Open Access

Fig. 2

image

Download original image

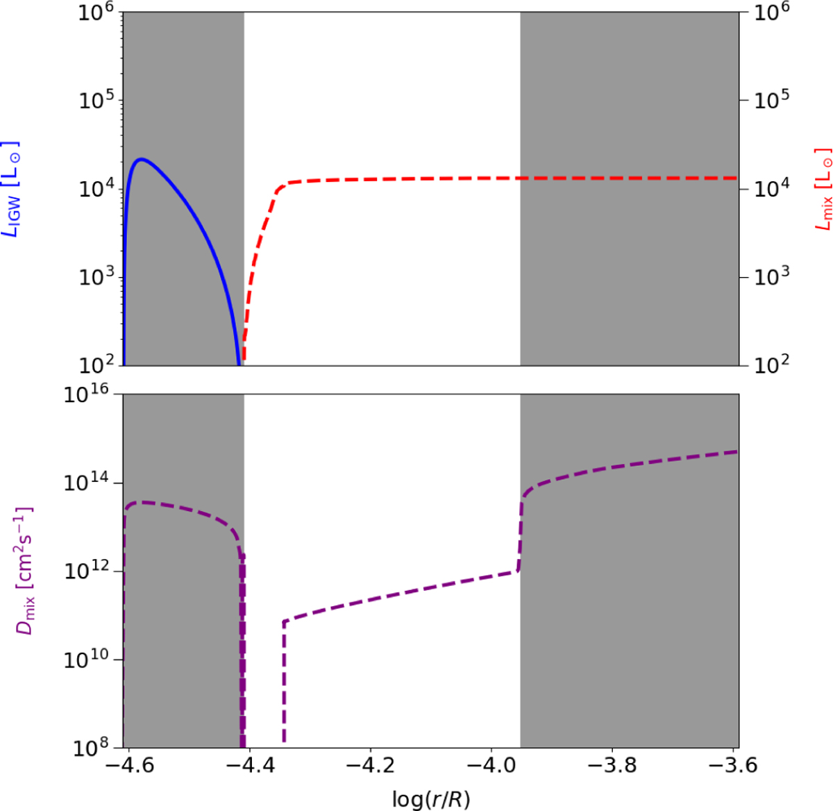
Internal structure of 4 M star with Z=0.014 at the moment of He-shell ignition during TP-AGB stage. Here, r is the radial distance from the core and R is the stellar radius. In the upper panel, the values corresponding to the left vertical axis are represented by solid lines, while the dashed lines correspond to the values on the right vertical axis. The lower panel shows Dmix in these zones. The grey shaded area represents the convective zone. Lmix represents the power required to trigger mixing up to this zone.

Current usage metrics show cumulative count of Article Views (full-text article views including HTML views, PDF and ePub downloads, according to the available data) and Abstracts Views on Vision4Press platform.

Data correspond to usage on the plateform after 2015. The current usage metrics is available 48-96 hours after online publication and is updated daily on week days.

Initial download of the metrics may take a while.