Open Access

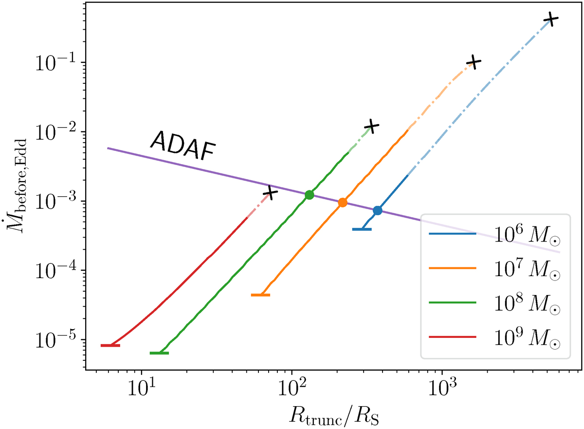
Fig. 7.

image

Download original image

Accretion rate vs truncation radius of thin disc before giant flare. The predicted dependence between the accretion rate and the ADAF outer boundary (9) is also shown. The crosses mark the radius constraint due to self-gravity following (10). The transparent dashed style indicates the Rtrunc region excluded from further analysis.

Current usage metrics show cumulative count of Article Views (full-text article views including HTML views, PDF and ePub downloads, according to the available data) and Abstracts Views on Vision4Press platform.

Data correspond to usage on the plateform after 2015. The current usage metrics is available 48-96 hours after online publication and is updated daily on week days.

Initial download of the metrics may take a while.