Open Access

Fig. 2.

image

Download original image

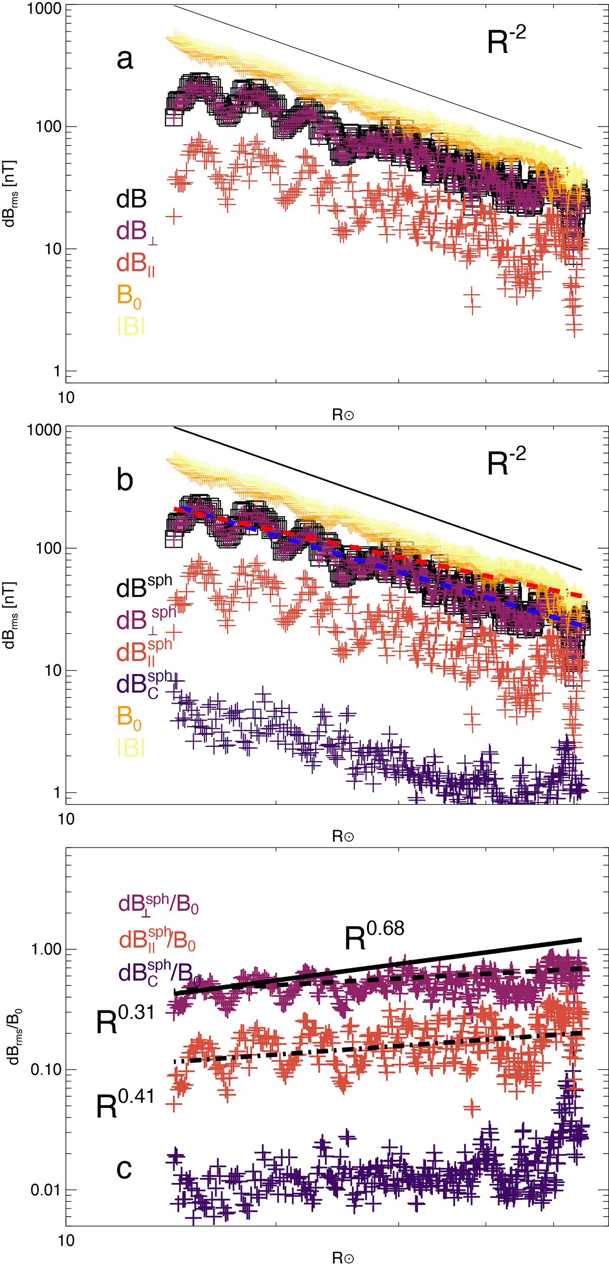
a) Root mean squared dB, dB, and dB (black, maroon, red); magnitude of the mean magnetic field, B0, orange. b) Spherically confined fluctuations, dB, dB, and dB, (black, maroon, red) where all fluctuations maintain a constant magnitude, |Bsph|. The RMS residual fluctuations between the total field and spherically polarized field, dBC, are shown in dark blue. The dashed red line shows the wave amplitude from conservation of wave action with no dissipation. The blue line shows the best fit to dBsph. c) Normalized amplitudes, dBsph/B0, dBsph/B0, and d B C sph / B 0 $ dB^{sph}_{C}/B_0 $. Best fit lines to dBsph/B0 and dBsph/B0 are shown as well as the scaling expected for conservation of wave action.

Current usage metrics show cumulative count of Article Views (full-text article views including HTML views, PDF and ePub downloads, according to the available data) and Abstracts Views on Vision4Press platform.

Data correspond to usage on the plateform after 2015. The current usage metrics is available 48-96 hours after online publication and is updated daily on week days.

Initial download of the metrics may take a while.