Open Access

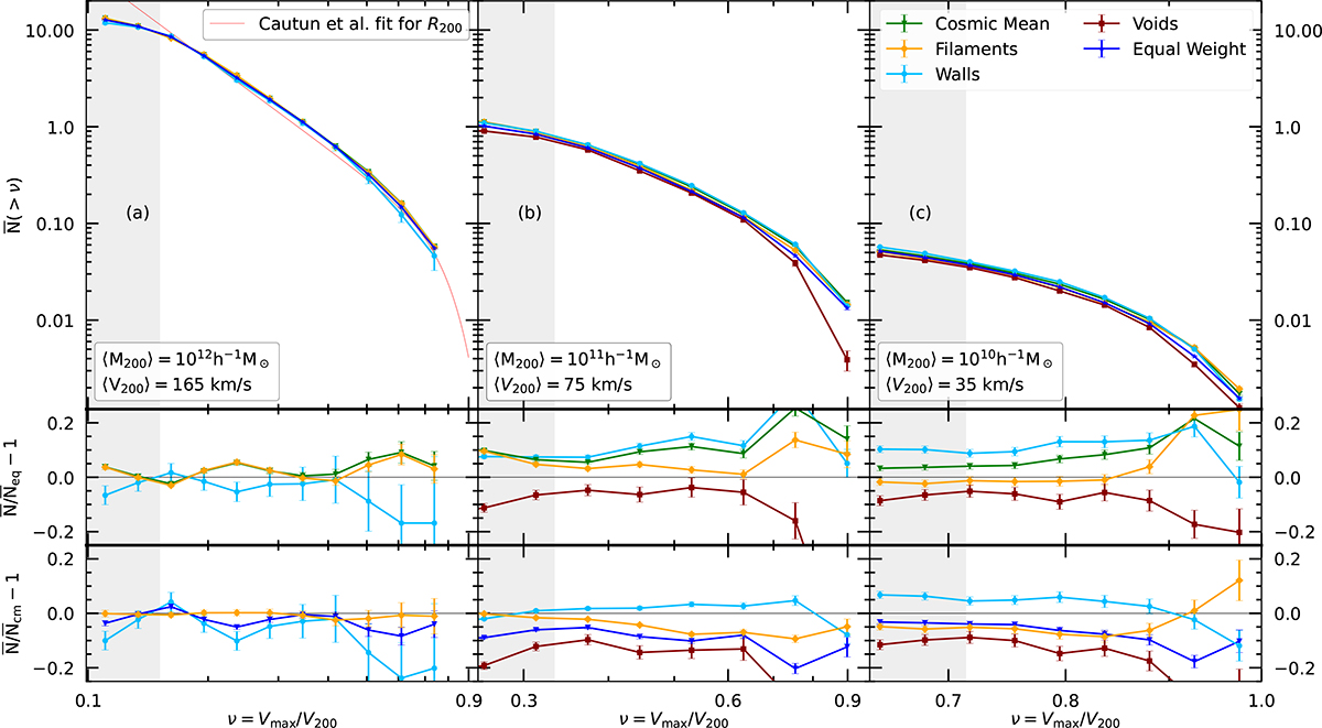
Fig. 4.

image

Download original image

Upper panels: mean cumulative distribution of subhaloes within R200 as a function of ν = Vmax/V200 in the cosmic mean sample (green triangles), filaments (yellow diamonds), walls (light blue circles), voids (dark red squares), and the equally weighted sample (dark blue stars) for different host masses. The solid lines simply connect the data points, in contrast to Fig. 2 in which they represent fits to the data. In the legend, we provide the median V200 for the given host halo mass bin. The solid red line in the figure depicts the best-fit function from Cautun et al. (2014c) for subhaloes within the radius R200. The error bars represent the standard error on the mean, estimated from 1000 bootstrap resamples. Middle panels: Fractional deviation of N ¯ ( > ν ) $ \overline{N}( > \nu) $ for each environment compared to the cumulative velocity function of an equally weighted sample, D. Lower panels: Deviation of N ¯ ( > ν ) $ \overline{N}( > \nu) $ with respect to cosmic mean sample, 𝒟. The uncertainties shown in the ratio panels were computed through standard error propagation.

Current usage metrics show cumulative count of Article Views (full-text article views including HTML views, PDF and ePub downloads, according to the available data) and Abstracts Views on Vision4Press platform.

Data correspond to usage on the plateform after 2015. The current usage metrics is available 48-96 hours after online publication and is updated daily on week days.

Initial download of the metrics may take a while.