Open Access

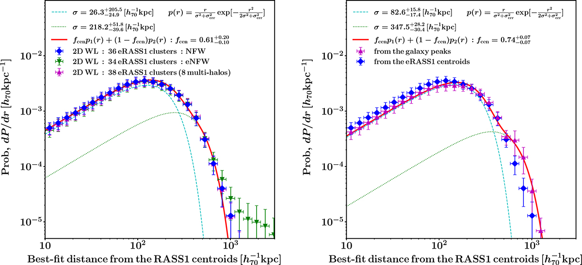
Fig. 10.

image

Download original image

Left: Best-fit distance from the eRASS1 centroids. The blue diamonds, green down-triangles, and magenta up-triangles represent the results of the spherical NFW model, the elliptical NFW model, and the inclusion of the multiple spherical NFW components, respectively. The red solid line, the light-blue dashed line, and the green dotted line are the best-fit for all the components, the inner Gaussian and the outer Gaussian, respectively. Right: Magenta up-triangles represent the distance from galaxy map peaks. The blue diamonds are the same as in the left panel.

Current usage metrics show cumulative count of Article Views (full-text article views including HTML views, PDF and ePub downloads, according to the available data) and Abstracts Views on Vision4Press platform.

Data correspond to usage on the plateform after 2015. The current usage metrics is available 48-96 hours after online publication and is updated daily on week days.

Initial download of the metrics may take a while.