Open Access

Fig. 9.

image

Download original image

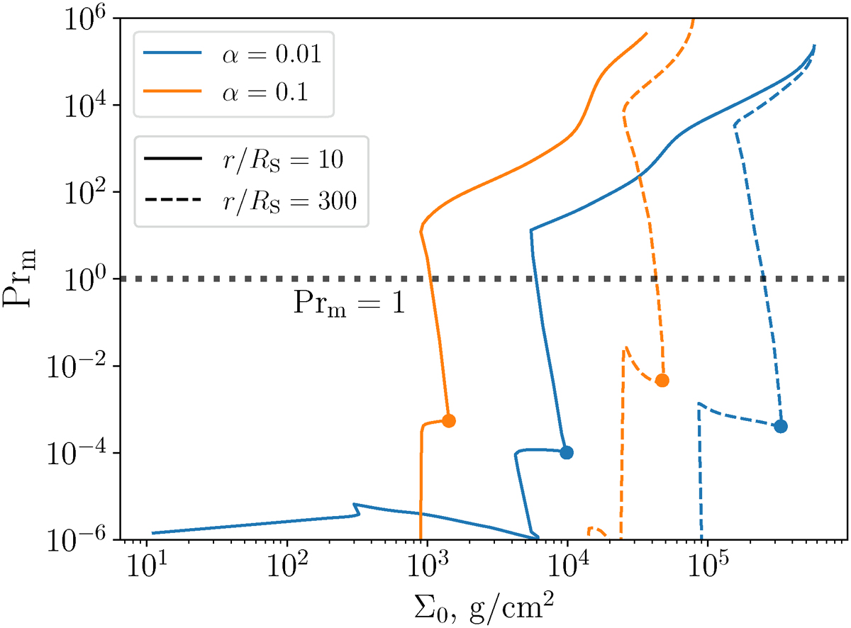
Magnetic Prandtl number calculated for disc around M = 107M for α = 0.1 and 0.01 and radii 10 and 300 RS. The dots mark the locations of the critical surface densities Σ.

Current usage metrics show cumulative count of Article Views (full-text article views including HTML views, PDF and ePub downloads, according to the available data) and Abstracts Views on Vision4Press platform.

Data correspond to usage on the plateform after 2015. The current usage metrics is available 48-96 hours after online publication and is updated daily on week days.

Initial download of the metrics may take a while.