Open Access

Fig. 3

image

Download original image

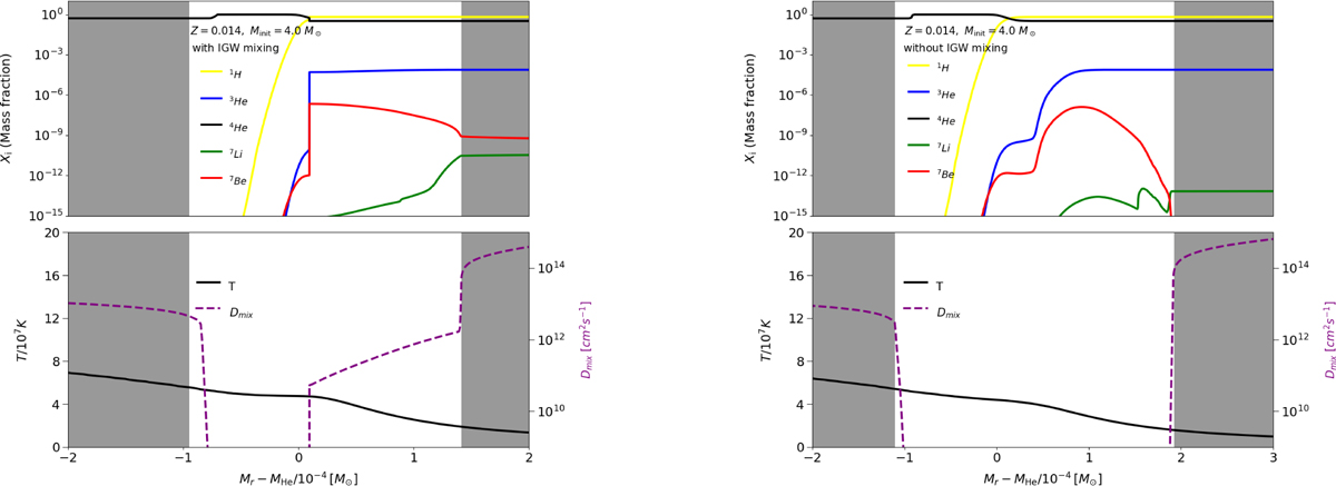
Internal structure and elemental abundances from convective thermal pulse to the convective envelope in the AGB for 4 M with Z=0.014. The grey shaded area represents the convective zone, and the middle region is the convection-interruption zone between the convective thermal pulse and the convective envelope. The left panel shows the case with IGW mixing considered, and the right panel shows the case without IGW mixing. For the x-axis, Mr represents the Lagrangian mass coordinate; MHe is the Lagrangian mass coordinate of the outer boundary of the convective thermal pulse.

Current usage metrics show cumulative count of Article Views (full-text article views including HTML views, PDF and ePub downloads, according to the available data) and Abstracts Views on Vision4Press platform.

Data correspond to usage on the plateform after 2015. The current usage metrics is available 48-96 hours after online publication and is updated daily on week days.

Initial download of the metrics may take a while.