution of Ωspin during the MS is a decrease due to the expansion of the radius and the conservation of AM. This natural decrease in Ωspin can be observed looking at the single star evolution (cyan line). When tides are taken into account, the evolution toward (or away from) synchronization depends on the strength of the two processes affecting Ωspin: the decrease due to the expansion, and the tidal torque which tends to synchronize the angular velocity to the orbital one. As already noted in Sect. 2.4, one of the main differences between the two torques is that in the Zahn torque in Eq. (3), the difference in Ω is raised to the power 8/3, whereas it only appears linearly in the Hurley torque (13). When this difference becomes small (i.e., when the star is close to synchronization), the power 8/3 implies that the Zahn torque becomes much smaller than the Hurley torque. The torque can be insufficient to keep the star synchronized, which can be seen in the late evolution of the stars with P > 1.2 days. The fact that the difference in Ω only appears linearly in the Hurley torque implies that this expression is more efficient at maintaining the star close to synchronization.

In Fig. 3 we study in greater detail the evolution of the relative departure from synchronism (defined as in Sect. 2.4) at the beginning of the simulations. Consistently with the analytical solutions derived in Sect. 2.4, we observe that in the P = 2.3 days case, the Zahn expression for the torque implies a stronger decay of Ω spin Ω orb Ω orb $ \frac{\Omega_{\mathrm{spin}}-\Omega_{\mathrm{orb}}}{\Omega_{\mathrm{orb}}} $ at the beginning of the evolution, as the difference in Ω is initially large. When the difference becomes smaller, the situation is inverted and the Hurley torque becomes stronger. This is even more visible for the P = 3 days case, where the difference in Ω is initially greater (as Ωorb is smaller). In the P = 1.2, 1.7 days cases, we do not observe any regime in which the Zahn torque is stronger (Ωspin decreases faster with the Hurley torque from the start). This is due to the fact that as the initial periods are smaller, the Ωorb values are larger, and thus closer to Ω0, or equivalently the differences in Ω are small from the start. In any case, we see that the synchronization is systematically reached more quickly with the Hurley formula.

thumbnail Fig. 3.

Evolution for t ≲ 100 kyr of the relative departure from synchronization Ω spin Ω orb Ω orb $ \frac{\Omega_{\mathrm{spin}}-\Omega_{\mathrm{orb}}}{\Omega_{\mathrm{orb}}} $ in the spin-down case for stellar models with initial velocity v/vcrit = 0.5 and orbital periods P = [1.2, 1.7, 2.3, 3] days with the tidal torques defined in Eqs. (12) (Zahn 1977, solid line) and (13) (Hurley et al. 2002, dashed line).

4. Conclusions and discussions

The present results show that the adopted definition for the synchronization timescale, or equivalently the adopted equation for the tidal torque in the case of the dynamical tides in radiative zones has an impact on the evolution toward synchronization. This is not surprising given the analytical solutions provided in the simple case of circular orbits. As an inconsistent formula has been widely used in the literature, the strength of the dynamical tides has been misestimated in many studies.

Overall, the conclusion of our analysis is that whenever the H02 prescription is used (or equivalently if the definition of the synchronization timescale is taken inconsistently with Eq. (5.8) in Z77), the strength of the tidal torque is underestimated when the star is far from synchronism, and overestimated when it gets close to synchronism compared to the original Z77 prescription.

The H02 prescription for the computation of the parameter E2 was already challenged in earlier studies (e.g., Siess et al. 2013; Qin et al. 2018; Mirouh et al. 2023), which find that the H02 prescription of E2 in general overestimates the strength of the dynamical tides as it does not decrease during the main sequence. The present letter goes further by showing that under their formalism the synchronization timescale is inconsistent with Z77.

This can have important consequences in the modeling of the evolution of close binaries. Here are a few qualitative predictions that can be made based on the results of this study. They will be explored in greater detail in future works.

We expect that when using the original Z77 equation for the torque the tides will be more efficient in spinning down the star when it is far from synchronism, which is typically the case during a mass transfer episode where the secondary quickly reaches critical velocity because of the accretion of AM. This is known as the angular momentum problem (Packet 1981). We believe that by using the original formula for the tidal torque, the secondary would lose more AM than is obtained with the Hurley torque. As the secondary moves far away from synchronism, the regime where the Zahn torque becomes stronger is reached. By removing more AM by tidal interaction, the efficiency of the mass transfer should increase.

Another area where the revision presented here could have implications is in the question of the spin of the second-born black hole (BH) in the merging of binary black holes (BBHs). Several groups (e.g., Kushnir et al. 2016; Hotokezaka & Piran 2017; Qin et al. 2018; Zaldarriaga et al. 2018; Bavera et al. 2020; Belczynski et al. 2020) have studied the impact of the tides on the spin of the second-born black hole in stripped helium star plus black hole systems. This question is of particular interest since the effective inspiral spin parameter χeff is reasonably well constrained in gravitational wave detection (Abbott et al. 2019). As the spin of the first-born BH is expected to be low (e.g., Fragos & McClintock 2015; Belczynski et al. 2020; Bavera et al. 2023), χeff is believed to be proportional to the spin of the second-born BH. In this case, there is an anti-correlation between the merging timescale of the BBHs, Tmerger, and the spin of the second born BH (e.g., Bavera et al. 2020). This can be understood by the fact that in order for the merging timescale to be short, small separations are needed, which increases the strength of the tides and tends to increase the spin of the helium star as the corresponding orbital angular velocities are high. Since several of these studies (Qin et al. 2018; Bavera et al. 2020, 2023; Belczynski et al. 2020) used H02 formulation for dynamical tides, we can expect that the fraction of tidally spun-up BH progenitors and the exact shape of predicted distribution of χeff will be affected by the inconsistencies in the derivation highlighted in this letter. Quantifying the effect requires carrying out binary population synthesis calculations. We leave the more in-depth exploration of this question for a follow-up study.


1

Our Eq. (3) slightly differs from Eqs. (5.6) and (5.10) in Z77 as the definition of the slm is not used consistently throughout the whole paper, which is why it contains sign errors. We keep the original definition for slm, given in Eq. (2.6) in Z77, which is slm = (lΩorb − mΩspin)(R3/GM)1/2.

Acknowledgments

L.S. and S.E. have received support from the SNF project No 212143. S.E., P.E. and G.M. have received funding from the European Research Council (ERC) under the European Union’s Horizon 2020 research and innovation program (grand agreement No 833925, project STAREX). T.F. acknowledges support for this work through the Swiss National Science Foundation (project numbers PP00P2_211006 and CRSII5_213497). H.S. has received support from the National Natural Science Foundation of China (Grant Nos. 11863003, 12173010).

References

  1. Abbott, B. P., Abbott, R., Abbott, T. D., et al. 2019, Phys. Rev. X, 9, 031040 [Google Scholar]
  2. Bavera, S. S., Fragos, T., Qin, Y., et al. 2020, A&A, 635, A97 [NASA ADS] [CrossRef] [EDP Sciences] [Google Scholar]
  3. Bavera, S. S., Fragos, T., Zapartas, E., et al. 2023, Nat. Astron., 7, 1090 [NASA ADS] [CrossRef] [Google Scholar]
  4. Belczynski, K., Kalogera, V., Rasio, F. A., et al. 2008, ApJS, 174, 223 [Google Scholar]
  5. Belczynski, K., Klencki, J., Fields, C. E., et al. 2020, A&A, 636, A104 [NASA ADS] [CrossRef] [EDP Sciences] [Google Scholar]
  6. Burkart, J., Quataert, E., Arras, P., & Weinberg, N. N. 2012, MNRAS, 421, 983 [NASA ADS] [CrossRef] [Google Scholar]
  7. Claret, A. 2004, A&A, 424, 919 [NASA ADS] [CrossRef] [EDP Sciences] [Google Scholar]
  8. Eggenberger, P., Meynet, G., Maeder, A., et al. 2008, Ap&SS, 316, 43 [Google Scholar]
  9. Ekström, S., Georgy, C., Eggenberger, P., et al. 2012, A&A, 537, A146 [Google Scholar]
  10. Fragos, T., & McClintock, J. E. 2015, ApJ, 800, 17 [Google Scholar]
  11. Fragos, T., Andrews, J. J., Bavera, S. S., et al. 2023, ApJS, 264, 45 [NASA ADS] [CrossRef] [Google Scholar]
  12. Fuller, J. 2017, MNRAS, 472, 1538 [Google Scholar]
  13. Hotokezaka, K., & Piran, T. 2017, ApJ, 842, 111 [Google Scholar]
  14. Hurley, J. R., Tout, C. A., & Pols, O. R. 2002, MNRAS, 329, 897 [Google Scholar]
  15. Hut, P. 1981, A&A, 99, 126 [NASA ADS] [Google Scholar]
  16. Kushnir, D., Zaldarriaga, M., Kollmeier, J. A., & Waldman, R. 2016, MNRAS, 462, 844 [NASA ADS] [CrossRef] [Google Scholar]
  17. Ma, L., & Fuller, J. 2021, ApJ, 918, 16 [NASA ADS] [CrossRef] [Google Scholar]
  18. Maeder, A., & Meynet, G. 2004, A&A, 422, 225 [NASA ADS] [CrossRef] [EDP Sciences] [Google Scholar]
  19. Mirouh, G. M., Hendriks, D. D., Dykes, S., Moe, M., & Izzard, R. G. 2023, MNRAS, 524, 3978 [NASA ADS] [CrossRef] [Google Scholar]
  20. Packet, W. 1981, A&A, 102, 17 [NASA ADS] [Google Scholar]
  21. Paxton, B., Marchant, P., Schwab, J., et al. 2015, ApJS, 220, 15 [Google Scholar]
  22. Qin, Y., Fragos, T., Meynet, G., et al. 2018, A&A, 616, A28 [NASA ADS] [CrossRef] [EDP Sciences] [Google Scholar]
  23. Sepinsky, J. F., Willems, B., Kalogera, V., & Rasio, F. A. 2007, ApJ, 667, 1170 [NASA ADS] [CrossRef] [Google Scholar]
  24. Siess, L., Izzard, R. G., Davis, P. J., & Deschamps, R. 2013, A&A, 550, A100 [NASA ADS] [CrossRef] [EDP Sciences] [Google Scholar]
  25. Song, H. F., Maeder, A., Meynet, G., et al. 2013, A&A, 556, A100 [NASA ADS] [CrossRef] [EDP Sciences] [Google Scholar]
  26. Song, H. F., Meynet, G., Maeder, A., Ekström, S., & Eggenberger, P. 2016, A&A, 585, A120 [NASA ADS] [CrossRef] [EDP Sciences] [Google Scholar]
  27. Song, H. F., Meynet, G., Maeder, A., et al. 2018, A&A, 609, A3 [NASA ADS] [CrossRef] [EDP Sciences] [Google Scholar]
  28. Spruit, H. C. 2002, A&A, 381, 923 [CrossRef] [EDP Sciences] [Google Scholar]
  29. Su, Y., & Lai, D. 2021, MNRAS, 510, 4943 [Google Scholar]
  30. Toonen, S., Hamers, A., & Portegies Zwart, S. 2016, Comput. Astrophys. Cosmol., 3, 6 [NASA ADS] [CrossRef] [Google Scholar]
  31. Witte, M. G., & Savonije, G. J. 2002, A&A, 386, 222 [NASA ADS] [CrossRef] [EDP Sciences] [Google Scholar]
  32. Zahn, J. P. 1977, A&A, 57, 383 [Google Scholar]
  33. Zaldarriaga, M., Kushnir, D., & Kollmeier, J. A. 2018, MNRAS, 473, 4174 [Google Scholar]
  34. Zanazzi, J. J., & Wu, Y. 2021, AJ, 161, 263 [NASA ADS] [CrossRef] [Google Scholar]

Appendix A: Comparison of τsync, s22 and τsync, hur

Looking at the expressions of τsync, s22 and τsync, hur, we find that τsync, s22 is dependent on s22 (i.e., on the difference in Ω), which is not the case for τsync, hur. The ratio of τsync, s22 to τsync, hur can be obtained:

τ sync , s 22 τ sync , hur = ( 1 + q ) 5 / 6 ( R a ) 5 / 2 s 22 5 / 3 sgn ( s 22 ) . $$ \begin{aligned} \frac{\tau _{\mathrm{sync},s_{22}}}{\tau _{\mathrm{sync,hur}}}=(1+q)^{5/6}\left(\frac{R}{a}\right)^{5/2}s_{22}^{-5/3}\text{ sgn}(s_{22}). \end{aligned} $$(A.1)

We note that τsync, s22 has been corrected with a sign function in order to be positive no matter the sign of s22 (see comments in Appendix B). The terms in q and R/a come from the Hurley calculation, the term in s22 from the original timescale. Since only the original timescale depends on s22, the ratio of the two timescales has a strong dependence on the difference in Ω. When the star is far from synchronization, τsync, s22 is shorter. When the star is close to synchronization, τsync, s22 diverges. The ratio τ sync , s 22 τ sync , hur $ \frac{\tau_{\mathrm{sync},s_{22}}}{\tau_{\mathrm{sync,hur}}} $ is shown as a function of the difference in Ω with q = 1 and a few values of R/a in Fig. A.1 and with R/a = 0.25 and a few values of q in Fig. A.2. Figures A.1 and A.2 show that, depending on the value of the difference in Ω, the values of the synchronization timescales τsync, s22 and τsync, hur can differ by several orders of magnitude. When Ωspin → Ωorb, the ratio of the two timescales diverges. The present plots also show that only for a single value of the difference in Ω are the two timescales equal. This is all very consistent with the results shown in the analytical part (section 2.4).

thumbnail Fig. A.1.

τ sync , s 22 τ sync , hur $ \frac{\tau_{\mathrm{sync},s_{22}}}{\tau_{\mathrm{sync,hur}}} $ as a function of the difference Ωorb − Ωspin with q = 1 and a few values of R/a (solid lines). The solid lines cross the horizontal dashed line when the two timescales are equal.

thumbnail Fig. A.2.

τ sync , s 22 τ sync , hur $ \frac{\tau_{\mathrm{sync},s_{22}}}{\tau_{\mathrm{sync,hur}}} $ as a function of the difference Ωorb − Ωspin with R/a = 0.25 and a few values of q (solid lines). The solid lines cross the horizontal dashed line when the two timescales are equal.

Appendix B: Derivation of Eq.(9)

The first issue with the angular velocity equation in (3) is that it never provides a negative torque, as the power 8/3 in s22 implies that the expression s 22 8 / 3 $ s_{22}^{8/3} $ is positive no matter the sign of the difference between Ωspin and Ωorb. In order for the torque to always act toward synchronization, Eq. (3) should be rewritten as

d d t ( I Ω spin ) | Dyn = 3 2 G M 2 R E 2 ( q 2 ( R a ) 6 ) s 22 8 / 3 sgn ( s 22 ) , $$ \begin{aligned} \left.\frac{\text{ d}}{\text{ d}t}\left(I\Omega _{\rm spin}\right)\right|_{\rm Dyn}=\frac{3}{2}\frac{GM^2}{R}E_2\left(q^2\left(\frac{R}{a}\right)^6\right)s_{22}^{8/3}\text{ sgn}(s_{22}), \end{aligned} $$(B.1)

as has been done by Su & Lai (2021), among others.

The second issue is that the angular velocity equation (equation (5.6) in Z77 ) neglects the corrections called for when the orbit is eccentric. In order to obtain an equation valid for nonzero eccentricities, we use equation (3.8) in Z77 with

ε n lm = E n s lm 8 / 3 sgn ( s lm ) , $$ \begin{aligned} \varepsilon _n^{lm}=E_ns_{lm}^{8/3}\text{ sgn}(s_{lm}), \end{aligned} $$

which corresponds to equation (5.5) in their paper corrected with a sign function for each term. Applying this definition for ε n lm $ \varepsilon_n^{lm} $ to the secular equations (3.7) and (3.8) of Z77 provides Eq. (9).

Appendix C: Spin-up case

In this section we present the evolution of the surface angular velocity for the same stellar and binarity parameters as in the previous section, but with v0/vcrit = 0.1 as initial velocity for the stellar models (i.e., an angular velocity of Ω0 = 2.1 ⋅ 10−5 rad/s). We compare the evolution of the surface angular velocity depending on the formula used for the torque, and we show as a reference the evolution of the surface angular velocity for the single star evolution. The time evolutions of Ωspin are shown in Fig. C.1. As in the spin-down case, we note that the Zahn torque is less efficient in bringing the star to synchronization. The difference is more pronounced in this case as the initial spin of the star is smaller than the orbital spin. The torque must act against the natural evolution of Ωspin, whereas in the spin-down case they are (initially) acting in the same direction. In the spin-up case we observe that the rotational spins actually never reach the orbital spins with the Zahn torque (even though pseudo-synchronization is visible for the smallest periods).

thumbnail Fig. C.1.

MS Ωspin evolution in the spin-up case for stellar models with initial velocity v/vcrit = 0.1 and orbital periods P = [1.2, 1.7, 2.3, 3] days with the tidal torques defined in Eqs. (12) (Zahn 1977, solid line) and (13) (Hurley 2002, dashed line). The grey dashed lines represent the orbital angular velocities corresponding to the selected periods. The single star evolution is shown as a reference.

All Figures

thumbnail Fig. 1.

Evolution toward synchronization depending on the adopted definition for τsync. Upper panel: analytical solutions of Eqs. (6) (blue curve) and (8) (orange curve) as functions of t/τsync. Lower panel: torques as functions of t/τsync.

In the text
thumbnail Fig. 2.

MS Ωspin evolution in the spin-down case for stellar models with initial velocity v/vcrit = 0.5 and orbital periods P = [1.2, 1.7, 2.3, 3] days with the tidal torques defined in Eqs. (12) (Zahn 1977, solid line) and (13) (Hurley et al. 2002, dashed line). The grey dashed lines represent the orbital angular velocities corresponding to the selected periods. The single star evolution is shown as a reference.

In the text
thumbnail Fig. 3.

Evolution for t ≲ 100 kyr of the relative departure from synchronization Ω spin Ω orb Ω orb $ \frac{\Omega_{\mathrm{spin}}-\Omega_{\mathrm{orb}}}{\Omega_{\mathrm{orb}}} $ in the spin-down case for stellar models with initial velocity v/vcrit = 0.5 and orbital periods P = [1.2, 1.7, 2.3, 3] days with the tidal torques defined in Eqs. (12) (Zahn 1977, solid line) and (13) (Hurley et al. 2002, dashed line).

In the text
thumbnail Fig. A.1.

τ sync , s 22 τ sync , hur $ \frac{\tau_{\mathrm{sync},s_{22}}}{\tau_{\mathrm{sync,hur}}} $ as a function of the difference Ωorb − Ωspin with q = 1 and a few values of R/a (solid lines). The solid lines cross the horizontal dashed line when the two timescales are equal.

In the text
thumbnail Fig. A.2.

τ sync , s 22 τ sync , hur $ \frac{\tau_{\mathrm{sync},s_{22}}}{\tau_{\mathrm{sync,hur}}} $ as a function of the difference Ωorb − Ωspin with R/a = 0.25 and a few values of q (solid lines). The solid lines cross the horizontal dashed line when the two timescales are equal.

In the text
thumbnail Fig. C.1.

MS Ωspin evolution in the spin-up case for stellar models with initial velocity v/vcrit = 0.1 and orbital periods P = [1.2, 1.7, 2.3, 3] days with the tidal torques defined in Eqs. (12) (Zahn 1977, solid line) and (13) (Hurley 2002, dashed line). The grey dashed lines represent the orbital angular velocities corresponding to the selected periods. The single star evolution is shown as a reference.

In the text

Current usage metrics show cumulative count of Article Views (full-text article views including HTML views, PDF and ePub downloads, according to the available data) and Abstracts Views on Vision4Press platform.

Data correspond to usage on the plateform after 2015. The current usage metrics is available 48-96 hours after online publication and is updated daily on week days.

Initial download of the metrics may take a while.