Fig. 10.

Download original image
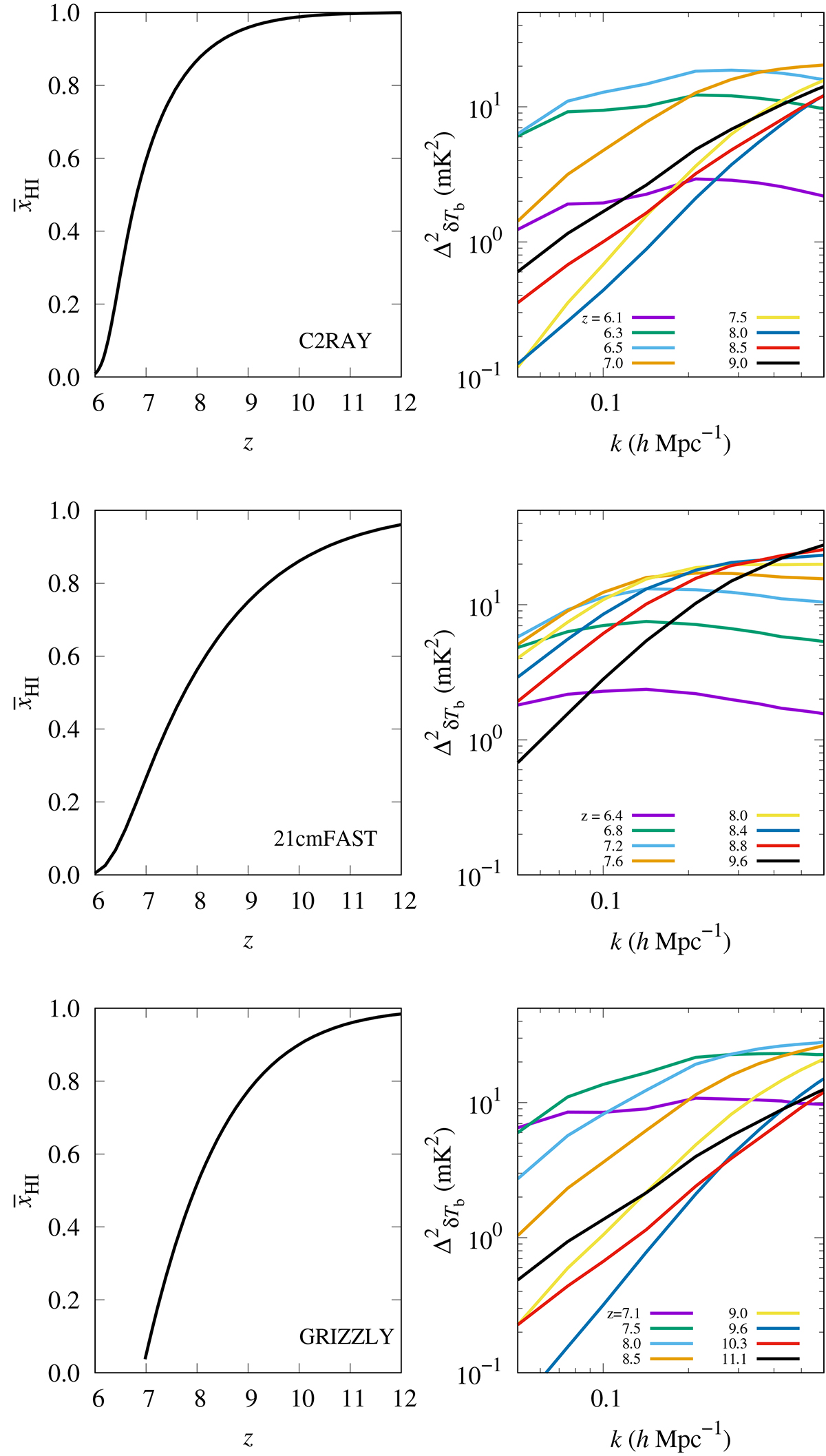
Three different input reionization histories and power spectra which are used to check the performance of our ansatz. The top, middle and bottom panels correspond to C2RAY, 21CMFAST, and GRIZZLY fiducial input reionization scenarios. The left panels show the redshift evolution of while the right panels show the set of input power spectra used in the MCMC analysis.
Current usage metrics show cumulative count of Article Views (full-text article views including HTML views, PDF and ePub downloads, according to the available data) and Abstracts Views on Vision4Press platform.
Data correspond to usage on the plateform after 2015. The current usage metrics is available 48-96 hours after online publication and is updated daily on week days.
Initial download of the metrics may take a while.