Open Access

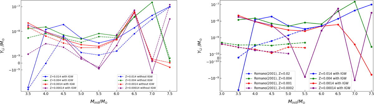
Fig. 8

image

Download original image

Li yields YLi for AGB stars with different initial masses and metallicities. In the left panel, the results with IGW mixing are given by solid coloured lines, while those without IGW mixing are showed by dashed coloured lines. In the right panel, the results of this work are shown by solid coloured lines, while those of other works are shown by dashed coloured lines.

Current usage metrics show cumulative count of Article Views (full-text article views including HTML views, PDF and ePub downloads, according to the available data) and Abstracts Views on Vision4Press platform.

Data correspond to usage on the plateform after 2015. The current usage metrics is available 48-96 hours after online publication and is updated daily on week days.

Initial download of the metrics may take a while.