Open Access

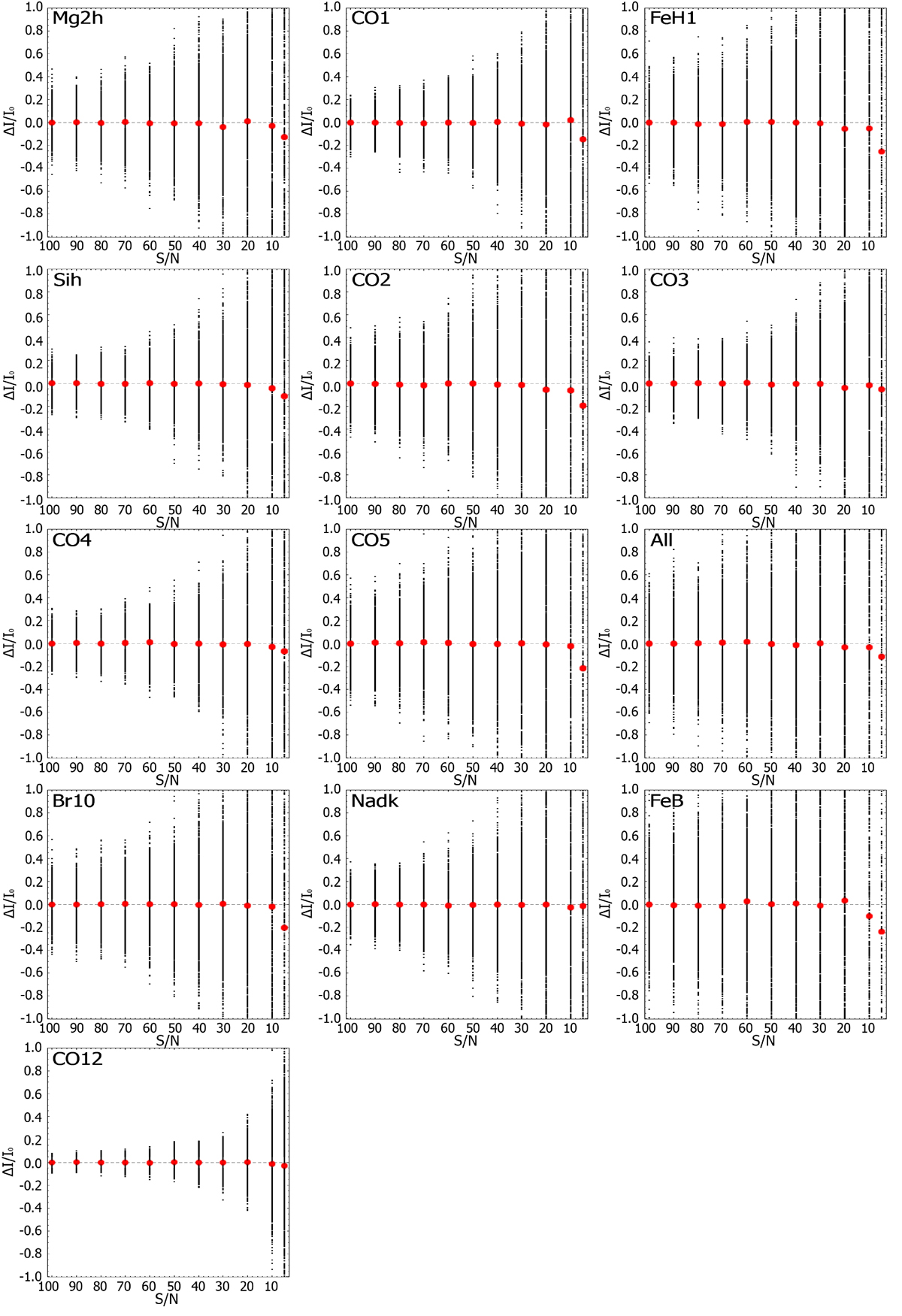
Fig. 2.

image

Download original image

Relative variation of the EW of the 13 NIR indices measured in this paper as a function of the S/N for 1000 simulated spectra for each S/N value. Black points represent the single EW for each simulated spectrum. Red points represent the mean values.

Current usage metrics show cumulative count of Article Views (full-text article views including HTML views, PDF and ePub downloads, according to the available data) and Abstracts Views on Vision4Press platform.

Data correspond to usage on the plateform after 2015. The current usage metrics is available 48-96 hours after online publication and is updated daily on week days.

Initial download of the metrics may take a while.