Euclid on Sky
Open Access

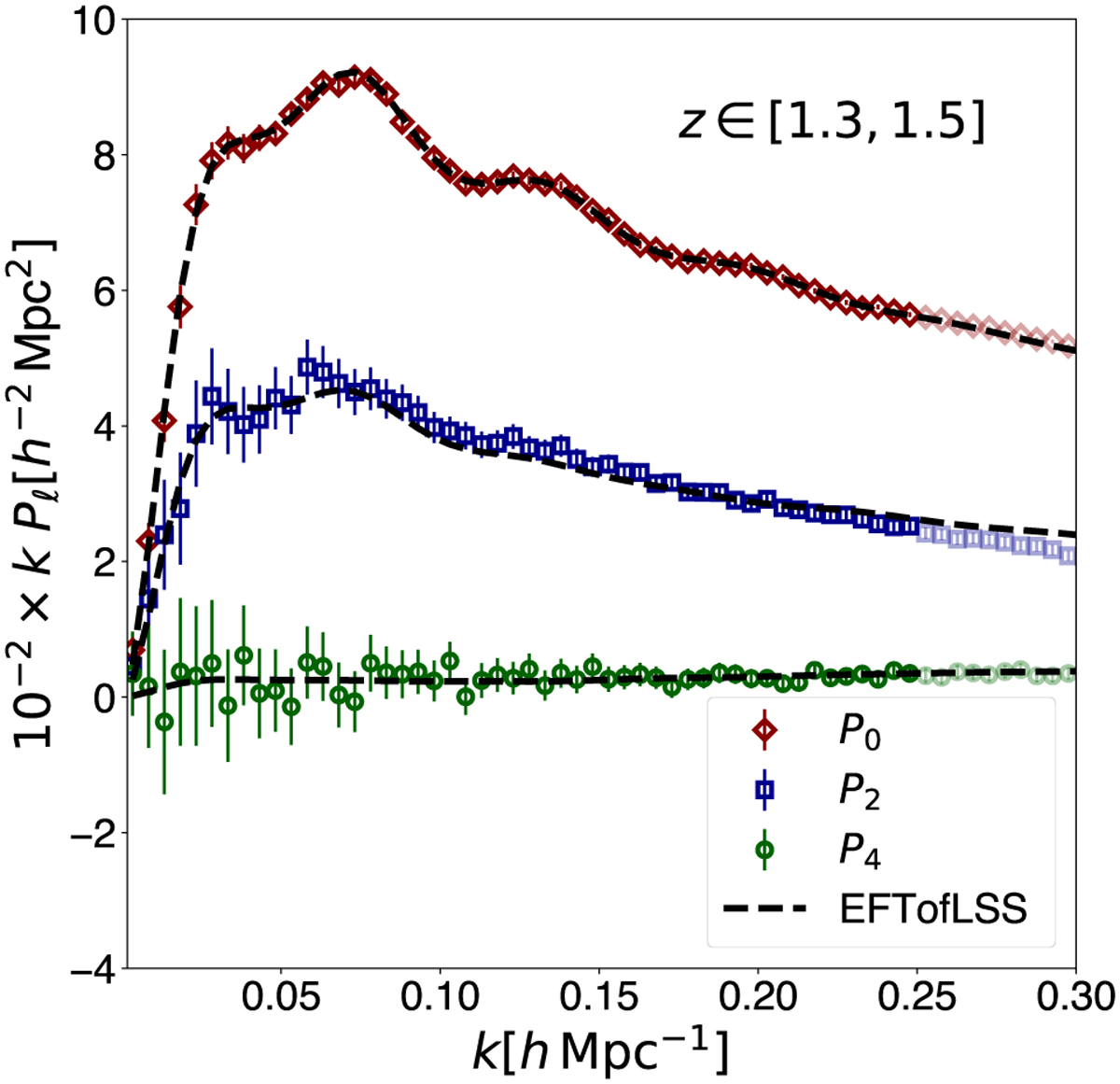
Fig. 2

image

Download original image

Measured galaxy power spectrum multipoles calculated from dedicated mocks (Pezzotta et al. in prep.) based on the Flagship simulation (see Sect. 6.1) of the Euclid emission-line sample for a redshift bin 1.3 < z < 1.5, compared to a best-fit model based on effective field theory (EFT, also called EFTofLSS, see Sect. 8.2.2 for further discussion) assuming kmax = 0.25 h Mpc−1. Error bars here correspond to the Euclid full mission volume for this redshift bin prior to observational effects.

Current usage metrics show cumulative count of Article Views (full-text article views including HTML views, PDF and ePub downloads, according to the available data) and Abstracts Views on Vision4Press platform.

Data correspond to usage on the plateform after 2015. The current usage metrics is available 48-96 hours after online publication and is updated daily on week days.

Initial download of the metrics may take a while.