Open Access

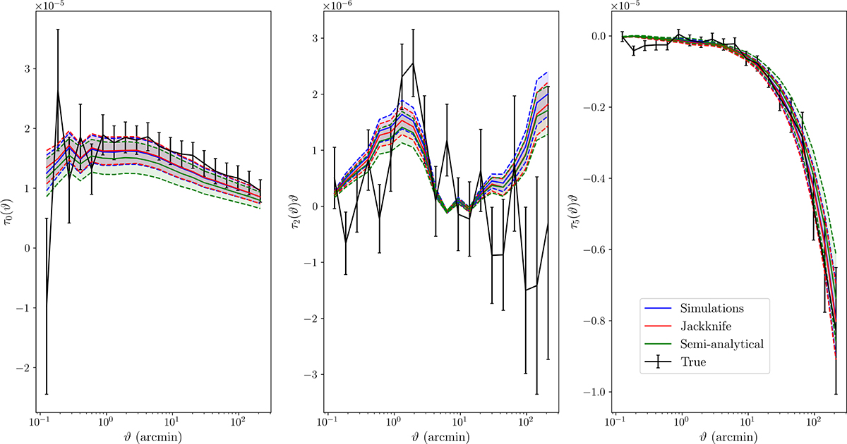
Fig. 4.

image

Download original image

Observed data with error bars and best fit (solid line) of the τ statistics at the 68% confidence level (dashed lines) for the three different methods used to estimate the covariance matrix of the τ statistics. The τ statistics were estimated using parameters (α, β, η) sampled with least-squares. We note that τ2 and τ5 are multiplied by ϑ in the middle and right panels.

Current usage metrics show cumulative count of Article Views (full-text article views including HTML views, PDF and ePub downloads, according to the available data) and Abstracts Views on Vision4Press platform.

Data correspond to usage on the plateform after 2015. The current usage metrics is available 48-96 hours after online publication and is updated daily on week days.

Initial download of the metrics may take a while.