Open Access

Fig. 6.

image

Download original image

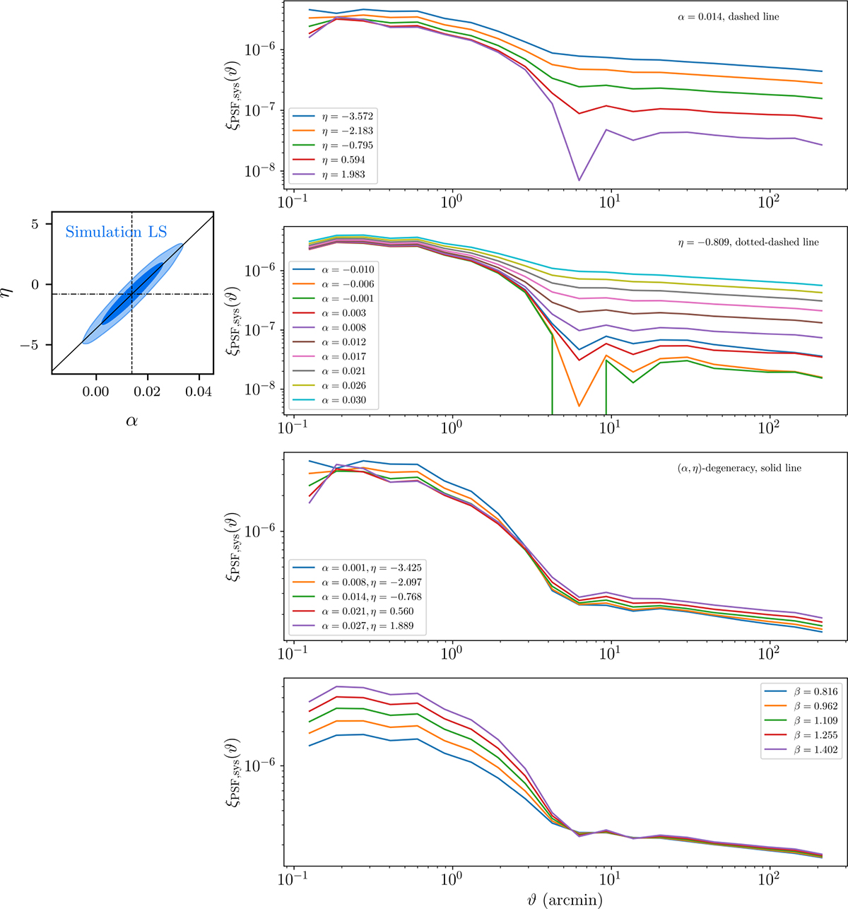
Dependency of the level of systematics on the parameters α, β, and η of the PSF error model. Upper panel: Dependency on η with α and β fixed. It follows the dotted line in the left panel. Middle upper panel: Dependency on α with β and η fixed. It follows the dash dotted line in the left panel. Middle lower panel: Dependency following the degeneracy (solid line in the left panel) in the (α, η) plane with β fixed. Lower panel: Dependency on β with α and η fixed.

Current usage metrics show cumulative count of Article Views (full-text article views including HTML views, PDF and ePub downloads, according to the available data) and Abstracts Views on Vision4Press platform.

Data correspond to usage on the plateform after 2015. The current usage metrics is available 48-96 hours after online publication and is updated daily on week days.

Initial download of the metrics may take a while.