Open Access

Fig. 1

image

Download original image

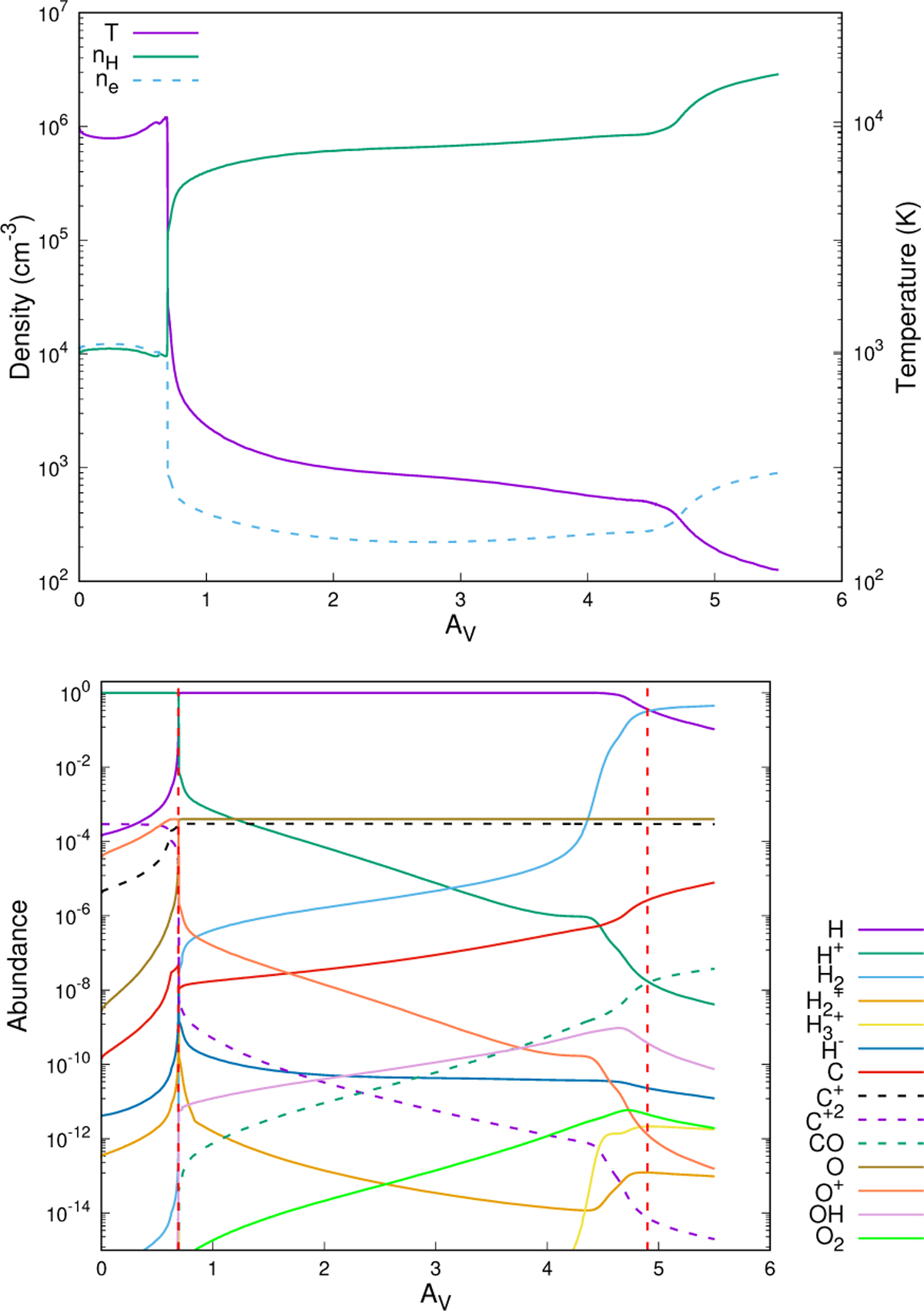
Upper panel: total hydrogen number density, electron number density, and temperature variation. Lower panel: abundance variation of various H, C, and O-related species with respect to total hydrogen nuclei in the HII to PDR obtained from the Cloudy code.

Current usage metrics show cumulative count of Article Views (full-text article views including HTML views, PDF and ePub downloads, according to the available data) and Abstracts Views on Vision4Press platform.

Data correspond to usage on the plateform after 2015. The current usage metrics is available 48-96 hours after online publication and is updated daily on week days.

Initial download of the metrics may take a while.